Suppr超能文献

强烈的条件性互利共生限制并促进了一种热带棕榈的种子传播和萌发。

A strong conditional mutualism limits and enhances seed dispersal and germination of a tropical palm.

机构信息

Department of Evolution and Ecology, University of California, Davis, CA 95616, USA.

出版信息

Oecologia. 2010 Apr;162(4):951-63. doi: 10.1007/s00442-009-1542-3. Epub 2010 Jan 5.

Abstract

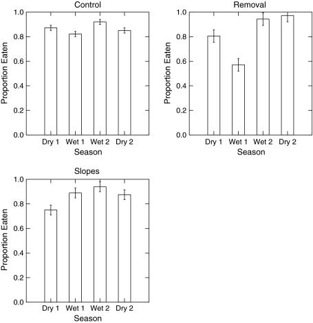
Seed predation and seed dispersal can have strong effects on early life history stages of plants. These processes have often been studied as individual effects, but the degree to which their relative importance co-varies with seed predator abundance and how this influences seed germination rates is poorly understood. Therefore, we used a combination of observations and field experiments to determine the degree to which germination rates of the palm Astrocaryum mexicanum varied with abundance of a small mammal seed predator/disperser, Heteromys desmarestianus, in a lowland tropical forest. Patterns of abundance of the two species were strongly related; density of H. desmarestianus was low in sites with low density of A. mexicanum and vice versa. Rates of predation and dispersal of A. mexicanum seeds depended on abundance of H. desmarestianus; sites with high densities of H. desmarestianus had the highest rates of seed predation and lowest rates of seed germination, but a greater total number of seeds were dispersed and there was greater density of seedlings, saplings, and adults of A. mexicanum in these sites. When abundance of H. desmarestianus was experimentally reduced, rates of seed predation decreased, but so did dispersal of A. mexicanum seeds. Critically, rates of germination of dispersed seeds were 5 times greater than undispersed seeds. The results suggest that the relationship between A. mexicanum and H. desmarestianus is a conditional mutualism that results in a strong local effect on the abundance of each species. However, the magnitude and direction of these effects are determined by the relative strength of opposing, but related, mechanisms. A. mexicanum nuts provide H. desmarestianus with a critical food resource, and while seed predation on A. mexicanum nuts by H. desmarestianus is very intense, A. mexicanum ultimately benefits because of the relatively high germination rates of its seeds that are dispersed by H. desmarestianus.

摘要

种子捕食和种子散布对植物的早期生活史阶段有强烈的影响。这些过程通常作为单独的效应进行研究,但它们的相对重要性与种子捕食者丰度的协同变化程度以及这如何影响种子发芽率的程度了解甚少。因此,我们使用观察和野外实验相结合的方法,来确定在低地热带森林中,一种小型哺乳动物种子捕食者/散布者 Heteromys desmarestianus 的丰度与棕榈科 Astrocaryum mexicanum 的发芽率变化程度之间的关系。这两个物种的丰度模式密切相关;H. desmarestianus 的密度在 A. mexicanum 密度低的地方较低,反之亦然。A. mexicanum 种子的捕食和散布率取决于 H. desmarestianus 的丰度;H. desmarestianus 密度高的地方种子捕食率最高,种子发芽率最低,但种子散布总数较多,而且 A. mexicanum 的幼苗、幼树和成年个体密度也较高。当 H. desmarestianus 的丰度被实验性地降低时,种子捕食率降低,但 A. mexicanum 种子的散布率也降低了。关键的是,散布的种子的发芽率是未散布种子的 5 倍。结果表明,A. mexicanum 和 H. desmarestianus 之间的关系是一种条件互惠关系,对每个物种的丰度都有强烈的局部影响。然而,这些影响的大小和方向取决于相互对立但相关的机制的相对强度。A. mexicanum 的坚果为 H. desmarestianus 提供了一种关键的食物资源,虽然 H. desmarestianus 对 A. mexicanum 的坚果有很强的捕食作用,但由于 A. mexicanum 的种子通过 H. desmarestianus 相对较高的发芽率而受益。

https://cdn.ncbi.nlm.nih.gov/pmc/blobs/d841/2841266/626a663a1d9a/442_2009_1542_Fig1_HTML.jpg

文献AI研究员

20分钟写一篇综述,助力文献阅读效率提升50倍。

立即体验

用中文搜PubMed

大模型驱动的PubMed中文搜索引擎

马上搜索

文档翻译

学术文献翻译模型,支持多种主流文档格式。

立即体验