Suppr超能文献

新的遗传位点与空腹血糖稳态有关,及其对 2 型糖尿病风险的影响。

New genetic loci implicated in fasting glucose homeostasis and their impact on type 2 diabetes risk.

机构信息

Department of Biostatistics, Boston University School of Public Health, Massachusetts, USA.

出版信息

Nat Genet. 2010 Feb;42(2):105-16. doi: 10.1038/ng.520. Epub 2010 Jan 17.

Abstract

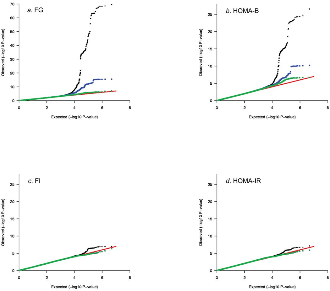
Levels of circulating glucose are tightly regulated. To identify new loci influencing glycemic traits, we performed meta-analyses of 21 genome-wide association studies informative for fasting glucose, fasting insulin and indices of beta-cell function (HOMA-B) and insulin resistance (HOMA-IR) in up to 46,186 nondiabetic participants. Follow-up of 25 loci in up to 76,558 additional subjects identified 16 loci associated with fasting glucose and HOMA-B and two loci associated with fasting insulin and HOMA-IR. These include nine loci newly associated with fasting glucose (in or near ADCY5, MADD, ADRA2A, CRY2, FADS1, GLIS3, SLC2A2, PROX1 and C2CD4B) and one influencing fasting insulin and HOMA-IR (near IGF1). We also demonstrated association of ADCY5, PROX1, GCK, GCKR and DGKB-TMEM195 with type 2 diabetes. Within these loci, likely biological candidate genes influence signal transduction, cell proliferation, development, glucose-sensing and circadian regulation. Our results demonstrate that genetic studies of glycemic traits can identify type 2 diabetes risk loci, as well as loci containing gene variants that are associated with a modest elevation in glucose levels but are not associated with overt diabetes.

摘要

血糖水平受到严格调控。为了确定影响血糖特征的新基因座,我们对 46186 名非糖尿病参与者的空腹血糖、空腹胰岛素以及β细胞功能(HOMA-B)和胰岛素抵抗(HOMA-IR)的 21 个全基因组关联研究进行了荟萃分析。在多达 76558 名额外受试者中对 25 个基因座的随访,确定了 16 个与空腹血糖和 HOMA-B 相关的基因座,以及 2 个与空腹胰岛素和 HOMA-IR 相关的基因座。其中包括 9 个新与空腹血糖相关的基因座(在或接近 ADCY5、MADD、ADRA2A、CRY2、FADS1、GLIS3、SLC2A2、PROX1 和 C2CD4B)和一个影响空腹胰岛素和 HOMA-IR 的基因座(接近 IGF1)。我们还证明了 ADCY5、PROX1、GCK、GCKR 和 DGKB-TMEM195 与 2 型糖尿病有关。在这些基因座中,可能的生物候选基因影响信号转导、细胞增殖、发育、葡萄糖感应和昼夜节律调节。我们的研究结果表明,血糖特征的遗传研究不仅可以确定 2 型糖尿病风险基因座,还可以确定含有与葡萄糖水平适度升高相关但与明显糖尿病无关的基因变异的基因座。

https://cdn.ncbi.nlm.nih.gov/pmc/blobs/acab/3018764/0ca403c67d93/nihms259059f1.jpg

文献检索

告别复杂PubMed语法,用中文像聊天一样搜索,搜遍4000万医学文献。AI智能推荐,让科研检索更轻松。

立即免费搜索

文件翻译

保留排版,准确专业,支持PDF/Word/PPT等文件格式,支持 12+语言互译。

免费翻译文档

深度研究

AI帮你快速写综述,25分钟生成高质量综述,智能提取关键信息,辅助科研写作。

立即免费体验