• 文献检索
  • 文档翻译
  • 深度研究
  • 学术资讯
  • Suppr Zotero 插件Zotero 插件
  • 邀请有礼
  • 套餐&价格
  • 历史记录
应用&插件
Suppr Zotero 插件Zotero 插件浏览器插件Mac 客户端Windows 客户端微信小程序
定价
高级版会员购买积分包购买API积分包
服务
文献检索文档翻译深度研究API 文档MCP 服务
关于我们
关于 Suppr公司介绍联系我们用户协议隐私条款
关注我们

Suppr 超能文献

核心技术专利:CN118964589B侵权必究
粤ICP备2023148730 号-1Suppr @ 2026

文献检索

告别复杂PubMed语法,用中文像聊天一样搜索,搜遍4000万医学文献。AI智能推荐,让科研检索更轻松。

立即免费搜索

文件翻译

保留排版,准确专业,支持PDF/Word/PPT等文件格式,支持 12+语言互译。

免费翻译文档

深度研究

AI帮你快速写综述,25分钟生成高质量综述,智能提取关键信息,辅助科研写作。

立即免费体验

健康人类对烟曲霉抗原的 T 细胞反应。

Healthy human T-Cell Responses to Aspergillus fumigatus antigens.

机构信息

School of Medicine, Johns Hopkins University, Baltimore, Maryland, USA.

出版信息

PLoS One. 2010 Feb 17;5(2):e9036. doi: 10.1371/journal.pone.0009036.

DOI:10.1371/journal.pone.0009036
PMID:20174463
原文链接:https://pmc.ncbi.nlm.nih.gov/articles/PMC2822840/
Abstract

BACKGROUND

Aspergillus fumigatus is associated with both invasive and allergic pulmonary diseases, in different hosts. The organism is inhaled as a spore, which, if not cleared from the airway, germinates into hyphal morphotypes that are responsible for tissue invasion and resultant inflammation. Hyphae secrete multiple products that function as antigens, evoking both a protective (T(H)1-T(H)17) and destructive allergic (T(H)2) immunity. How Aspergillus allergens (Asp f proteins) participate in the development of allergic sensitization is unknown.

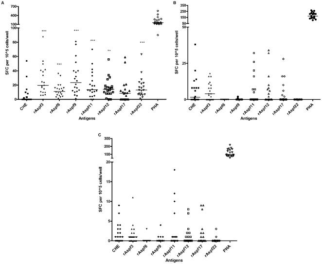
METHODOLOGY/PRINCIPAL FINDINGS: To determine whether Asp f proteins are strictly associated with T(H)2 responses, or represent soluble hyphal products recognized by healthy hosts, human T cell responses to crude and recombinant products were characterized by ELISPOT. While responses (number of spots producing IFN-gamma, IL-4 or IL-17) to crude hyphal antigen preparations were weak, responses to recombinant Asp f proteins were higher. Recombinant allergens stimulated cells to produce IFN-gamma more so than IL-4 or IL-17. Volunteers exhibited a diverse CD4+ and CD8+ T cell antigen recognition profile, with prominent CD4 T(H)1-responses to Asp f3 (a putative peroxismal membrane protein), Asp f9/16 (cell wall glucanase), Asp f11 (cyclophilin type peptidyl-prolyl isomerase) and Asp f22 (enolase). Strong IFN-gamma responses were reproduced in most subjects tested over 6 month intervals.

CONCLUSIONS

Products secreted after conidial germination into hyphae are differentially recognized by protective T cells in healthy, non-atopic individuals. Defining the specificity of the human T cell repertoire, and identifying factors that govern early responses may allow for development of novel diagnostics and therapeutics for both invasive and allergic Aspergillus diseases.

摘要

背景

烟曲霉与不同宿主的侵袭性和过敏性肺部疾病有关。该生物作为孢子被吸入,如果不从气道中清除,就会发芽成菌丝形态,导致组织侵袭和炎症。菌丝分泌多种作为抗原的产物,引发保护性(T(H)1-T(H)17)和破坏性过敏(T(H)2)免疫。曲霉过敏原(Asp f 蛋白)如何参与过敏致敏的发展尚不清楚。

方法/主要发现:为了确定 Asp f 蛋白是否与 T(H)2 反应严格相关,还是代表健康宿主识别的可溶性菌丝产物,通过 ELISPOT 对粗提物和重组产物的人类 T 细胞反应进行了特征描述。虽然对粗提物菌丝抗原制剂的反应(产生 IFN-γ、IL-4 或 IL-17 的斑点数)较弱,但对重组 Asp f 蛋白的反应更高。重组过敏原刺激细胞产生 IFN-γ的能力强于 IL-4 或 IL-17。志愿者表现出多样化的 CD4+和 CD8+T 细胞抗原识别谱,对 Asp f3(一种假定的过氧化物酶体膜蛋白)、Asp f9/16(细胞壁葡聚糖酶)、Asp f11(亲环素型肽脯氨酰顺反异构酶)和 Asp f22(烯醇酶)表现出明显的 CD4 T(H)1 反应。在大多数测试对象中,在 6 个月的间隔内重复产生强烈的 IFN-γ反应。

结论

在健康的非过敏个体中,分生孢子发芽成菌丝后分泌的产物被保护性 T 细胞差异识别。定义人类 T 细胞库的特异性,并确定控制早期反应的因素,可能为侵袭性和过敏性曲霉病的新型诊断和治疗方法的发展提供依据。

https://cdn.ncbi.nlm.nih.gov/pmc/blobs/673d/2822840/3861147e7ea4/pone.0009036.g005.jpg
https://cdn.ncbi.nlm.nih.gov/pmc/blobs/673d/2822840/17f7e70a6bb5/pone.0009036.g001.jpg
https://cdn.ncbi.nlm.nih.gov/pmc/blobs/673d/2822840/db178e7f0353/pone.0009036.g002.jpg
https://cdn.ncbi.nlm.nih.gov/pmc/blobs/673d/2822840/4e85f096075f/pone.0009036.g003.jpg
https://cdn.ncbi.nlm.nih.gov/pmc/blobs/673d/2822840/6688c688a17c/pone.0009036.g004.jpg
https://cdn.ncbi.nlm.nih.gov/pmc/blobs/673d/2822840/3861147e7ea4/pone.0009036.g005.jpg
https://cdn.ncbi.nlm.nih.gov/pmc/blobs/673d/2822840/17f7e70a6bb5/pone.0009036.g001.jpg
https://cdn.ncbi.nlm.nih.gov/pmc/blobs/673d/2822840/db178e7f0353/pone.0009036.g002.jpg
https://cdn.ncbi.nlm.nih.gov/pmc/blobs/673d/2822840/4e85f096075f/pone.0009036.g003.jpg
https://cdn.ncbi.nlm.nih.gov/pmc/blobs/673d/2822840/6688c688a17c/pone.0009036.g004.jpg
https://cdn.ncbi.nlm.nih.gov/pmc/blobs/673d/2822840/3861147e7ea4/pone.0009036.g005.jpg

相似文献

1
Healthy human T-Cell Responses to Aspergillus fumigatus antigens.健康人类对烟曲霉抗原的 T 细胞反应。
PLoS One. 2010 Feb 17;5(2):e9036. doi: 10.1371/journal.pone.0009036.
2
Analysis of T-cell responses to Aspergillus fumigatus antigens in healthy individuals and patients with hematologic malignancies.健康个体和血液系统恶性肿瘤患者对烟曲霉抗原的T细胞反应分析。
Blood. 2002 Dec 15;100(13):4521-8. doi: 10.1182/blood-2002-01-0265. Epub 2002 Aug 1.
3
Aspergillus fumigatus proteases, Asp f 5 and Asp f 13, are essential for airway inflammation and remodelling in a murine inhalation model.烟曲霉蛋白酶,Asp f 5 和 Asp f 13,在小鼠吸入模型中对于气道炎症和重塑是必需的。
Clin Exp Allergy. 2015 May;45(5):982-993. doi: 10.1111/cea.12426.
4
IgE antibody to Aspergillus fumigatus recombinant allergens in cystic fibrosis patients with allergic bronchopulmonary aspergillosis.患有变应性支气管肺曲霉病的囊性纤维化患者中针对烟曲霉重组变应原的IgE抗体
Allergy. 2004 Feb;59(2):198-203. doi: 10.1046/j.1398-9995.2003.00310.x.
5
Adoptive immunity mediated by HLA-A*0201 restricted Asp f16 peptides-specific CD8+ T cells against Aspergillus fumigatus infection.HLA-A*0201 限制性 Asp f16 肽特异性 CD8+ T 细胞介导的针对烟曲霉感染的适应性免疫。
Eur J Clin Microbiol Infect Dis. 2012 Nov;31(11):3089-96. doi: 10.1007/s10096-012-1670-2. Epub 2012 Jun 14.
6
Epstein-Barr virus-transformed B-cells as efficient antigen presenting cells to propagate Aspergillus-specific cytotoxic T-lymphocytes.爱泼斯坦-巴尔病毒转化的B细胞作为有效的抗原呈递细胞来增殖曲霉特异性细胞毒性T淋巴细胞。
Egypt J Immunol. 2008;15(1):145-57.
7
Intravenous injection of major and cryptic peptide epitopes of ribotoxin, Asp f 1 inhibits T cell response induced by crude Aspergillus fumigatus antigens in mice.静脉注射核糖毒素的主要和隐蔽肽表位Asp f 1可抑制小鼠中由烟曲霉粗抗原诱导的T细胞反应。
Peptides. 2000 Jan;21(1):1-8. doi: 10.1016/s0196-9781(99)00173-4.
8
T cell vaccination in mice with invasive pulmonary aspergillosis.侵袭性肺曲霉病小鼠的T细胞疫苗接种
J Immunol. 2000 Jul 1;165(1):381-8. doi: 10.4049/jimmunol.165.1.381.
9
Cloning and expression of Aspergillus fumigatus allergen Asp f 16 mediating both humoral and cell-mediated immunity in allergic bronchopulmonary aspergillosis (ABPA).烟曲霉变应原Asp f 16的克隆与表达,该变应原在变应性支气管肺曲霉病(ABPA)中介导体液免疫和细胞介导免疫。
Clin Exp Allergy. 2001 May;31(5):761-70. doi: 10.1046/j.1365-2222.2001.01076.x.
10
Immunological characterization of Asp f 2, a major allergen from Aspergillus fumigatus associated with allergic bronchopulmonary aspergillosis.烟曲霉主要变应原Asp f 2的免疫学特征,该变应原与变应性支气管肺曲霉病相关
Infect Immun. 1998 Nov;66(11):5175-82. doi: 10.1128/IAI.66.11.5175-5182.1998.

引用本文的文献

1
Identification and validation of diagnostic cut-offs of the ELISpot assay for the diagnosis of invasive aspergillosis in high-risk patients.鉴定和验证 ELISpot assay 对高危患者侵袭性曲霉菌病的诊断界值。
PLoS One. 2024 Jul 9;19(7):e0306728. doi: 10.1371/journal.pone.0306728. eCollection 2024.
2
T cell responses to control fungal infection in an immunological memory lens.T 细胞在免疫记忆晶状体中对控制真菌感染的反应。
Front Immunol. 2022 Sep 13;13:905867. doi: 10.3389/fimmu.2022.905867. eCollection 2022.
3
Recent Advances in Fungal Infections: From Lung Ecology to Therapeutic Strategies With a Focus on .

本文引用的文献

1
Surface hydrophobin prevents immune recognition of airborne fungal spores.表面疏水蛋白可防止空气传播的真菌孢子被免疫识别。
Nature. 2009 Aug 27;460(7259):1117-21. doi: 10.1038/nature08264.
2
Proteases induce production of thymic stromal lymphopoietin by airway epithelial cells through protease-activated receptor-2.蛋白酶通过蛋白酶激活受体-2诱导气道上皮细胞产生胸腺基质淋巴细胞生成素。
J Immunol. 2009 Jul 15;183(2):1427-34. doi: 10.4049/jimmunol.0900904. Epub 2009 Jun 26.
3
Basophils contribute to T(H)2-IgE responses in vivo via IL-4 production and presentation of peptide-MHC class II complexes to CD4+ T cells.
真菌感染的最新进展:从肺部生态学到治疗策略,重点关注……
Front Med (Lausanne). 2022 Mar 21;9:832510. doi: 10.3389/fmed.2022.832510. eCollection 2022.
4
Prevalence of skin positivity in adults without an apparent/known atopic disease in Uganda.乌干达无明显/已知特应性疾病的成年人皮肤阳性率
Ther Adv Infect Dis. 2021 Aug 12;8:20499361211039040. doi: 10.1177/20499361211039040. eCollection 2021 Jan-Dec.
5
Development of a Simple and Robust Whole Blood Assay with Dual Co-Stimulation to Quantify the Release of T-Cellular Signature Cytokines in Response to Antigens.开发一种简单且稳健的全血检测方法,采用双重共刺激来定量T细胞标志性细胞因子响应抗原后的释放量。
J Fungi (Basel). 2021 Jun 8;7(6):462. doi: 10.3390/jof7060462.
6
Assessment of genetically modified soybean GMB151 for food and feed uses, under Regulation (EC) No 1829/2003 (application EFSA-GMO-NL-2018-153).根据欧盟法规(EC)No 1829/2003(申请编号EFSA-GMO-NL-2018-153)对转基因大豆GMB151进行食品和饲料用途评估。
EFSA J. 2021 Apr 19;19(4):e06424. doi: 10.2903/j.efsa.2021.6424. eCollection 2021 Apr.
7
Schizophyllum commune induces IL-17-mediated neutrophilic airway inflammation in OVA-induced asthma model mice.糙皮侧耳诱导卵清蛋白诱导的哮喘模型小鼠中白细胞介素-17 介导的中性粒细胞性气道炎症。
Sci Rep. 2019 Dec 18;9(1):19321. doi: 10.1038/s41598-019-55836-x.
8
Enolase From Is a Moonlighting Protein That Binds the Human Plasma Complement Proteins Factor H, FHL-1, C4BP, and Plasminogen.烯醇酶是一种具有双重功能的蛋白质,可结合人血浆补体蛋白因子 H、FHL-1、C4BP 和纤溶酶原。
Front Immunol. 2019 Nov 22;10:2573. doi: 10.3389/fimmu.2019.02573. eCollection 2019.
9
Resistance mechanism and proteins in species against antifungal agents.物种中对抗真菌剂的抗性机制和蛋白质。
Mycology. 2019 Feb 6;10(3):151-165. doi: 10.1080/21501203.2019.1574927. eCollection 2019.
10
Eosinophil-Associated Innate IL-17 Response Promotes s Lung Pathology.嗜酸性粒细胞相关固有 IL-17 反应促进肺部病变。
Front Cell Infect Microbiol. 2019 Jan 11;8:453. doi: 10.3389/fcimb.2018.00453. eCollection 2018.
嗜碱性粒细胞通过产生白细胞介素-4以及向CD4+ T细胞呈递肽-主要组织相容性复合体II类复合物,在体内促进辅助性T细胞2型-免疫球蛋白E反应。
Nat Immunol. 2009 Jul;10(7):706-12. doi: 10.1038/ni.1737. Epub 2009 May 24.
4
Basophils function as antigen-presenting cells for an allergen-induced T helper type 2 response.嗜碱性粒细胞作为变应原诱导的2型辅助性T细胞应答的抗原呈递细胞发挥作用。
Nat Immunol. 2009 Jul;10(7):713-20. doi: 10.1038/ni.1738. Epub 2009 May 24.
5
Allergic bronchopulmonary aspergillosis.变应性支气管肺曲霉病
Chest. 2009 Mar;135(3):805-826. doi: 10.1378/chest.08-2586.
6
Two-dimensional proteome reference maps for the human pathogenic filamentous fungus Aspergillus fumigatus.人类致病丝状真菌烟曲霉的二维蛋白质组参考图谱。
Proteomics. 2009 Mar;9(5):1407-15. doi: 10.1002/pmic.200800394.
7
High levels of CMV-IE-1-specific memory T cells are associated with less alloimmunity and improved renal allograft function.高水平的巨细胞病毒即刻早期抗原1特异性记忆T细胞与较低的同种免疫及改善的肾移植功能相关。
Transpl Immunol. 2009 Mar;20(4):238-42. doi: 10.1016/j.trim.2008.11.002. Epub 2008 Nov 24.
8
Toll-like receptor 4 polymorphisms and aspergillosis in stem-cell transplantation.干细胞移植中Toll样受体4基因多态性与曲霉病
N Engl J Med. 2008 Oct 23;359(17):1766-77. doi: 10.1056/NEJMoa0802629.
9
Stimulation of dendritic cells via the dectin-1/Syk pathway allows priming of cytotoxic T-cell responses.通过dectin-1/Syk途径刺激树突状细胞可引发细胞毒性T细胞反应的启动。
Blood. 2008 Dec 15;112(13):4971-80. doi: 10.1182/blood-2008-05-158469. Epub 2008 Sep 25.
10
Clinical-scale generation of human anti-Aspergillus T cells for adoptive immunotherapy.用于过继性免疫治疗的人抗曲霉菌T细胞的临床规模生成。
Bone Marrow Transplant. 2009 Jan;43(1):13-9. doi: 10.1038/bmt.2008.271. Epub 2008 Sep 1.