Suppr超能文献

任务复杂性对执行和想象的运动准备有不同的影响:来自运动相关电位的证据。

Task complexity differentially affects executed and imagined movement preparation: evidence from movement-related potentials.

机构信息

Department of Neurology, University Hospital Jena, Jena, Germany.

出版信息

PLoS One. 2010 Feb 19;5(2):e9284. doi: 10.1371/journal.pone.0009284.

Abstract

BACKGROUND

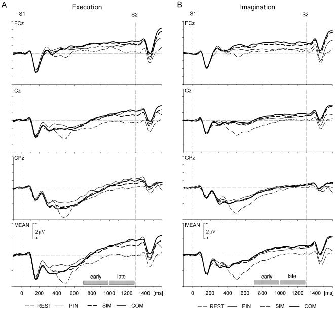
The neural simulation theory predicts similarity for the neural mechanisms subserving overt (motor execution) and covert (movement imagination) actions. Here we tested this prediction for movement preparation, a key characteristic of motor cognition.

METHODOLOGY/PRINCIPAL FINDINGS: High-density electroencephalogram (EEG) was recorded during covert and overt actions. Movement preparation was studied with a motor priming paradigm, which varied task complexity and amount of advance information. Participants performed simple or complex sequential finger movements either overtly or covertly. Advance information was either fully predictive or partially predictive. Stimulus-locked event-related potential (ERP) data showed the typical pattern of foreperiod activation for overt and covert movements. The foreperiod contingent negative variation (CNV) differed between simple and complex movements only in the execution task. ERP topographies differed between execution and imagination only when advance information was fully predictive.

CONCLUSIONS/SIGNIFICANCE: Results suggest a differential contribution of the movement preparation network to action imagination and execution. Overt and covert actions seem to involve similar though not identical mechanisms, where overt actions engage a more fine-grained modulation of covert preparatory states.

摘要

背景

神经模拟理论预测,明显的(运动执行)和隐蔽的(运动想象)动作所依赖的神经机制具有相似性。在这里,我们测试了运动准备的这一预测,运动准备是运动认知的一个关键特征。

方法/主要发现:在隐蔽和明显的动作过程中记录高密度脑电图(EEG)。使用运动启动范式研究运动准备,该范式改变了任务的复杂性和提前信息量。参与者以明显或隐蔽的方式执行简单或复杂的顺序手指运动。提前信息要么完全可预测,要么部分可预测。刺激锁定事件相关电位(ERP)数据显示了明显和隐蔽运动的典型前周期激活模式。仅在执行任务中,前周期伴随负变(CNV)在简单运动和复杂运动之间存在差异。只有当提前信息完全可预测时,ERP 地形图才会在执行和想象之间存在差异。

结论/意义:结果表明,运动准备网络对动作想象和执行的贡献不同。明显的和隐蔽的动作似乎涉及相似但不相同的机制,其中明显的动作涉及对隐蔽准备状态的更精细调节。

https://cdn.ncbi.nlm.nih.gov/pmc/blobs/c355/2824810/85a0de25454e/pone.0009284.g001.jpg

文献检索

告别复杂PubMed语法,用中文像聊天一样搜索,搜遍4000万医学文献。AI智能推荐,让科研检索更轻松。

立即免费搜索

文件翻译

保留排版,准确专业,支持PDF/Word/PPT等文件格式,支持 12+语言互译。

免费翻译文档

深度研究

AI帮你快速写综述,25分钟生成高质量综述,智能提取关键信息,辅助科研写作。

立即免费体验