Suppr超能文献

超声检查颞动脉壁水肿对巨细胞动脉炎的诊断价值:二次荟萃分析。

The diagnostic value of ultrasonography-derived edema of the temporal artery wall in giant cell arteritis: a second meta-analysis.

机构信息

First Department of Propedeutic and Internal Medicine, Laikon Hospital, Athens University Medical School, Athens, Greece.

出版信息

BMC Musculoskelet Disord. 2010 Mar 8;11:44. doi: 10.1186/1471-2474-11-44.

Abstract

BACKGROUND

Ultrasonography of temporal arteries is not commonly used in the approach of patients with suspected giant cell arteritis (GCA) in clinical practice. A meta-analysis of primary studies available through April 2004 concluded that ultrasonography could indeed be helpful in diagnosing GCA. We specifically re-examined the diagnostic value of the ultrasonography-derived halo sign, a dark hypoechoic circumferential thickening around the artery lumen, indicating vasculitic wall edema, in GCA.

METHODS

Original, prospective studies in patients with suspected GCA that examined ultrasonography findings of temporal arteries using the ACR 1990 classification criteria for GCA as reference standard, published through 2009, were identified. Only eight studies involving 575 patients, 204 of whom received the final diagnosis of GCA, fulfilled technical quality criteria for ultrasound. Weighted sensitivity and specificity estimates of the halo sign were assessed, their possible heterogeneity was investigated and pooled diagnostic odds ratio was determined.

RESULTS

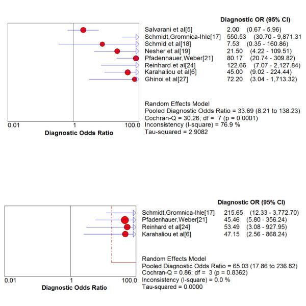
Unilateral halo sign achieved an overall sensitivity of 68% (95% CI, 0.61-0.74) and specificity of 91% (95% CI, 0.88-0.94) for GCA. The values of inconsistency coefficient (I2) of both sensitivity and specificity of the halo sign, showed significant heterogeneity concerning the results between studies. Pooled diagnostic odds ratio, expressing how much greater the odds of having GCA are for patients with halo sign than for those without, was 34 (95% CI, 8.21-138.23). Diagnostic odds ratio was further increased to 65 (95% CI, 17.86-236.82) when bilateral halo signs were present (sensitivity/specificity of 43% and 100%, respectively). In both cases, it was found that DOR was constant across studies.

CONCLUSION

Temporal artery edema demonstrated as halo sign should be always looked for in ultrasonography when GCA is suspected. Providing that currently accepted technical quality criteria are fulfilled, halo sign's sensitivity and specificity are comparable to those of autoantibodies used as diagnostic tests in rheumatology. Validation of revised GCA classification criteria which will include the halo sign may be warranted.

摘要

背景

在临床实践中,对于疑似巨细胞动脉炎(GCA)的患者,超声检查颞动脉并不常用。对截至 2004 年 4 月的原始研究进行的荟萃分析得出结论,超声检查确实有助于诊断 GCA。我们专门重新检查了超声检查中 halo 征的诊断价值,这是一种血管周围炎症性壁水肿导致的动脉管腔周围的暗低回声环状增厚。

方法

我们确定了通过 2009 年发表的 1990 年 ACR 分类标准作为参考标准的疑似 GCA 患者的原始前瞻性研究。只有 8 项研究(涉及 575 例患者,其中 204 例最终诊断为 GCA)符合超声技术质量标准。评估了 halo 征的加权敏感性和特异性估计值,对其可能的异质性进行了研究,并确定了合并诊断比值比。

结果

单侧 halo 征对 GCA 的总体敏感性为 68%(95%CI,0.61-0.74),特异性为 91%(95%CI,0.88-0.94)。halo 征的敏感性和特异性的不一致系数(I2)表明,研究之间的结果存在显著的异质性。合并诊断比值比表示有 halo 征的患者比没有 halo 征的患者患有 GCA 的可能性大多少,其值为 34(95%CI,8.21-138.23)。当双侧 halo 征存在时(敏感性/特异性分别为 43%和 100%),诊断比值比进一步增加至 65(95%CI,17.86-236.82)。在这两种情况下,均发现 DOR 在研究中是恒定的。

结论

当怀疑 GCA 时,应始终在超声检查中寻找颞动脉水肿表现为 halo 征。只要满足当前接受的技术质量标准,halo 征的敏感性和特异性就可与作为风湿病学诊断测试的自身抗体相媲美。可能需要验证将 halo 征纳入其中的修订后的 GCA 分类标准。

https://cdn.ncbi.nlm.nih.gov/pmc/blobs/5a15/2837862/10970ccfbf68/1471-2474-11-44-1.jpg

文献AI研究员

20分钟写一篇综述,助力文献阅读效率提升50倍。

立即体验

用中文搜PubMed

大模型驱动的PubMed中文搜索引擎

马上搜索

文档翻译

学术文献翻译模型,支持多种主流文档格式。

立即体验