Suppr超能文献

NF-κB 和 H3K27me3 去甲基化酶 Jmjd3 在 RAW 264.7 细胞对抗炭疽致死毒素耐受中的作用。

The role of NF-kappaB and H3K27me3 demethylase, Jmjd3, on the anthrax lethal toxin tolerance of RAW 264.7 cells.

机构信息

Division of Molecular and Life Science, Hanyang University, Ansan, Korea.

出版信息

PLoS One. 2010 Mar 29;5(3):e9913. doi: 10.1371/journal.pone.0009913.

Abstract

BACKGROUND

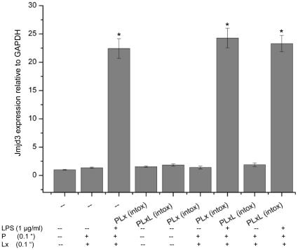
In Bacillus anthracis, lethal toxin (LeTx) is a critical virulence factor that causes immune suppression and toxic shock in the infected host. NF-kappaB is a key mediator of the inflammatory response and is crucial for the plasticity of first level immune cells such as macrophages, monocytes and neutrophils. In macrophages, this inflammatory response, mediated by NF-kappaB, can regulate host defense against invading pathogens. A Jumonji C family histone 3 lysine-27 (H3K27) demethylase, Jmjd3, plays a crucial role in macrophage plasticity and inflammation. Here we report that NF-kappaB and Jmjd3 can modulate the LeTx intoxication resistance of RAW 264.7 cells.

PRINCIPAL FINDINGS

This study showed that a 2 h exposure of macrophages to LeTx caused substantial cell death with a survival rate of around 40%. The expression of the Jmjd3 gene was induced 8-fold in intoxication-resistant cells generated by treatment with lipopolysaccharides of RAW 264.7 cells. These intoxication-resistant cell lines (PLx intox and PLxL intox) were maintained for 8 passages and had a survival rate of around 100% on secondary exposure to LeTx and lipopolysaccharides. Analysis of NF-kappaB gene expression showed that the expression of p100, p50 and p65 was induced around 20, 7 and 4 fold, respectively, in both of the intoxication-resistant cell lines following a 2 h treatment with PLxL (0.1+0.1+1 microg/ml). In contrast, these NF-kappaB genes were not induced following treatment with PLx treatment at the same concentrations.

CONCLUSIONS

Although LeTx influences macrophage physiology and causes defects of some key signaling pathways such as GSK3beta which contributes to cytotoxicity, these results indicate that modulation of NF-kappaB by p50, p100 and Jmjd3 could be vital for the recovery of murine macrophages from exposure to the anthrax lethal toxin.

摘要

背景

在炭疽杆菌中,致死毒素(LeTx)是一种关键的毒力因子,可导致感染宿主的免疫抑制和中毒性休克。NF-κB 是炎症反应的关键介质,对于巨噬细胞、单核细胞和中性粒细胞等一级免疫细胞的可塑性至关重要。在巨噬细胞中,这种由 NF-κB 介导的炎症反应可以调节宿主对入侵病原体的防御。Jumonji C 家族组蛋白 3 赖氨酸-27(H3K27)去甲基酶 Jmjd3 在巨噬细胞可塑性和炎症中发挥着关键作用。在这里,我们报告 NF-κB 和 Jmjd3 可以调节 RAW 264.7 细胞对 LeTx 的中毒抗性。

主要发现

本研究表明,巨噬细胞暴露于 LeTx 2 小时会导致大量细胞死亡,存活率约为 40%。用脂多糖处理 RAW 264.7 细胞生成的耐中毒细胞中 Jmjd3 基因的表达诱导了 8 倍。这些耐中毒细胞系(PLx 中毒和 PLxL 中毒)在 8 次传代后保持稳定,在二次暴露于 LeTx 和脂多糖时的存活率约为 100%。分析 NF-κB 基因表达显示,在两种耐中毒细胞系中,用 PLxL(0.1+0.1+1μg/ml)处理 2 小时后,p100、p50 和 p65 的表达分别诱导了约 20、7 和 4 倍。相比之下,在用相同浓度的 PLx 处理时,这些 NF-κB 基因没有被诱导。

结论

尽管 LeTx 影响巨噬细胞的生理学并导致一些关键信号通路(如 GSK3β)的缺陷,这些结果表明,NF-κB 由 p50、p100 和 Jmjd3 调节可能对从炭疽致死毒素暴露中恢复的小鼠巨噬细胞至关重要。

https://cdn.ncbi.nlm.nih.gov/pmc/blobs/bffa/2848010/bee88d2b7bb9/pone.0009913.g001.jpg

文献AI研究员

20分钟写一篇综述,助力文献阅读效率提升50倍。

立即体验

用中文搜PubMed

大模型驱动的PubMed中文搜索引擎

马上搜索

文档翻译

学术文献翻译模型,支持多种主流文档格式。

立即体验