Suppr超能文献

在急性/早期 HIV-1 感染期间接受抗逆转录病毒治疗的个体中,治疗性 DNA 疫苗接种的安全性和免疫原性。

Safety and immunogenicity of therapeutic DNA vaccination in individuals treated with antiretroviral therapy during acute/early HIV-1 infection.

机构信息

Massachusetts General Hospital and Harvard Medical School, Boston, Massachusetts, United States of America.

出版信息

PLoS One. 2010 May 10;5(5):e10555. doi: 10.1371/journal.pone.0010555.

Abstract

BACKGROUND

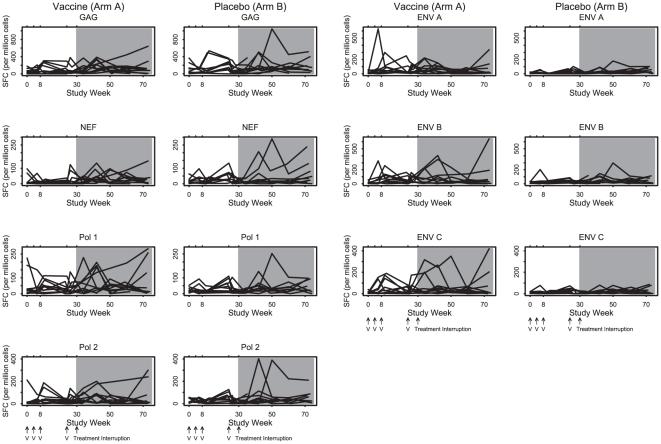
An effective therapeutic vaccine that could augment immune control of HIV-1 replication may abrogate or delay the need for antiretroviral therapy. AIDS Clinical Trials Group (ACTG) A5187 was a phase I/II, randomized, placebo-controlled, double-blinded trial to evaluate the safety and immunogenicity of an HIV-1 DNA vaccine (VRC-HVDNA 009-00-VP) in subjects treated with antiretroviral therapy during acute/early HIV-1 infection. (clinicaltrials.gov NCT00125099)

METHODS

Twenty healthy HIV-1 infected subjects who were treated with antiretroviral therapy during acute/early HIV-1 infection and had HIV-1 RNA<50 copies/mL were randomized to receive either vaccine or placebo. The objectives of this study were to evaluate the safety and immunogenicity of the vaccine. Following vaccination, subjects interrupted antiretroviral treatment, and set-point HIV-1 viral loads and CD4 T cell counts were determined 17-23 weeks after treatment discontinuation.

RESULTS

Twenty subjects received all scheduled vaccinations and discontinued antiretroviral therapy at week 30. No subject met a primary safety endpoint. No evidence of differences in immunogenicity were detected in subjects receiving vaccine versus placebo. There were also no significant differences in set-point HIV-1 viral loads or CD4 T cell counts following treatment discontinuation. Median set-point HIV-1 viral loads after treatment discontinuation in vaccine and placebo recipients were 3.5 and 3.7 log(10) HIV-1 RNA copies/mL, respectively.

CONCLUSIONS

The HIV-1 DNA vaccine (VRC-HIVDNA 009-00-VP) was safe but poorly immunogenic in subjects treated with antiretroviral therapy during acute/early HIV-1 infection. Viral set-points were similar between vaccine and placebo recipients following treatment interruption. However, median viral load set-points in both groups were lower than in historical controls, suggesting a possible role for antiretroviral therapy in persons with acute or early HIV-1 infection and supporting the safety of discontinuing treatment in this group.

TRIAL REGISTRATION

Clinicaltrials.gov NCT00125099.

摘要

背景

一种能够增强对 HIV-1 复制免疫控制的有效治疗性疫苗,可能会消除或延迟对抗逆转录病毒治疗的需求。艾滋病临床研究组(ACTG)A5187 是一项 I/II 期、随机、安慰剂对照、双盲试验,旨在评估在急性/早期 HIV-1 感染期间接受抗逆转录病毒治疗的受试者中,一种 HIV-1 DNA 疫苗(VRC-HVDNA 009-00-VP)的安全性和免疫原性。(clinicaltrials.gov NCT00125099)

方法

20 名接受急性/早期 HIV-1 感染期间抗逆转录病毒治疗且 HIV-1 RNA<50 拷贝/ml 的健康 HIV-1 感染者被随机分配接受疫苗或安慰剂。本研究的目的是评估疫苗的安全性和免疫原性。接种疫苗后,受试者中断抗逆转录病毒治疗,并在治疗停药后 17-23 周确定治疗停药时的 HIV-1 病毒载量和 CD4 T 细胞计数。

结果

20 名受试者接受了所有计划的疫苗接种,并在第 30 周停止抗逆转录病毒治疗。没有受试者达到主要安全性终点。接受疫苗和安慰剂的受试者之间在免疫原性方面没有发现差异。停药后,HIV-1 病毒载量和 CD4 T 细胞计数也没有显著差异。停药后治疗的中位 HIV-1 病毒载量在疫苗和安慰剂组分别为 3.5 和 3.7 log10 HIV-1 RNA 拷贝/ml。

结论

在急性/早期 HIV-1 感染期间接受抗逆转录病毒治疗的受试者中,HIV-1 DNA 疫苗(VRC-HIVDNA 009-00-VP)是安全的,但免疫原性较差。停药后,疫苗和安慰剂组的病毒设定点相似。然而,两组的中位病毒载量设定点均低于历史对照,提示抗逆转录病毒治疗在急性或早期 HIV-1 感染者中可能发挥作用,并支持该组停止治疗的安全性。

试验注册

Clinicaltrials.gov NCT00125099。

https://cdn.ncbi.nlm.nih.gov/pmc/blobs/093a/2866663/c72a5ecfdffd/pone.0010555.g001.jpg

文献AI研究员

20分钟写一篇综述,助力文献阅读效率提升50倍。

立即体验

用中文搜PubMed

大模型驱动的PubMed中文搜索引擎

马上搜索

文档翻译

学术文献翻译模型,支持多种主流文档格式。

立即体验