Graduate School of Pharmaceutical Sciences, Osaka University, 1-6 Yamada-oka, Suita, Osaka, 565-0871, Japan.
Mar Drugs. 2010 Apr 21;8(4):1394-416. doi: 10.3390/md8041394.
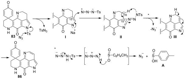
Many natural products with biologically interesting structures have been isolated from marine animals and plants such as sponges, corals, worms, etc. Some of them are discorhabdin alkaloids. The discorhabdin alkaloids (discorhabdin A-X), isolated from marine sponges, have a unique structure with azacarbocyclic spirocyclohexanone and pyrroloiminoquinone units. Due to their prominent potent antitumor activity, discorhabdins have attracted considerable attention. Many studies have been reported toward the synthesis of discorhabdins. We have accomplished the first total synthesis of discorhabdin A (1), having the strongest activity in vitro among discorhabdins in 2003. In 2009, we have also accomplished the first total synthesis of prianosin B (2), having the 16,17-dehydropyrroloiminoquinone moiety, by a novel dehydrogenation reaction with a catalytic amount of NaN(3). These synthetic studies, as well as syntheses of the discorhabdins by various chemists to-date, are reviewed here.
许多具有生物活性的天然产物已从海洋动植物(如海绵、珊瑚、蠕虫等)中分离出来,其中一些是 discorhabdin 生物碱。discorhabdin 生物碱(discorhabdin A-X)从海洋海绵中分离出来,具有独特的结构,包含氮杂碳环螺环己酮和吡咯并亚氨基喹喔啉单元。由于其显著的抗肿瘤活性,discorhabdins 引起了相当大的关注。许多研究报告了 discorhabdins 的合成。我们在 2003 年首次完成了具有最强体外活性的 discorhabdin A(1)的全合成。2009 年,我们还通过使用催化量的NaN3 进行新型脱氢反应,首次完成了具有 16,17-脱水吡咯并亚氨基喹喔啉部分的 prianosin B(2)的全合成。本文综述了这些合成研究,以及迄今为止各种化学家对 discorhabdins 的合成。