Suppr超能文献

小沟结合剂吡咯聚酰胺-2'-脱氧鸟苷杂合物的设计、合成与分析。

Design, synthesis, and analysis of minor groove binder pyrrolepolyamide-2'-deoxyguanosine hybrids.

作者信息

Kawashima Etsuko, Ohba Yusuke, Terui Yusuke, Kamaike Kazuo

机构信息

School of Pharmacy, Tokyo University of Pharmacy and Life Sciences, 1432-1 Horinouchi, Hachioji, Tokyo 192-0392, Japan.

出版信息

J Nucleic Acids. 2010;2010. doi: 10.4061/2010/235240. Epub 2010 Feb 16.

Abstract

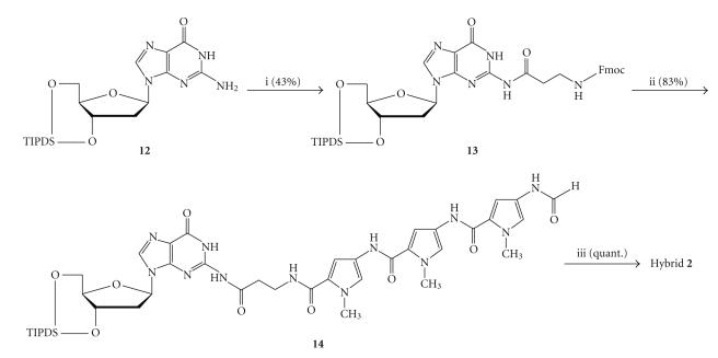
Pyrrolepolyamide-2'-deoxyguanosine hybrids (Hybrid 2 and Hybrid 3) incorporating the 3-aminopropionyl or 3-aminopropyl linker were designed and synthesized on the basis of previously reported results of a pyrrolepolyamide-adenosine hybrid (Hybrid 1). Evaluation of the DNA binding sequence selectivity of pyrrolepolyamide-2'-deoxyguanosine hybrids was performed by CD spectral and T(m) analyses. It was shown that Hybrid 3 possessed greater binding specificity than distamycin A, Hybrid 1 and Hybrid 2.

摘要

基于先前报道的吡咯聚酰胺-腺苷杂合物(杂合物1)的结果,设计并合成了包含3-氨基丙酰基或3-氨基丙基连接体的吡咯聚酰胺-2'-脱氧鸟苷杂合物(杂合物2和杂合物3)。通过圆二色光谱(CD)和熔点(T(m))分析对吡咯聚酰胺-2'-脱氧鸟苷杂合物的DNA结合序列选择性进行了评估。结果表明,杂合物3比Distamycin A、杂合物1和杂合物2具有更高的结合特异性。

https://cdn.ncbi.nlm.nih.gov/pmc/blobs/2594/2911594/019d2078a82f/JNA2010-235240.001.jpg

相似文献

1
Design, synthesis, and analysis of minor groove binder pyrrolepolyamide-2'-deoxyguanosine hybrids.
J Nucleic Acids. 2010;2010. doi: 10.4061/2010/235240. Epub 2010 Feb 16.
3
Design, synthesis and analysis of a pyrrolepolyamide-nucleoside hybrid.
Nucleic Acids Symp Ser (Oxf). 2004(48):55-6. doi: 10.1093/nass/48.1.55.
5
Synthesis and evaluation of 2-pyrrolepolyamide-2'-deoxyguanosine 5'-phosphate.
Nucleic Acids Symp Ser (Oxf). 2007(51):263-4. doi: 10.1093/nass/nrm132.
10
Distamycin A as stem of DNA minor groove alkylating agents.
Curr Top Med Chem. 2004;4(2):231-9. doi: 10.2174/1568026043451474.

引用本文的文献

1
Synthesis and Evaluation of MGB Polyamide-Oligonucleotide Conjugates as Gene Expression Control Compounds.
J Nucleic Acids. 2023 Mar 14;2023:2447998. doi: 10.1155/2023/2447998. eCollection 2023.

本文引用的文献

1
A brief history, status, and perspective of modified oligonucleotides for chemotherapeutic applications.
Curr Protoc Nucleic Acid Chem. 2001 May;Chapter 4:Unit 4.1. doi: 10.1002/0471142700.nc0401s00.
4
Influence of structural variation on nuclear localization of DNA-binding polyamide-fluorophore conjugates.
Nucleic Acids Res. 2004 May 20;32(9):2802-18. doi: 10.1093/nar/gkh609. Print 2004.
6
Synthesis and analysis of nucleosides bearing pyrrolepolyamide binding to DNA.
Nucleosides Nucleotides Nucleic Acids. 2003 May-Aug;22(5-8):1309-11. doi: 10.1081/NCN-120022953.
9
Cellular uptake of N-methylpyrrole/N-methylimidazole polyamide-dye conjugates.
Bioorg Med Chem. 2002 Oct;10(10):3313-8. doi: 10.1016/s0968-0896(02)00204-3.
10
Efficient methods for the synthesis of [2-15N]guanosine and 2'-deoxy[2-15N]guanosine derivatives.
Nucleosides Nucleotides Nucleic Acids. 2001 Jan-Feb;20(1-2):59-75. doi: 10.1081/NCN-100001437.

文献AI研究员

20分钟写一篇综述,助力文献阅读效率提升50倍。

立即体验

用中文搜PubMed

大模型驱动的PubMed中文搜索引擎

马上搜索

文档翻译

学术文献翻译模型,支持多种主流文档格式。

立即体验