Suppr超能文献

乙基 5-(4-氨基苯基)-3-氨基-2,4-二氰基苯甲酸酯的激发波长依赖性荧光。

Excitation-wavelength dependent fluorescence of ethyl 5-(4-aminophenyl)-3-amino-2,4-dicyanobenzoate.

机构信息

Institute of Experimental Physics, University of Gdańsk, Gdańsk, Poland.

出版信息

J Fluoresc. 2011 Jan;21(1):239-45. doi: 10.1007/s10895-010-0711-4. Epub 2010 Aug 27.

Abstract

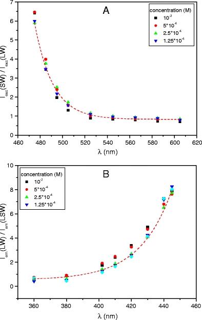
The excitation wavelength dependence of the steady-state and time-resolved emission spectra of ethyl 5-(4-aminophenyl)-3-amino-2,4-dicyanobenzoate (EAADCy) in tetrahydrofuran (THF) at room temperature has been examined. It is found that the ratio of the fluorescence intensity of the long-wavelength and short-wavelength fluorescence bands strongly depends on the excitation wavelength, whereas the wavelengths of the fluorescence excitation and fluorescence bands maxima are independent on the observation/excitation wavelengths. The dynamic Stokes shift of fluorophore in locally excited (LE) and intramolecular charge transfer (ICT) states has been studied with a time resolution about 30 ps. The difference between Stokes shift in the LE and ICT states was attributed to the solvent response to the large photoinduced dipole moment of EAADCy in the fluorescent charge transfer state. On this base we can state that, the relaxation of the polar solvent molecules around the fluorophore was observed.

摘要

室温下,在四氢呋喃(THF)中研究了乙基 5-(4-氨基苯基)-3-氨基-2,4-二氰基苯甲酸酯(EAADCy)的稳态和时间分辨发射光谱的激发波长依赖性。结果发现,长波和短波荧光带的荧光强度比强烈依赖于激发波长,而荧光激发和荧光带最大值的波长与观察/激发波长无关。用约 30 ps 的时间分辨率研究了局域激发(LE)和分子内电荷转移(ICT)态荧光团的动态斯托克斯位移。在 LE 和 ICT 态之间的斯托克斯位移的差异归因于溶剂对 EAADCy 在荧光电荷转移态下的大光诱导偶极矩的响应。在此基础上,我们可以说,观察到了荧光团周围极性溶剂分子的弛豫。

https://cdn.ncbi.nlm.nih.gov/pmc/blobs/579a/3032210/980d342e14a5/10895_2010_711_Fig1_HTML.jpg

文献AI研究员

20分钟写一篇综述,助力文献阅读效率提升50倍。

立即体验

用中文搜PubMed

大模型驱动的PubMed中文搜索引擎

马上搜索

文档翻译

学术文献翻译模型,支持多种主流文档格式。

立即体验