Suppr超能文献

下丘脑 GABA A 受体三聚体(αβγ)的不同α 亚基变异与仓鼠的冬眠状态有关。

Distinct α subunit variations of the hypothalamic GABAA receptor triplets (αβγ) are linked to hibernating state in hamsters.

机构信息

Comparative Neuroanatomy Laboratory, Ecology Department, University of Calabria, Ponte Pietro Bucci, 87030 Arcavacata di Rende, Cosenza, Italy.

出版信息

BMC Neurosci. 2010 Sep 6;11:111. doi: 10.1186/1471-2202-11-111.

Abstract

BACKGROUND

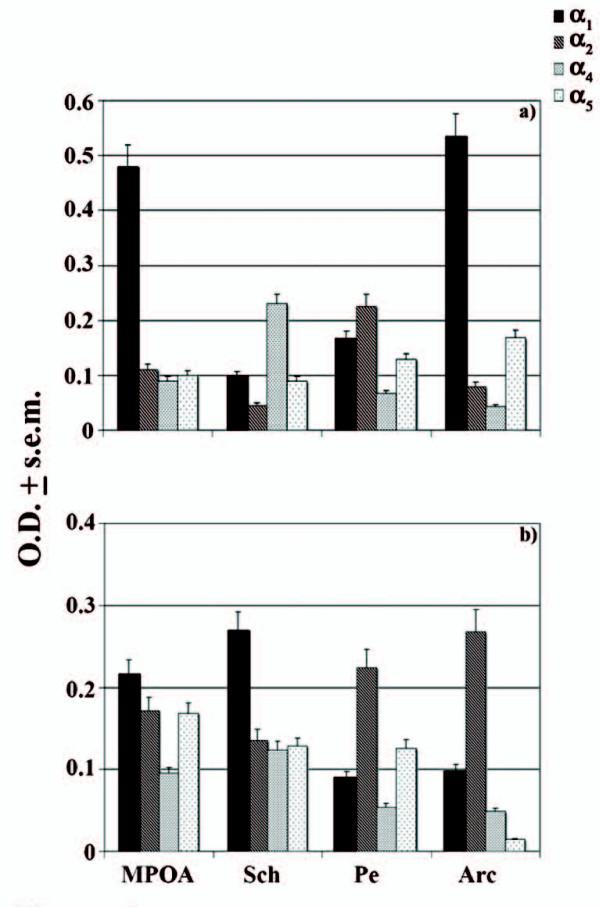
The structural arrangement of the γ-aminobutyric acid type A receptor (GABAAR) is known to be crucial for the maintenance of cerebral-dependent homeostatic mechanisms during the promotion of highly adaptive neurophysiological events of the permissive hibernating rodent, i.e the Syrian golden hamster. In this study, in vitro quantitative autoradiography and in situ hybridization were assessed in major hypothalamic nuclei. Reverse Transcription Reaction-Polymerase chain reaction (RT-PCR) tests were performed for specific GABAAR receptor subunit gene primers synthases of non-hibernating (NHIB) and hibernating (HIB) hamsters. Attempts were made to identify the type of αβγ subunit combinations operating during the switching ON/OFF of neuronal activities in some hypothalamic nuclei of hibernators.

RESULTS

Both autoradiography and molecular analysis supplied distinct expression patterns of all α subunits considered as shown by a strong (p < 0.01) prevalence of α1 ratio (over total α subunits considered in the present study) in the medial preoptic area (MPOA) and arcuate nucleus (Arc) of NHIBs with respect to HIBs. At the same time α2 subunit levels proved to be typical of periventricular nucleus (Pe) and Arc of HIB, while strong α4 expression levels were detected during awakening state in the key circadian hypothalamic station, i.e. the suprachiasmatic nucleus (Sch; 60%). Regarding the other two subunits (β and γ), elevated β3 and γ3 mRNAs levels mostly characterized MPOA of HIBs, while prevalently elevated expression concentrations of the same subunits were also typical of Sch, even though this time during the awakening state. In the case of Arc, notably elevated levels were obtained for β3 and γ2 during hibernating conditions.

CONCLUSION

We conclude that different αβγ subunits are operating as major elements either at the onset of torpor or during induction of the arousal state in the Syrian golden hamster. The identification of a brain regional distribution pattern of distinct GABAAR subunit combinations may prove to be very useful for highlighting GABAergic mechanisms functioning at least during the different physiological states of hibernators and this may have interesting therapeutic bearings on neurological sleeping disorders.

摘要

背景

γ-氨基丁酸 A 型受体(GABAAR)的结构排列对于维持大脑依赖的稳态机制至关重要,特别是在促进允许的冬眠啮齿动物(即叙利亚金仓鼠)的高度适应性神经生理事件期间。在这项研究中,在主要下丘脑核中评估了体外定量放射自显影和原位杂交。为非冬眠(NHIB)和冬眠(HIB)仓鼠的特定 GABAAR 受体亚基基因引物合成物进行了逆转录反应-聚合酶链反应(RT-PCR)测试。尝试确定在冬眠动物某些下丘脑核中神经元活动的开关过程中起作用的αβγ亚基组合的类型。

结果

放射自显影和分子分析均提供了所有α亚基的不同表达模式,正如在 NHIB 的中视前区(MPOA)和弓状核(Arc)中α1 比率(相对于本研究中考虑的总α亚基)强烈(p<0.01)流行所表明的那样。同时,α2 亚基水平被证明是脑室周围核(Pe)和 HIB 的 Arc 的典型特征,而在关键的昼夜节律下丘脑站,即视交叉上核(Sch;60%)中,强烈的α4 表达水平则在觉醒状态下检测到。关于其他两个亚基(β和γ),β3 和 γ3 mRNA 水平升高主要特征是 HIB 的 MPOA,而同一亚基的表达浓度升高也主要是 Sch 的特征,尽管此时是在觉醒状态下。就 Arc 而言,在冬眠条件下β3 和γ2 的表达水平显著升高。

结论

我们得出的结论是,不同的αβγ亚基作为主要元件,要么在叙利亚金仓鼠进入冬眠状态时,要么在诱导觉醒状态时发挥作用。不同 GABAAR 亚基组合的脑区分布模式的鉴定可能证明对于突出至少在冬眠动物的不同生理状态下发挥作用的 GABA 能机制非常有用,这可能对治疗神经睡眠障碍具有有趣的影响。

https://cdn.ncbi.nlm.nih.gov/pmc/blobs/8eba/2944354/96fae4b38282/1471-2202-11-111-1.jpg

文献AI研究员

20分钟写一篇综述,助力文献阅读效率提升50倍。

立即体验

用中文搜PubMed

大模型驱动的PubMed中文搜索引擎

马上搜索

文档翻译

学术文献翻译模型,支持多种主流文档格式。

立即体验