Suppr超能文献

幼年特发性关节炎对下肢运动学和动力学的影响要求在体育活动建议方面采取相应措施。

Effects of juvenile idiopathic arthritis on kinematics and kinetics of the lower extremities call for consequences in physical activities recommendations.

作者信息

Hartmann M, Kreuzpointner F, Haefner R, Michels H, Schwirtz A, Haas J P

机构信息

Department of Motion Analysis, German Center for Pediatric and Adolescent Rheumatology, 82467 Garmisch-Partenkirchen, Germany.

出版信息

Int J Pediatr. 2010;2010. doi: 10.1155/2010/835984. Epub 2010 Sep 2.

Abstract

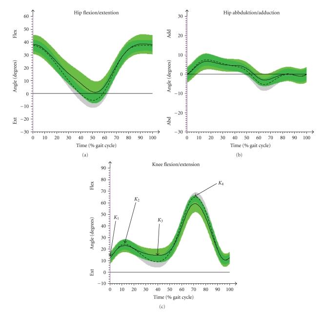
Juvenile idiopathic arthritis (JIA) patients (n = 36) with symmetrical polyarticular joint involvement of the lower extremities and healthy controls (n = 20) were compared concerning differences in kinematic, kinetic, and spatio-temporal parameters with 3D gait analysis. The aims of this study were to quantify the differences in gait between JIA patients and healthy controls and to provide data for more detailed sport activities recommendations. JIA-patients showed reduced walking speed and step length, strongly anterior tilted pelvis, reduced maximum hip extension, reduced knee extension during single support phase and reduced plantar flexion in push off. Additionally the roll-off procedure of the foot was slightly decelerated. The reduced push off motion in the ankle was confirmed by lower peaks in ankle moment and power. The gait of JIA-patients can be explained as a crouch-like gait with hyperflexion in hip and knee joints and less plantar flexion in the ankle. A preventive mobility workout would be recommendable to reduce these restrictions in the future. Advisable are sports with emphasis on extension in hip, knee, and ankle plantar flexion.

摘要

对36例患有下肢对称性多关节受累的幼年特发性关节炎(JIA)患者和20例健康对照者进行了比较,通过三维步态分析研究其运动学、动力学和时空参数的差异。本研究的目的是量化JIA患者与健康对照者之间的步态差异,并为更详细的体育活动建议提供数据。JIA患者表现出步行速度和步长降低、骨盆强烈前倾、最大髋关节伸展减少、单支撑期膝关节伸展减少以及蹬离期跖屈减少。此外,足部的滚落过程略有减速。踝关节蹬离运动减少通过踝关节力矩和功率的较低峰值得到证实。JIA患者的步态可解释为一种类似蹲伏的步态,髋关节和膝关节过度屈曲,踝关节跖屈较少。建议进行预防性的活动锻炼以减少未来这些限制。适合的运动应着重于髋关节伸展、膝关节伸展和踝关节跖屈。

https://cdn.ncbi.nlm.nih.gov/pmc/blobs/bc74/2939399/b4eb4df8848d/IJPED2010-835984.001.jpg

文献AI研究员

20分钟写一篇综述,助力文献阅读效率提升50倍。

立即体验

用中文搜PubMed

大模型驱动的PubMed中文搜索引擎

马上搜索

文档翻译

学术文献翻译模型,支持多种主流文档格式。

立即体验