• 文献检索
  • 文档翻译
  • 深度研究
  • 学术资讯
  • Suppr Zotero 插件Zotero 插件
  • 邀请有礼
  • 套餐&价格
  • 历史记录
应用&插件
Suppr Zotero 插件Zotero 插件浏览器插件Mac 客户端Windows 客户端微信小程序
定价
高级版会员购买积分包购买API积分包
服务
文献检索文档翻译深度研究API 文档MCP 服务
关于我们
关于 Suppr公司介绍联系我们用户协议隐私条款
关注我们

Suppr 超能文献

核心技术专利:CN118964589B侵权必究
粤ICP备2023148730 号-1Suppr @ 2026

文献检索

告别复杂PubMed语法,用中文像聊天一样搜索,搜遍4000万医学文献。AI智能推荐,让科研检索更轻松。

立即免费搜索

文件翻译

保留排版,准确专业,支持PDF/Word/PPT等文件格式,支持 12+语言互译。

免费翻译文档

深度研究

AI帮你快速写综述,25分钟生成高质量综述,智能提取关键信息,辅助科研写作。

立即免费体验

亚油酸通过诱导氧化应激和线粒体功能障碍抑制结直肠癌细胞生长。

Linoleic acid suppresses colorectal cancer cell growth by inducing oxidant stress and mitochondrial dysfunction.

机构信息

Department of Food Science and Nutrition, College of Biosystems Engineering and Food Science, Zhejiang University, Hangzhou 310029, P R China.

出版信息

Lipids Health Dis. 2010 Sep 24;9:106. doi: 10.1186/1476-511X-9-106.

DOI:10.1186/1476-511X-9-106
PMID:20868498
原文链接:https://pmc.ncbi.nlm.nih.gov/articles/PMC2954911/
Abstract

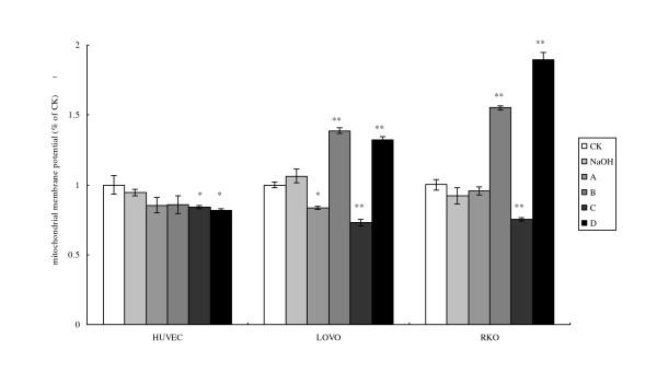
Some polyunsaturated fatty acids (PUFAs), if not all, have been shown to have tumoricidal action, but their exact mechanism(s) of action is not clear. In the present study, we observed that n-6 PUFA linoleic acid (LA) inhibited tumor cell growth at high concentrations (above 300 μM); while low concentrations (100-200 μM) promoted proliferation. Analysis of cell mitochondrial membrane potential, reactive oxygen species (ROS) formation, malondialdehyde (MDA) accumulation and superoxide dismutase (SOD) activity suggested that anti-cancer action of LA is due to enhanced ROS generation and decreased cell anti-oxidant capacity that resulted in mitochondrial damage. Of the three cell lines tested, semi-differentiated colorectal cancer cells RKO were most sensitive to the cytotoxic action of LA, followed by undifferentiated colorectal cancer cell line (LOVO) while the normal human umbilical vein endothelial cells (HUVEC) were the most resistant (the degree of sensitivity to LA is as follows: RKO > LOVO > HUVEC). LA induced cell death was primed by mitochondrial apoptotic pathway. Pre-incubation of cancer cells with 100 μM LA for 24 hr enhanced sensitivity of differentiated and semi-differentiated cells to the subsequent exposure to LA. The relative resistance of LOVO cells to the cytotoxic action of LA is due to a reduction in the activation of caspase-3. Thus, LA induced cancer cell apoptosis by enhancing cellular oxidant status and inducing mitochondrial dysfunction.

摘要

一些多不饱和脂肪酸(PUFAs),如果不是全部,已经被证明具有杀肿瘤作用,但它们的确切作用机制尚不清楚。在本研究中,我们观察到 n-6 多不饱和脂肪酸亚油酸(LA)在高浓度(高于 300 μM)时抑制肿瘤细胞生长;而低浓度(100-200 μM)则促进增殖。细胞线粒体膜电位、活性氧(ROS)形成、丙二醛(MDA)积累和超氧化物歧化酶(SOD)活性分析表明,LA 的抗癌作用是由于增强了 ROS 的产生和降低了细胞抗氧化能力,导致线粒体损伤。在所测试的三种细胞系中,半分化结直肠癌细胞 RKO 对 LA 的细胞毒性作用最敏感,未分化结直肠癌细胞系(LOVO)次之,而正常的人脐静脉内皮细胞(HUVEC)最耐受(对 LA 的敏感性程度如下:RKO>LOVO>HUVEC)。LA 诱导的细胞死亡是由线粒体凋亡途径引发的。将癌细胞用 100 μM LA 预孵育 24 小时可增强分化和半分化细胞对随后暴露于 LA 的敏感性。LOVO 细胞对 LA 细胞毒性作用的相对抗性是由于 caspase-3 的激活减少所致。因此,LA 通过增强细胞氧化状态和诱导线粒体功能障碍诱导癌细胞凋亡。

https://cdn.ncbi.nlm.nih.gov/pmc/blobs/0035/2954911/33cb7da9b27a/1476-511X-9-106-9.jpg
https://cdn.ncbi.nlm.nih.gov/pmc/blobs/0035/2954911/8d7d4070a161/1476-511X-9-106-1.jpg
https://cdn.ncbi.nlm.nih.gov/pmc/blobs/0035/2954911/6e41fd623aee/1476-511X-9-106-2.jpg
https://cdn.ncbi.nlm.nih.gov/pmc/blobs/0035/2954911/9bd530a0333f/1476-511X-9-106-3.jpg
https://cdn.ncbi.nlm.nih.gov/pmc/blobs/0035/2954911/8c810dada33e/1476-511X-9-106-4.jpg
https://cdn.ncbi.nlm.nih.gov/pmc/blobs/0035/2954911/54b60c815871/1476-511X-9-106-5.jpg
https://cdn.ncbi.nlm.nih.gov/pmc/blobs/0035/2954911/fecfd159eddd/1476-511X-9-106-6.jpg
https://cdn.ncbi.nlm.nih.gov/pmc/blobs/0035/2954911/b2b824448256/1476-511X-9-106-7.jpg
https://cdn.ncbi.nlm.nih.gov/pmc/blobs/0035/2954911/43bb7213b1b6/1476-511X-9-106-8.jpg
https://cdn.ncbi.nlm.nih.gov/pmc/blobs/0035/2954911/33cb7da9b27a/1476-511X-9-106-9.jpg
https://cdn.ncbi.nlm.nih.gov/pmc/blobs/0035/2954911/8d7d4070a161/1476-511X-9-106-1.jpg
https://cdn.ncbi.nlm.nih.gov/pmc/blobs/0035/2954911/6e41fd623aee/1476-511X-9-106-2.jpg
https://cdn.ncbi.nlm.nih.gov/pmc/blobs/0035/2954911/9bd530a0333f/1476-511X-9-106-3.jpg
https://cdn.ncbi.nlm.nih.gov/pmc/blobs/0035/2954911/8c810dada33e/1476-511X-9-106-4.jpg
https://cdn.ncbi.nlm.nih.gov/pmc/blobs/0035/2954911/54b60c815871/1476-511X-9-106-5.jpg
https://cdn.ncbi.nlm.nih.gov/pmc/blobs/0035/2954911/fecfd159eddd/1476-511X-9-106-6.jpg
https://cdn.ncbi.nlm.nih.gov/pmc/blobs/0035/2954911/b2b824448256/1476-511X-9-106-7.jpg
https://cdn.ncbi.nlm.nih.gov/pmc/blobs/0035/2954911/43bb7213b1b6/1476-511X-9-106-8.jpg
https://cdn.ncbi.nlm.nih.gov/pmc/blobs/0035/2954911/33cb7da9b27a/1476-511X-9-106-9.jpg

相似文献

1
Linoleic acid suppresses colorectal cancer cell growth by inducing oxidant stress and mitochondrial dysfunction.亚油酸通过诱导氧化应激和线粒体功能障碍抑制结直肠癌细胞生长。
Lipids Health Dis. 2010 Sep 24;9:106. doi: 10.1186/1476-511X-9-106.
2
Polyunsaturated fatty acids trigger apoptosis of colon cancer cells through a mitochondrial pathway.多不饱和脂肪酸通过线粒体途径触发结肠癌细胞凋亡。
Arch Med Sci. 2015 Oct 12;11(5):1081-94. doi: 10.5114/aoms.2015.54865.
3
Colorectal cancer cell growth inhibition by linoleic acid is related to fatty acid composition changes.亚油酸抑制结直肠癌细胞生长与脂肪酸组成变化有关。
J Zhejiang Univ Sci B. 2010 Dec;11(12):923-30. doi: 10.1631/jzus.B1000125.
4
Effects of polyunsaturated fatty acids on the growth of gastric cancer cells in vitro.多不饱和脂肪酸对胃癌细胞体外生长的影响。
Lipids Health Dis. 2013 May 10;12:71. doi: 10.1186/1476-511X-12-71.
5
A novel coordination complex of platinum (PT) induces cell death in colorectal cancer by altering redox balance and modulating MAPK pathway.一种新型铂(PT)配合物通过改变氧化还原平衡和调节 MAPK 通路诱导结直肠癌细胞死亡。
BMC Cancer. 2020 Jul 23;20(1):685. doi: 10.1186/s12885-020-07165-w.
6
2,3,5,4'-tetrahydroxystilbene-2-O-β-D-glucoside protects human umbilical vein endothelial cells against lysophosphatidylcholine-induced apoptosis by upregulating superoxide dismutase and glutathione peroxidase.2,3,5,4'-四羟基二苯乙烯-2-O-β-D-葡萄糖苷通过上调超氧化物歧化酶和谷胱甘肽过氧化物酶保护人脐静脉内皮细胞免受溶血磷脂酰胆碱诱导的细胞凋亡。
IUBMB Life. 2014 Oct;66(10):711-22. doi: 10.1002/iub.1321. Epub 2014 Nov 7.
7
Growth inhibitory effect of polyunsaturated fatty acids (PUFAs) on colon cancer cells via their growth inhibitory metabolites and fatty acid composition changes.多不饱和脂肪酸(PUFAs)通过其生长抑制性代谢产物和脂肪酸组成变化对结肠癌细胞产生生长抑制作用。
PLoS One. 2015 Apr 17;10(4):e0123256. doi: 10.1371/journal.pone.0123256. eCollection 2015.
8
Reactive oxygen species mediate caspase activation and apoptosis induced by lipoic acid in human lung epithelial cancer cells through Bcl-2 down-regulation.活性氧通过下调Bcl-2介导硫辛酸诱导的人肺上皮癌细胞中的半胱天冬酶激活和凋亡。
J Pharmacol Exp Ther. 2006 Dec;319(3):1062-9. doi: 10.1124/jpet.106.110965. Epub 2006 Sep 21.
9
Effect of essential fatty acids on glucose-induced cytotoxicity to retinal vascular endothelial cells.必需脂肪酸对葡萄糖诱导的视网膜血管内皮细胞细胞毒性的影响。
Lipids Health Dis. 2012 Jul 10;11:90. doi: 10.1186/1476-511X-11-90.
10
Metformin inhibits human breast cancer cell growth by promoting apoptosis via a ROS-independent pathway involving mitochondrial dysfunction: pivotal role of superoxide dismutase (SOD).二甲双胍通过促进 ROS 非依赖途径的细胞凋亡抑制人乳腺癌细胞生长:超氧化物歧化酶(SOD)的关键作用。
Cell Oncol (Dordr). 2018 Dec;41(6):637-650. doi: 10.1007/s13402-018-0398-0. Epub 2018 Aug 7.

引用本文的文献

1
Examination of the effects of polyunsaturated fatty acids on the alzheimer model caused by amiloid β toxicity in human SHSY5Y cells by in vitro methods.通过体外方法检测多不饱和脂肪酸对人SHSY5Y细胞中由淀粉样β毒性引起的阿尔茨海默病模型的影响。
Toxicol Res (Camb). 2025 Aug 28;14(4):tfaf130. doi: 10.1093/toxres/tfaf130. eCollection 2025 Aug.
2
Elucidating the role of fatty acid reprogramming in ovarian cancer: insights cross-talk between blood, subcutaneous fat, and ovarian cancer tissues.阐明脂肪酸重编程在卵巢癌中的作用:血液、皮下脂肪和卵巢癌组织之间的相互作用见解
Front Oncol. 2025 Apr 30;15:1530487. doi: 10.3389/fonc.2025.1530487. eCollection 2025.
3

本文引用的文献

1
Oxidative stress and apoptosis of Carassius auratus lymphocytes induced by nonplanar (PCB153) and coplanar (PCB169) polychlorinated biphenyl congeners in vitro.体外非平面(PCB153)和平面(PCB169)多氯联苯同系物诱导鲤鱼淋巴细胞氧化应激和细胞凋亡。
J Environ Sci (China). 2009;21(9):1284-9. doi: 10.1016/s1001-0742(08)62416-x.
2
Influence of different sizes of titanium dioxide nanoparticles on hepatic and renal functions in rats with correlation to oxidative stress.不同尺寸二氧化钛纳米颗粒对大鼠肝肾功能的影响及其与氧化应激的相关性
J Toxicol Environ Health A. 2009;72(11-12):740-5. doi: 10.1080/15287390902841516.
3
Mode and Mechanism of Action of Omega-3 and Omega-6 Unsaturated Fatty Acids in Chronic Diseases.
ω-3和ω-6不饱和脂肪酸在慢性病中的作用方式及作用机制
Nutrients. 2025 Apr 30;17(9):1540. doi: 10.3390/nu17091540.
4
Investigation of the Effects of Polyunsaturated Fatty Acid Ratios in Human SH-SY5Y Cells by Methods.采用多种方法研究多不饱和脂肪酸比例对人SH-SY5Y细胞的影响。
Turk J Pharm Sci. 2025 Mar 7;22(1):10-18. doi: 10.4274/tjps.galenos.2024.40583.
5
The role of 1400 plasma metabolites in gastric cancer: A bidirectional Mendelian randomization study and metabolic pathway analysis.1400 种血浆代谢物在胃癌中的作用:一项双向孟德尔随机化研究和代谢途径分析。
Medicine (Baltimore). 2024 Nov 29;103(48):e40612. doi: 10.1097/MD.0000000000040612.
6
Plasma metabolite profiles related to dietary patterns: exploring the association with colorectal tumor risk.与饮食模式相关的血浆代谢物谱:探索与结直肠肿瘤风险的关联。
Eur J Nutr. 2024 Nov 21;64(1):13. doi: 10.1007/s00394-024-03527-3.
7
Biovalorization of whey waste as economic nutriment for mycogenic production of single cell oils with promising antibiofilm and anticancer potentiality.将乳清废料生物转化为用于产油真菌生产单细胞油的经济营养物,该单细胞油具有良好的抗生物膜和抗癌潜力。
J Biol Eng. 2024 Nov 4;18(1):62. doi: 10.1186/s13036-024-00455-y.
8
Mechanistic insights into 's anti-proliferative and pro-apoptotic effects in A549 lung cancer cells: targeting PI3K/Akt pathway and ROS production.关于[具体物质]对A549肺癌细胞抗增殖和促凋亡作用的机制性见解:靶向PI3K/Akt信号通路和活性氧生成
Toxicol Res (Camb). 2024 Sep 2;13(5):tfae137. doi: 10.1093/toxres/tfae137. eCollection 2024 Oct.
9
DPP3 promotes breast cancer tumorigenesis by stabilizing FASN and promoting lipid synthesis.DPP3 通过稳定 FASN 和促进脂质合成促进乳腺癌肿瘤发生。
Acta Biochim Biophys Sin (Shanghai). 2024 May 25;56(5):805-818. doi: 10.3724/abbs.2024054.
10
Linoleic acid induces human ovarian granulosa cell inflammation and apoptosis through the ER-FOXO1-ROS-NFκB pathway.亚油酸通过 ER-FOXO1-ROS-NFκB 通路诱导人卵巢颗粒细胞炎症和凋亡。
Sci Rep. 2024 Mar 16;14(1):6392. doi: 10.1038/s41598-024-56970-x.
Mechanisms by which docosahexaenoic acid and related fatty acids reduce colon cancer risk and inflammatory disorders of the intestine.
二十二碳六烯酸及相关脂肪酸降低结肠癌风险和肠道炎症性疾病的机制。
Chem Phys Lipids. 2008 May;153(1):14-23. doi: 10.1016/j.chemphyslip.2008.02.011. Epub 2008 Mar 4.
4
Free Zn(2+) enhances inhibitory effects of EGCG on the growth of PC-3 cells.游离锌离子增强表没食子儿茶素没食子酸酯对PC-3细胞生长的抑制作用。
Mol Nutr Food Res. 2008 Apr;52(4):465-71. doi: 10.1002/mnfr.200700172.
5
Approaches to mitochondrially mediated cancer therapy.线粒体介导的癌症治疗方法。
Semin Cancer Biol. 2008 Jun;18(3):226-35. doi: 10.1016/j.semcancer.2007.12.006. Epub 2007 Dec 8.
6
Arachidonic and docosahexaenoic acids reduce the growth of A549 human lung-tumor cells increasing lipid peroxidation and PPARs.花生四烯酸和二十二碳六烯酸通过增加脂质过氧化和过氧化物酶体增殖物激活受体(PPARs)来抑制A549人肺肿瘤细胞的生长。
Chem Biol Interact. 2007 Feb 20;165(3):239-50. doi: 10.1016/j.cbi.2006.12.014. Epub 2007 Jan 10.
7
Fatty acids in tea shoots (Camellia sinensis (L.) O. Kuntze) and their effects on the growth of retinal RF/6A endothelial cell lines.茶梢(茶树(L.)O. 昆茨)中的脂肪酸及其对视网膜RF/6A内皮细胞系生长的影响。
Mol Nutr Food Res. 2007 Feb;51(2):221-8. doi: 10.1002/mnfr.200600147.
8
Essential Fatty acids - a review.必需脂肪酸——综述
Curr Pharm Biotechnol. 2006 Dec;7(6):467-82. doi: 10.2174/138920106779116856.
9
Tumoricidal and anti-angiogenic actions of gamma-linolenic acid and its derivatives.γ-亚麻酸及其衍生物的杀肿瘤和抗血管生成作用。
Curr Pharm Biotechnol. 2006 Dec;7(6):457-66. doi: 10.2174/138920106779116892.
10
Essential fatty acids: biochemistry, physiology and pathology.必需脂肪酸:生物化学、生理学及病理学
Biotechnol J. 2006 Apr;1(4):420-39. doi: 10.1002/biot.200600012.