Suppr超能文献

一氧化碳抑制大鼠低氧性肺血管收缩。

Inhibition of hypoxic pulmonary vasoconstriction of rats by carbon monoxide.

机构信息

Department of Physiology, Seoul National University College of Medicine, Seoul, Korea.

出版信息

J Korean Med Sci. 2010 Oct;25(10):1411-7. doi: 10.3346/jkms.2010.25.10.1411. Epub 2010 Sep 17.

Abstract

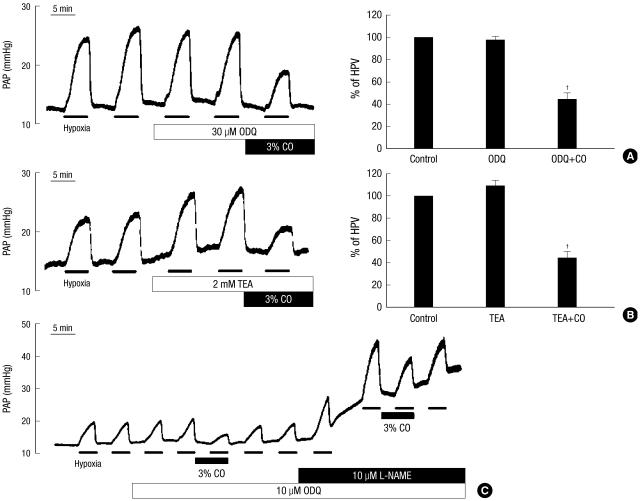
Hypoxic pulmonary vasoconstriction (HPV), a unique response of pulmonary circulation, is critical to prevent hypoxemia under local hypoventilation. Hypoxic inhibition of K(+) channel is known as an important O(2)-sensing mechanism in HPV. Carbon monoxide (CO) is suggested as a positive regulator of Ca(2+)-activated K(+) channel (BK(Ca)), a stimulator of guanylate cyclase, and an O(2)-mimetic agent in heme moiety-dependent O(2) sensing mechanisms. Here we compared the effects of CO on the HPV (P(O(2)), 3%) in isolated pulmonary artery (HPV(PA)) and in blood-perfused/ventilated lungs (HPV(lung)) of rats. A pretreatment with CO (3%) abolished the HPV(PA) in a reversible manner. The inhibition of HPV(PA) was completely reversed by 1H-[1,2,4]oxadiazolo-[4,3-a]quinoxalin-1-one (ODQ), a guanylate cyclase inhibitor. In contrast, the HPV(lung) was only partly decreased by CO. Moreover, the partial inhibition of HPV(lung) by CO was affected neither by the pretreatment with ODQ nor by NO synthase inhibitor (L-NAME). The CO-induced inhibitions of HPV(PA) and HPV(lung) were commonly unaffected by tetraethylammonium (TEA, 2 mM), a blocker of BK(Ca). As a whole, CO inhibits HPV(PA) via activating guanylate cyclase. The inconsistent effects of ODQ on HPV(PA) and HPV(lung) suggest that ODQ may lose its sGC inhibitory action when applied to the blood-containing perfusate.

摘要

低氧性肺血管收缩(HPV)是肺循环的一种独特反应,对于防止局部通气不足引起的低氧血症至关重要。低氧抑制钾(K+)通道被认为是 HPV 中重要的氧感应机制之一。一氧化碳(CO)被认为是钙激活钾(BK(Ca))通道的正调节剂,是鸟苷酸环化酶的刺激剂,也是血红素部分依赖的氧感应机制中的氧类似物。在这里,我们比较了 CO 对离体肺动脉(HPV(PA))和在灌注/通气的肺中的 HPV(lung)(P(O(2)),3%)的影响。用 CO(3%)预处理可使 HPV(PA)以可逆的方式消除。1H-[1,2,4]恶二唑-[4,3-a]喹喔啉-1-酮(ODQ),一种鸟苷酸环化酶抑制剂,可完全逆转 HPV(PA)的抑制作用。相比之下,CO 仅部分抑制 HPV(lung)。此外,ODQ 的预处理或一氧化氮合酶抑制剂(L-NAME)对 CO 引起的 HPV(lung)部分抑制均无影响。CO 诱导的 HPV(PA)和 HPV(lung)抑制作用通常不受四乙铵(TEA,2 mM)的影响,TEA 是 BK(Ca)的阻断剂。总的来说,CO 通过激活鸟苷酸环化酶来抑制 HPV(PA)。ODQ 对 HPV(PA)和 HPV(lung)的不一致影响表明,当应用于含血液的灌流液时,ODQ 可能会失去其 sGC 抑制作用。

https://cdn.ncbi.nlm.nih.gov/pmc/blobs/147f/2946648/d21accc3f125/jkms-25-1411-g001.jpg

文献AI研究员

20分钟写一篇综述,助力文献阅读效率提升50倍。

立即体验

用中文搜PubMed

大模型驱动的PubMed中文搜索引擎

马上搜索

文档翻译

学术文献翻译模型,支持多种主流文档格式。

立即体验