Suppr超能文献

蒿甲醚-本芴醇治疗的健康巴基斯坦男性志愿者中蒿甲醚和双氢青蒿素的药代动力学。

Pharmacokinetics of artemether and dihydroartemisinin in healthy Pakistani male volunteers treated with artemether-lumefantrine.

机构信息

Department of Pharmacology and Therapeutics, Army Medical College, National University of Sciences and Technology (NUST), Islamabad, Pakistan.

出版信息

Malar J. 2010 Oct 11;9:275. doi: 10.1186/1475-2875-9-275.

Abstract

BACKGROUND

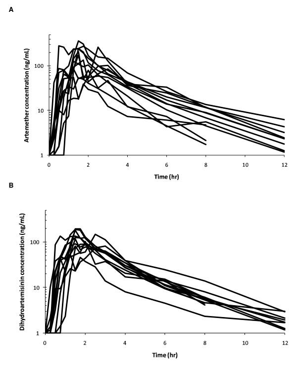
Artemether-lumefantrine is one of the most widely used anti-malarial drug combinations in the world with excellent tolerability and cure rates in adult and paediatric patients with uncomplicated falciparum malaria. The aim of this study was to evaluate the pharmacokinetics of artemether and its active metabolite, dihydroartemisinin, in healthy Pakistani volunteers.

METHODS

Twelve healthy male Pakistani subjects, aged 20 to 50, were recruited into the study. A fixed oral combination of artemether-lumefantrine (80-480 mg) was given as a single oral dose. Frequent blood samples were collected and artemether and dihydroartemisinin were quantified in human plasma using solid-phase extraction and liquid chromatography coupled with tandem mass spectrometry. Drug concentration-time data were evaluated with non-compartmental analysis.

RESULTS

Observed maximum concentrations (mean ± SD) of artemether and dihydroartemisinin were 184 ± 100 ng/mL and 126 ± 46 ng/mL, respectively. These concentrations were reached at 1.56 ± 0.68 hr and 1.69 ± 0.59 hr, respectively, after drug intake. The terminal elimination half-life of artemether and dihydroartemisinin were 2.00 ± 0.71 hr and 1.80 ± 0.31 hr, respectively. Apparent volume of distribution and oral clearance for artemether were estimated to 666 ± 220 L and 257 ± 140 L/hr. The same parameters were estimated to 702 ± 220 L and 269 ± 57 L/hr for dihydroartemisinin.

CONCLUSIONS

The overall pharmacokinetic properties of artemether and dihydroartemisinin in healthy Pakistani subjects are comparable to healthy subjects and patients from other populations.

摘要

背景

青蒿琥酯-咯萘啶是世界上使用最广泛的抗疟药物组合之一,在治疗成人和儿童无并发症恶性疟原虫疟疾方面具有良好的耐受性和治愈率。本研究旨在评估青蒿琥酯及其活性代谢物双氢青蒿素在健康巴基斯坦志愿者中的药代动力学。

方法

招募了 12 名年龄在 20 至 50 岁之间的健康巴基斯坦男性志愿者参加这项研究。给予青蒿琥酯-咯萘啶固定口服组合(80-480mg)作为单次口服剂量。频繁采集血样,使用固相萃取和液相色谱串联质谱法在人血浆中定量青蒿琥酯和双氢青蒿素。采用非房室分析评估药物浓度-时间数据。

结果

观察到青蒿琥酯和双氢青蒿素的最大浓度(均值±标准差)分别为 184±100ng/mL 和 126±46ng/mL。这些浓度分别在药物摄入后 1.56±0.68 小时和 1.69±0.59 小时达到。青蒿琥酯和双氢青蒿素的终末消除半衰期分别为 2.00±0.71 小时和 1.80±0.31 小时。青蒿琥酯的表观分布容积和口服清除率估计值分别为 666±220L 和 257±140L/hr。双氢青蒿素的相同参数估计值分别为 702±220L 和 269±57L/hr。

结论

在健康巴基斯坦受试者中,青蒿琥酯和双氢青蒿素的总体药代动力学特性与来自其他人群的健康受试者和患者相当。

https://cdn.ncbi.nlm.nih.gov/pmc/blobs/3da8/2959074/9ddd4668fbf9/1475-2875-9-275-1.jpg

文献AI研究员

20分钟写一篇综述,助力文献阅读效率提升50倍。

立即体验

用中文搜PubMed

大模型驱动的PubMed中文搜索引擎

马上搜索

文档翻译

学术文献翻译模型,支持多种主流文档格式。

立即体验