Suppr超能文献

过氧亚硝酸盐介导糖尿病诱导的内皮功能障碍:Rho激酶激活的潜在作用。

Peroxynitrite mediates diabetes-induced endothelial dysfunction: possible role of Rho kinase activation.

作者信息

El-Remessy Azza B, Tawfik Huda E, Matragoon Suraporn, Pillai Bindu, Caldwell Ruth B, Caldwell R William

机构信息

College of Pharmacy, The University of Georgia, 1120 15th Street, HM-1200, Augusta, GA 30912, USA.

出版信息

Exp Diabetes Res. 2010;2010:247861. doi: 10.1155/2010/247861. Epub 2010 Nov 1.

Abstract

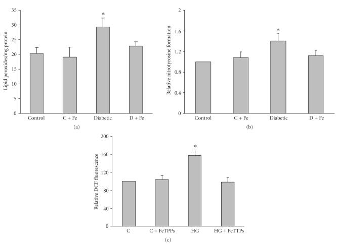
Endothelial dysfunction is characterized by reduced bioavailability of NO due to its inactivation to form peroxynitrite or reduced expression of eNOS. Here, we examine the causal role of peroxynitrite in mediating diabetes-induced endothelial dysfunction. Diabetes was induced by STZ-injection, and rats received the peroxynitrite decomposition catalyst (FeTTPs, 15 mg/Kg/day) for 4 weeks. Vasorelaxation to acetylcholine, oxidative-stress markers, RhoA activity, and eNOS expression were determined. Diabetic coronary arteries showed significant reduction in ACh-mediated maximal relaxation compared to controls. Diabetic vessels showed also significant increases in lipid-peroxides, nitrotyrosine, and active RhoA and 50% reduction in eNOS mRNA expression. Treatment of diabetic animals with FeTTPS blocked these effects. Studies in aortic endothelial cells show that high glucose or peroxynitrite increases the active RhoA kinase levels and decreases eNOS expression and NO levels, which were reversed with blocking peroxynitrite or Rho kinase. Together, peroxynitrite can suppress eNOS expression via activation of RhoA and hence cause vascular dysfunction.

摘要

内皮功能障碍的特征是由于一氧化氮(NO)失活形成过氧亚硝酸盐或内皮型一氧化氮合酶(eNOS)表达降低,导致其生物利用度降低。在此,我们研究过氧亚硝酸盐在介导糖尿病诱导的内皮功能障碍中的因果作用。通过注射链脲佐菌素(STZ)诱导糖尿病,大鼠接受过氧亚硝酸盐分解催化剂(FeTTPs,15mg/Kg/天)治疗4周。测定对乙酰胆碱的血管舒张、氧化应激标志物、RhoA活性和eNOS表达。与对照组相比,糖尿病冠状动脉中乙酰胆碱介导的最大舒张显著降低。糖尿病血管中的脂质过氧化物、硝基酪氨酸和活性RhoA也显著增加,eNOS mRNA表达降低50%。用FeTTPS治疗糖尿病动物可阻断这些作用。对主动脉内皮细胞的研究表明,高糖或过氧亚硝酸盐会增加活性RhoA激酶水平,降低eNOS表达和NO水平,而阻断过氧亚硝酸盐或Rho激酶可使其逆转。总之,过氧亚硝酸盐可通过激活RhoA抑制eNOS表达,从而导致血管功能障碍。

https://cdn.ncbi.nlm.nih.gov/pmc/blobs/a9c1/2967829/b326a6fc4129/EDR2010-247861.001.jpg

文献AI研究员

20分钟写一篇综述,助力文献阅读效率提升50倍。

立即体验

用中文搜PubMed

大模型驱动的PubMed中文搜索引擎

马上搜索

文档翻译

学术文献翻译模型,支持多种主流文档格式。

立即体验