Department of Physiology and Biophysics, Stony Brook University, Nicolls Road, Stony Brook, NY 11794, USA.
Stem Cell Res Ther. 2010 Nov 17;1(5):35. doi: 10.1186/scrt35.
Delivered systemically or natively circulating mesenchymal stem cells accumulate in injured tissues. During homing mesenchymal stem cells adhere to endothelial cells and infiltrate underlying tissue. Previously we have shown that adhesiveness of endothelial cells for mesenchymal stem cells correlates with the inhibition of mitochondrial function of endothelial cells and secretion of von Willebrand factor. We hypothesized that von Willebrand factor is an auto/paracrine regulator of endothelial cell adhesiveness and studied the effect of von Willebrand factor on adhesion of mesenchymal stem cells to endothelial cells.
We used Affymetrix DNA microarrays, human protein phospho-MAPK array, Western blot, cell-based ELISA and flow cytometry analysis to study the activation of endothelial cells by von Willebrand factor. Cell adhesion assay and protein kinase inhibitors were used to evaluate the role of mitogen-activated protein kinases in the regulation of endothelial cell adhesiveness for mesenchymal stem cell.
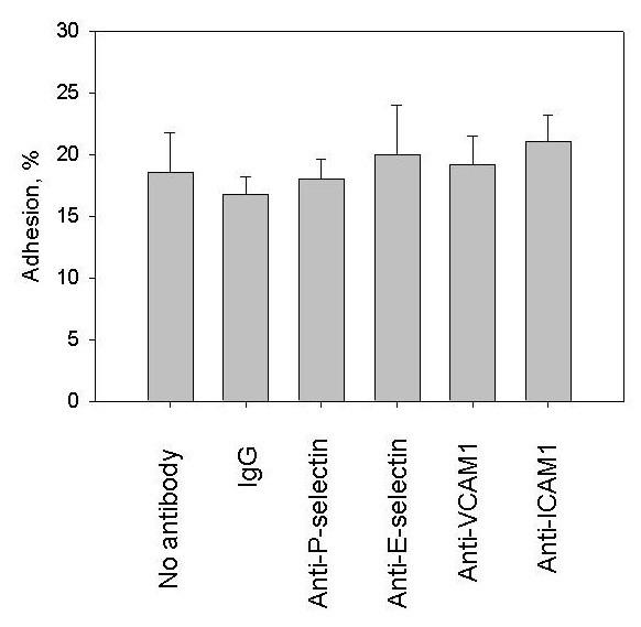
Treatment of endothelial cells with von Willebrand factor stimulated the mesenchymal stem cell adhesion in a time- and concentration-dependent manner. Mesenchymal stem cells did not adhere to immobilized von Willebrand factor and did not express receptors for von Willebrand factor suggesting that the stimulation of the mesenchymal stem cell adhesion is a result of endothelial cell activation with von Willebrand factor. Treatment of endothelial cells with von Willebrand factor activated ERK-1,2 and p38 MAPK without an effect on gene or cell surface expression of E-selectin, P-selectin, VCAM1 and ICAM1. Inhibition of p38 MAPK, but not ERK-1,2, in endothelial cells completely abrogated the stimulation of the mesenchymal stem cell adhesion by von Willebrand factor.
Von Willebrand factor is an auto/paracrine regulator of endothelial cells. Activation of p38 MAPK in endothelial cells by von Willebrand factor is responsible for the regulation of endothelial cell adhesiveness for mesenchymal stem cells.
经全身或内循环传递的间充质干细胞在损伤组织中积聚。在归巢过程中,间充质干细胞黏附在内皮细胞上,并渗透到下层组织中。此前我们已经表明,内皮细胞对间充质干细胞的黏附性与内皮细胞线粒体功能的抑制和血管性血友病因子的分泌有关。我们假设血管性血友病因子是内皮细胞黏附性的自体/旁分泌调节剂,并研究了血管性血友病因子对间充质干细胞与内皮细胞黏附的影响。
我们使用 Affymetrix DNA 微阵列、人蛋白磷酸化-MAPK 阵列、Western blot、基于细胞的 ELISA 和流式细胞术分析来研究血管性血友病因子对内皮细胞的激活作用。细胞黏附试验和蛋白激酶抑制剂用于评估丝裂原活化蛋白激酶在调节内皮细胞对间充质干细胞黏附性中的作用。
血管性血友病因子处理内皮细胞可在时间和浓度依赖性方式下刺激间充质干细胞黏附。间充质干细胞不黏附于固定化的血管性血友病因子,也不表达血管性血友病因子受体,这表明间充质干细胞黏附的刺激是内皮细胞被血管性血友病因子激活的结果。血管性血友病因子处理内皮细胞可激活 ERK-1、2 和 p38 MAPK,而对 E-选择素、P-选择素、VCAM1 和 ICAM1 的基因或细胞表面表达没有影响。内皮细胞中 p38 MAPK 的抑制,但不是 ERK-1、2 的抑制,完全阻断了血管性血友病因子对间充质干细胞黏附的刺激。
血管性血友病因子是内皮细胞的自体/旁分泌调节剂。血管性血友病因子激活内皮细胞中的 p38 MAPK 负责调节内皮细胞对间充质干细胞的黏附性。