• 文献检索
  • 文档翻译
  • 深度研究
  • 学术资讯
  • Suppr Zotero 插件Zotero 插件
  • 邀请有礼
  • 套餐&价格
  • 历史记录
应用&插件
Suppr Zotero 插件Zotero 插件浏览器插件Mac 客户端Windows 客户端微信小程序
定价
高级版会员购买积分包购买API积分包
服务
文献检索文档翻译深度研究API 文档MCP 服务
关于我们
关于 Suppr公司介绍联系我们用户协议隐私条款
关注我们

Suppr 超能文献

核心技术专利:CN118964589B侵权必究
粤ICP备2023148730 号-1Suppr @ 2026

文献检索

告别复杂PubMed语法,用中文像聊天一样搜索,搜遍4000万医学文献。AI智能推荐,让科研检索更轻松。

立即免费搜索

文件翻译

保留排版,准确专业,支持PDF/Word/PPT等文件格式,支持 12+语言互译。

免费翻译文档

深度研究

AI帮你快速写综述,25分钟生成高质量综述,智能提取关键信息,辅助科研写作。

立即免费体验

真菌相关的 NO 参与了共生地衣在再水合过程中氧化应激的调节。

Fungal-associated NO is involved in the regulation of oxidative stress during rehydration in lichen symbiosis.

机构信息

Universidad Rey Juan Carlos, Dpto. Biología y Geología, ESCET, Madrid, Spain.

出版信息

BMC Microbiol. 2010 Nov 22;10:297. doi: 10.1186/1471-2180-10-297.

DOI:10.1186/1471-2180-10-297
PMID:21092214
原文链接:https://pmc.ncbi.nlm.nih.gov/articles/PMC3003266/
Abstract

BACKGROUND

Reactive oxygen species (ROS) are normally produced in respiratory and photosynthetic electron chains and their production is enhanced during desiccation/rehydration. Nitric oxide (NO) is a ubiquitous and multifaceted molecule involved in cell signaling and abiotic stress. Lichens are poikilohydrous organisms that can survive continuous cycles of desiccation and rehydration. Although the production of ROS and NO was recently demonstrated during lichen rehydration, the functions of these compounds are unknown. The aim of this study was to analyze the role of NO during rehydration of the lichen Ramalina farinacea (L.) Ach., its isolated photobiont partner Trebouxia sp. and Asterochloris erici (Ahmadjian) Skaloud et Peksa (SAG 32.85 = UTEX 911).

RESULTS

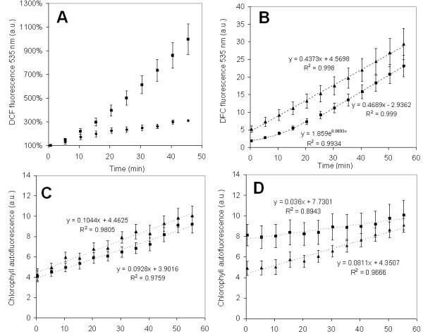
Rehydration of R. farinacea caused the release of ROS and NO evidenced by the fluorescent probes DCFH₂-DA and DAN respectively. However, a minimum in lipid peroxidation (MDA) was observed 2 h post-rehydration. The inhibition of NO in lichen thalli with c-PTIO resulted in increases in both ROS production and lipid peroxidation, which now peaked at 3 h, together with decreases in chlorophyll autofluorescence and algal photobleaching upon confocal laser incidence. Trebouxia sp. photobionts generate peaks of NO-endproducts in suspension and show high rates of photobleaching and ROS production under NO inhibition which also caused a significant decrease in photosynthetic activity of A. erici axenic cultures, probably due to the higher levels of photo-oxidative stress.

CONCLUSIONS

Mycobiont derived NO has an important role in the regulation of oxidative stress and in the photo-oxidative protection of photobionts in lichen thalli. The results point to the importance of NO in the early stages of lichen rehydration.

摘要

背景

活性氧(ROS)通常在呼吸和光合电子链中产生,其产生在干燥/复水过程中增强。一氧化氮(NO)是一种普遍存在的多效分子,参与细胞信号转导和非生物胁迫。地衣是变水生物,可以在连续的干燥和复水周期中存活。尽管最近在地衣复水过程中证明了 ROS 和 NO 的产生,但这些化合物的功能尚不清楚。本研究旨在分析 NO 在地衣 Ramalina farinacea(L.)Ach.、其分离的光养伙伴 Trebouxia sp. 和 Asterochloris erici(Ahmadjian)Skaloud et Peksa(SAG 32.85 = UTEX 911)复水过程中的作用。

结果

复水引起 R. farinacea 产生 ROS 和 NO,这可以通过荧光探针 DCFH₂-DA 和 DAN 分别证明。然而,复水 2 小时后观察到脂质过氧化(MDA)的最小值。用 c-PTIO 抑制地衣组织中的 NO 导致 ROS 产生和脂质过氧化增加,这在 3 小时时达到峰值,同时在共聚焦激光照射下,叶绿素自发荧光和藻体光漂白减少。悬浮 Trebouxia sp. 光养生物产生 NO 终产物的峰值,在 NO 抑制下显示出高的光漂白和 ROS 产生率,这也导致 A. erici 无菌培养物光合作用活性显著下降,可能是由于光氧化应激水平较高。

结论

真菌来源的 NO 在调节地衣组织中的氧化应激和保护光养生物的光氧化方面具有重要作用。结果表明 NO 在地衣复水的早期阶段很重要。

https://cdn.ncbi.nlm.nih.gov/pmc/blobs/a025/3003266/078d356c8108/1471-2180-10-297-8.jpg
https://cdn.ncbi.nlm.nih.gov/pmc/blobs/a025/3003266/f8900b6d5ef3/1471-2180-10-297-1.jpg
https://cdn.ncbi.nlm.nih.gov/pmc/blobs/a025/3003266/285afba679c8/1471-2180-10-297-2.jpg
https://cdn.ncbi.nlm.nih.gov/pmc/blobs/a025/3003266/afe014fec767/1471-2180-10-297-3.jpg
https://cdn.ncbi.nlm.nih.gov/pmc/blobs/a025/3003266/cc3d1181d96b/1471-2180-10-297-4.jpg
https://cdn.ncbi.nlm.nih.gov/pmc/blobs/a025/3003266/2edc87938f78/1471-2180-10-297-5.jpg
https://cdn.ncbi.nlm.nih.gov/pmc/blobs/a025/3003266/081c04226ad5/1471-2180-10-297-6.jpg
https://cdn.ncbi.nlm.nih.gov/pmc/blobs/a025/3003266/67d97cded15c/1471-2180-10-297-7.jpg
https://cdn.ncbi.nlm.nih.gov/pmc/blobs/a025/3003266/078d356c8108/1471-2180-10-297-8.jpg
https://cdn.ncbi.nlm.nih.gov/pmc/blobs/a025/3003266/f8900b6d5ef3/1471-2180-10-297-1.jpg
https://cdn.ncbi.nlm.nih.gov/pmc/blobs/a025/3003266/285afba679c8/1471-2180-10-297-2.jpg
https://cdn.ncbi.nlm.nih.gov/pmc/blobs/a025/3003266/afe014fec767/1471-2180-10-297-3.jpg
https://cdn.ncbi.nlm.nih.gov/pmc/blobs/a025/3003266/cc3d1181d96b/1471-2180-10-297-4.jpg
https://cdn.ncbi.nlm.nih.gov/pmc/blobs/a025/3003266/2edc87938f78/1471-2180-10-297-5.jpg
https://cdn.ncbi.nlm.nih.gov/pmc/blobs/a025/3003266/081c04226ad5/1471-2180-10-297-6.jpg
https://cdn.ncbi.nlm.nih.gov/pmc/blobs/a025/3003266/67d97cded15c/1471-2180-10-297-7.jpg
https://cdn.ncbi.nlm.nih.gov/pmc/blobs/a025/3003266/078d356c8108/1471-2180-10-297-8.jpg

相似文献

1
Fungal-associated NO is involved in the regulation of oxidative stress during rehydration in lichen symbiosis.真菌相关的 NO 参与了共生地衣在再水合过程中氧化应激的调节。
BMC Microbiol. 2010 Nov 22;10:297. doi: 10.1186/1471-2180-10-297.
2
Lichen rehydration in heavy metal-polluted environments: Pb modulates the oxidative response of both Ramalina farinacea thalli and its isolated microalgae.重金属污染环境中的地衣复水:铅调节树花地衣叶状体及其分离出的微藻的氧化反应。
Microb Ecol. 2015 Apr;69(3):698-709. doi: 10.1007/s00248-014-0524-0. Epub 2014 Nov 4.
3
Endogenous NO Is Involved in Dissimilar Responses to Rehydration and Pb(NO) in Ramalina farinacea Thalli and Its Isolated Phycobionts.内源性一氧化氮参与松萝藻及其藻胆体对再水合和 Pb(NO)的不同反应。
Microb Ecol. 2020 Apr;79(3):604-616. doi: 10.1007/s00248-019-01427-2. Epub 2019 Sep 6.
4
The organic air pollutant cumene hydroperoxide interferes with NO antioxidant role in rehydrating lichen.有机空气污染物枯烯氢过氧化物干扰了苔藓再水合过程中 NO 的抗氧化作用。
Environ Pollut. 2013 Aug;179:277-84. doi: 10.1016/j.envpol.2013.04.015. Epub 2013 May 21.
5
Inhibition of NO Biosynthetic Activities during Rehydration of Lichen Thalli Provokes Increases in Lipid Peroxidation.地衣叶状体复水过程中一氧化氮生物合成活性的抑制引发脂质过氧化增加。
Plants (Basel). 2019 Jun 26;8(7):189. doi: 10.3390/plants8070189.
6
Different strategies to achieve Pb-tolerance by the two Trebouxia algae coexisting in the lichen Ramalina farinacea.两种共存于地衣 Ramalina farinacea 中的 Trebouxia 藻类实现对 Pb 耐受性的不同策略。
J Plant Physiol. 2012 Dec 15;169(18):1797-806. doi: 10.1016/j.jplph.2012.07.005. Epub 2012 Jul 28.
7
Rehydration of the lichen Ramalina lacera results in production of reactive oxygen species and nitric oxide and a decrease in antioxidants.地衣Ramalina lacera的复水会导致活性氧和一氧化氮的产生以及抗氧化剂的减少。
Appl Environ Microbiol. 2005 Apr;71(4):2121-9. doi: 10.1128/AEM.71.4.2121-2129.2005.
8
The response of Asterochloris erici (Ahmadjian) Skaloud et Peksa to desiccation: a proteomic approach.艾氏肋突藻(Ahmadjian)对干燥的响应:一种蛋白质组学方法。
Plant Cell Environ. 2013 Jul;36(7):1363-78. doi: 10.1111/pce.12065. Epub 2013 Feb 4.
9
Arabitol provided by lichenous fungi enhances ability to dissipate excess light energy in a symbiotic green alga under desiccation.地衣真菌产生的阿拉伯糖醇可增强共生绿藻在干燥条件下消散过剩光能的能力。
Plant Cell Physiol. 2013 Aug;54(8):1316-25. doi: 10.1093/pcp/pct079. Epub 2013 Jun 3.
10
Formation of photosystem II reaction centers that work as energy sinks in lichen symbiotic Trebouxiophyceae microalgae.地衣共生绿藻门微藻中作为能量汇聚点的光系统II反应中心的形成。
Photosynth Res. 2016 Apr;128(1):15-33. doi: 10.1007/s11120-015-0196-8. Epub 2015 Oct 19.

引用本文的文献

1
The Role of Nitric Oxide in the Growth and Development of Under Anaerobic Conditions.一氧化氮在厌氧条件下生长和发育中的作用
Microorganisms. 2025 Apr 12;13(4):887. doi: 10.3390/microorganisms13040887.
2
Multiple Ways of Nitric Oxide Production in Plants and Its Functional Activity under Abiotic Stress Conditions.植物中一氧化氮的多种产生方式及其在非生物胁迫条件下的功能活性。
Int J Mol Sci. 2023 Jul 19;24(14):11637. doi: 10.3390/ijms241411637.
3
Identification and expression of functionally conserved circadian clock genes in lichen-forming fungi.

本文引用的文献

1
Biochemical traits of lichens differing in relative desiccation tolerance.相对耐旱性不同的地衣的生化特性。
New Phytol. 2003 Oct;160(1):167-176. doi: 10.1046/j.1469-8137.2003.00852.x. Epub 2003 Jul 28.
2
Glutathione status correlates with different degrees of desiccation tolerance in three lichens.谷胱甘肽状态与三种地衣不同程度的耐旱性相关。
New Phytol. 2002 May;154(2):451-460. doi: 10.1046/j.1469-8137.2002.00376.x.
3
A modulating role for antioxidants in desiccation tolerance.抗氧化剂在干燥耐受性中的调节作用。
鉴定和表达形成地衣的真菌中的功能保守生物钟基因。
Sci Rep. 2022 Sep 23;12(1):15884. doi: 10.1038/s41598-022-19646-y.
4
Trebouxia lynnae sp. nov. (Former Trebouxia sp. TR9): Biology and Biogeography of an Epitome Lichen Symbiotic Microalga.新种林氏橘色藻(原橘色藻属TR9种):一种典型地衣共生微藻的生物学与生物地理学
Biology (Basel). 2022 Aug 10;11(8):1196. doi: 10.3390/biology11081196.
5
Advances in Understanding of Desiccation Tolerance of Lichens and Lichen-Forming Algae.地衣及地衣形成藻类耐旱性认识的进展
Plants (Basel). 2021 Apr 20;10(4):807. doi: 10.3390/plants10040807.
6
Endogenous NO Is Involved in Dissimilar Responses to Rehydration and Pb(NO) in Ramalina farinacea Thalli and Its Isolated Phycobionts.内源性一氧化氮参与松萝藻及其藻胆体对再水合和 Pb(NO)的不同反应。
Microb Ecol. 2020 Apr;79(3):604-616. doi: 10.1007/s00248-019-01427-2. Epub 2019 Sep 6.
7
Inhibition of NO Biosynthetic Activities during Rehydration of Lichen Thalli Provokes Increases in Lipid Peroxidation.地衣叶状体复水过程中一氧化氮生物合成活性的抑制引发脂质过氧化增加。
Plants (Basel). 2019 Jun 26;8(7):189. doi: 10.3390/plants8070189.
8
Plasticity of a holobiont: desiccation induces fasting-like metabolism within the lichen microbiota.整体生物可塑性:干燥诱导地衣微生物群进入类似禁食的代谢状态。
ISME J. 2019 Feb;13(2):547-556. doi: 10.1038/s41396-018-0286-7. Epub 2018 Oct 11.
9
Cultivar and Metal-Specific Effects of Endophytic Bacteria in Helianthus tuberosus Exposed to Cd and Zn.内生细菌在 Cd 和 Zn 胁迫下对菊芋生长和金属特异性的影响。
Int J Mol Sci. 2017 Sep 21;18(10):2026. doi: 10.3390/ijms18102026.
10
Desiccation tolerance and lichenization: a case study with the aeroterrestrial microalga Trebouxia sp. (Chlorophyta).耐干燥性与地衣化:以气生微藻Trebouxia sp.(绿藻门)为例的研究
Planta. 2015 Aug;242(2):493-505. doi: 10.1007/s00425-015-2319-z. Epub 2015 May 22.
Integr Comp Biol. 2005 Nov;45(5):734-40. doi: 10.1093/icb/45.5.734.
4
The early role of nitric oxide in evolution.一氧化氮在进化早期的作用。
Trends Ecol Evol. 1995 Dec;10(12):496-9. doi: 10.1016/s0169-5347(00)89206-x.
5
Dehydration rate and time of desiccation affect recovery of the lichen alga [corrected] Trebouxia erici: alternative and classical protective mechanisms.脱水率和干燥时间影响地衣藻类[更正] Trebouxia erici 的复苏:替代和经典的保护机制。
Planta. 2009 Dec;231(1):195-208. doi: 10.1007/s00425-009-1019-y. Epub 2009 Sep 23.
6
Nitric oxide, stomatal closure, and abiotic stress.一氧化氮、气孔关闭与非生物胁迫。
J Exp Bot. 2008;59(2):165-76. doi: 10.1093/jxb/erm293.
7
Nitric oxide-responsive genes and promoters in Arabidopsis thaliana: a bioinformatics approach.拟南芥中一氧化氮响应基因和启动子:一种生物信息学方法
J Exp Bot. 2008;59(2):177-86. doi: 10.1093/jxb/erm345. Epub 2008 Feb 13.
8
In vivo target sites of nitric oxide in photosynthetic electron transport as studied by chlorophyll fluorescence in pea leaves.通过豌豆叶片叶绿素荧光研究光合电子传递中一氧化氮的体内靶位点。
Plant Physiol. 2008 Apr;146(4):1920-7. doi: 10.1104/pp.107.110205. Epub 2008 Feb 1.
9
Nitric oxide signalling in plants: interplays with Ca2+ and protein kinases.植物中的一氧化氮信号传导:与钙离子和蛋白激酶的相互作用
J Exp Bot. 2008;59(2):155-63. doi: 10.1093/jxb/erm197. Epub 2008 Jan 22.
10
Redox control and oxidative stress in yeast cells.酵母细胞中的氧化还原控制与氧化应激
Biochim Biophys Acta. 2008 Nov;1780(11):1217-35. doi: 10.1016/j.bbagen.2007.12.004. Epub 2007 Dec 15.