Bioenergy Research Unit, National Center for Agricultural Utilization Research, USDA-ARS, Peoria, IL USA.
BMC Genomics. 2010 Nov 24;11:660. doi: 10.1186/1471-2164-11-660.
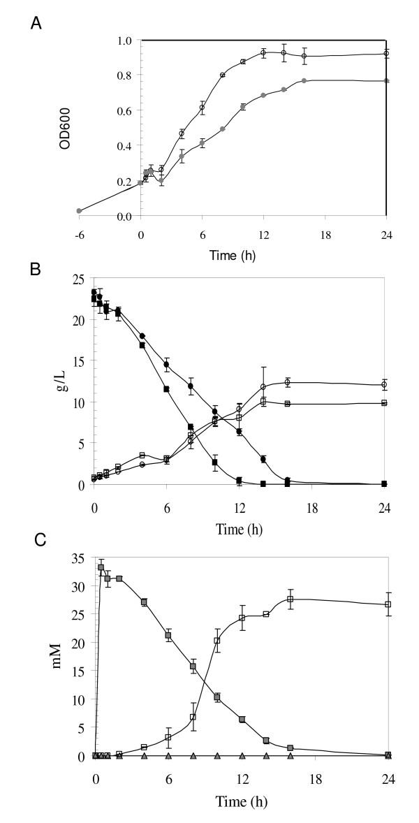
The yeast Saccharomyces cerevisiae is able to adapt and in situ detoxify lignocellulose derived inhibitors such as furfural and HMF. The length of lag phase for cell growth in response to the inhibitor challenge has been used to measure tolerance of strain performance. Mechanisms of yeast tolerance at the genome level remain unknown. Using systems biology approach, this study investigated comparative transcriptome profiling, metabolic profiling, cell growth response, and gene regulatory interactions of yeast strains and selective gene deletion mutations in response to HMF challenges during the lag phase of growth.
We identified 365 candidate genes and found at least 3 significant components involving some of these genes that enable yeast adaptation and tolerance to HMF in yeast. First, functional enzyme coding genes such as ARI1, ADH6, ADH7, and OYE3, as well as gene interactions involved in the biotransformation and inhibitor detoxification were the direct driving force to reduce HMF damages in cells. Expressions of these genes were regulated by YAP1 and its closely related regulons. Second, a large number of PDR genes, mainly regulated by PDR1 and PDR3, were induced during the lag phase and the PDR gene family-centered functions, including specific and multiple functions involving cellular transport such as TPO1, TPO4, RSB1, PDR5, PDR15, YOR1, and SNQ2, promoted cellular adaptation and survival in order to cope with the inhibitor stress. Third, expressed genes involving degradation of damaged proteins and protein modifications such as SHP1 and SSA4, regulated by RPN4, HSF1, and other co-regulators, were necessary for yeast cells to survive and adapt the HMF stress. A deletion mutation strain Δrpn4 was unable to recover the growth in the presence of HMF.
Complex gene interactions and regulatory networks as well as co-regulations exist in yeast adaptation and tolerance to the lignocellulose derived inhibitor HMF. Both induced and repressed genes involving diversified functional categories are accountable for adaptation and energy rebalancing in yeast to survive and adapt the HMF stress during the lag phase of growth. Transcription factor genes YAP1, PDR1, PDR3, RPN4, and HSF1 appeared to play key regulatory rules for global adaptation in the yeast S. cerevisiae.
酵母酿酒酵母能够适应并原位解毒木质纤维素衍生的抑制剂,如糠醛和 HMF。细胞生长对抑制剂挑战的滞后期长度已被用于衡量菌株性能的耐受性。酵母在基因组水平上的耐受机制尚不清楚。本研究采用系统生物学方法,研究了在生长滞后期,酵母菌株和选择性基因缺失突变对 HMF 挑战的比较转录组谱、代谢谱、细胞生长反应以及基因调控相互作用。
我们鉴定了 365 个候选基因,发现至少有 3 个重要组成部分涉及其中一些基因,这些基因使酵母能够适应和耐受 HMF。首先,功能酶编码基因,如 ARI1、ADH6、ADH7 和 OYE3,以及参与生物转化和抑制剂解毒的基因相互作用,是减少细胞中 HMF 损伤的直接驱动力。这些基因的表达受 YAP1 及其密切相关的调控子调控。其次,大量的 PDR 基因,主要受 PDR1 和 PDR3 调控,在滞后期被诱导,以 PDR 基因为中心的功能,包括特定和多种涉及细胞运输的功能,如 TPO1、TPO4、RSB1、PDR5、PDR15、YOR1 和 SNQ2,促进了细胞的适应和存活,以应对抑制剂的应激。第三,与受损蛋白质降解和蛋白质修饰有关的表达基因,如 SHP1 和 SSA4,受 RPN4、HSF1 和其他共调节因子调控,是酵母细胞存活和适应 HMF 应激所必需的。一株缺失突变株 Δrpn4 无法在存在 HMF 的情况下恢复生长。
酵母对木质纤维素衍生抑制剂 HMF 的适应和耐受存在复杂的基因相互作用和调控网络以及协同调控。涉及多种功能类别的诱导和抑制基因,是酵母在生长滞后期适应和能量再平衡,以存活和适应 HMF 应激的原因。转录因子基因 YAP1、PDR1、PDR3、RPN4 和 HSF1 似乎在酿酒酵母的全局适应中发挥关键的调控作用。