Suppr超能文献

钙离子循环与线粒体通透性转换孔相互作用促进再灌注诱导的心肌细胞损伤。

Interplay between Ca2+ cycling and mitochondrial permeability transition pores promotes reperfusion-induced injury of cardiac myocytes.

机构信息

Institute of Physiology, Justus Liebig University, Giessen, Germany.

出版信息

J Cell Mol Med. 2011 Nov;15(11):2478-85. doi: 10.1111/j.1582-4934.2010.01249.x.

Abstract

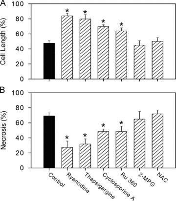
Uncontrolled release of Ca(2+) from the sarcoplasmic reticulum (SR) contributes to the reperfusion-induced cardiomyocyte injury, e.g. hypercontracture and necrosis. To find out the underlying cellular mechanisms of this phenomenon, we investigated whether the opening of mitochondrial permeability transition pores (MPTP), resulting in ATP depletion and reactive oxygen species (ROS) formation, may be involved. For this purpose, isolated cardiac myocytes from adult rats were subjected to simulated ischemia and reperfusion. MPTP opening was detected by calcein release and by monitoring the ΔΨ(m). Fura-2 was used to monitor cytosolic Ca(2+) or mitochondrial calcium Ca(2+), after quenching the cytosolic compartment with MnCl(2). Mitochondrial ROS ROS production was detected with MitoSOX Red and mag-fura-2 was used to monitor Mg(2+) concentration, which reflects changes in cellular ATP. Necrosis was determined by propidium iodide staining. Reperfusion led to a calcein release from mitochondria, ΔΨ(m) collapse and disturbance of ATP recovery. Simultaneously, Ca(2+) oscillations occurred, Ca(2+) and ROS increased, cells developed hypercontracture and underwent necrosis. Inhibition of the SR-driven Ca(2+) cycling with thapsigargine or ryanodine prevented mitochondrial dysfunction, ROS formation and MPTP opening. Suppression of the mitochondrial Ca(2+) uptake (Ru360) or MPTP (cyclosporine A) significantly attenuated Ca(2+) cycling, hypercontracture and necrosis. ROS scavengers (2-mercaptopropionyl glycine or N-acetylcysteine) had no effect on these parameters, but reduced ROS. In conclusion, MPTP opening occurs early during reperfusion and is due to the Ca(2+) oscillations originating primarily from the SR and supported by MPTP. The interplay between Ca(2+) cycling and MPTP promotes the reperfusion-induced cardiomyocyte hypercontracture and necrosis. Mitochondrial ROS formation is a result rather than a cause of MPTP opening.

摘要

肌浆网(SR)中钙离子的失控释放导致再灌注诱导的心肌细胞损伤,例如过度收缩和坏死。为了探究这一现象的潜在细胞机制,我们研究了线粒体通透性转换孔(MPTP)的开放是否涉及其中,这会导致 ATP 耗竭和活性氧(ROS)的形成。为此,我们从成年大鼠的心脏中分离出心肌细胞,使其经历模拟缺血和再灌注。通过钙黄绿素的释放和监测 ΔΨ(m)来检测 MPTP 的开放。用 Fura-2 监测胞质 [Ca(2+)](i)或线粒体钙 [Ca(2+)](m),在胞质腔用 MnCl2 淬灭后。用 MitoSOX Red 检测线粒体 ROS ROS的产生,用 mag-fura-2 监测镁(Mg2+)浓度,其反映了细胞内 ATP 的变化。用碘化丙啶染色来检测坏死。再灌注导致钙黄绿素从线粒体中释放,ΔΨ(m)崩溃,ATP 恢复受到干扰。同时,发生 Ca2+ 震荡,[Ca(2+)](m)和 ROS增加,细胞发生过度收缩并发生坏死。用 thapsigargin 或 ryanodine 抑制 SR 驱动的 Ca2+循环可防止线粒体功能障碍、ROS 形成和 MPTP 开放。抑制线粒体 Ca2+摄取(Ru360)或 MPTP(环孢菌素 A)可显著减轻 Ca2+循环、过度收缩和坏死。ROS 清除剂(2-巯基丙酰甘氨酸或 N-乙酰半胱氨酸)对这些参数没有影响,但可降低 ROS。综上所述,MPTP 在再灌注早期就会开放,这是由于主要源自 SR 的 Ca2+震荡所致,并得到 MPTP 的支持。Ca2+ 循环和 MPTP 的相互作用促进了再灌注诱导的心肌细胞过度收缩和坏死。线粒体 ROS 的形成是 MPTP 开放的结果,而不是原因。

https://cdn.ncbi.nlm.nih.gov/pmc/blobs/78dc/3822958/a990c202aa1d/jcmm0015-2478-f1.jpg

文献AI研究员

20分钟写一篇综述,助力文献阅读效率提升50倍。

立即体验

用中文搜PubMed

大模型驱动的PubMed中文搜索引擎

马上搜索

文档翻译

学术文献翻译模型,支持多种主流文档格式。

立即体验