Department of Bioscience and Bioinformatics, Kyushu Institute of Technology, Iizuka, Fukuoka, Japan.
Microb Cell Fact. 2011 Jan 27;10:3. doi: 10.1186/1475-2859-10-3.
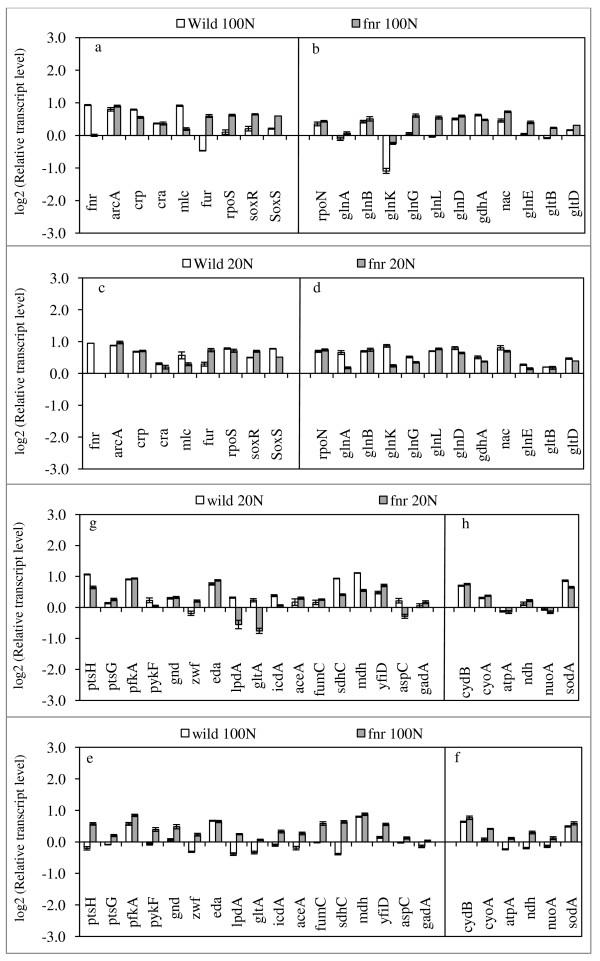
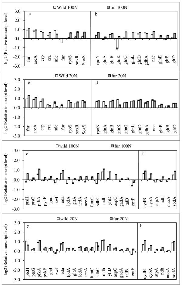
It is important to understand the cellular responses emanating from environmental perturbations to redesign the networks for practical applications. In particular, the carbon (C) metabolism, nitrogen (N) assimilation, and energy generation are by far important, where those are interconnected and integrated to maintain cellular integrity. In our previous study, we investigated the effect of C/N ratio on the metabolic regulation of gdhA, glnL, glt B,D mutants as well as wild type Escherichia coli (Kumar and Shimizu, MCF, 1-17, 9:8,2010), where it was shown that the transcript levels of cyoA and cydB which encode the terminal oxidases, fnr and fur which encode global regulators were significantly up-regulated under N-limited condition as compared to C-limited condition. In the present study, therefore, the effects of such single-gene knockout on the metabolic regulation were investigated to clarify the roles of those genes in the aerobic continuous culture at the dilution rate of 0.2 h(-1).
The specific glucose consumption rates and the specific CO2 production rates of cyoA, cydB, fnr, and fur mutants were all increased as compared to the wild type under both C-limited and N-limited conditions. The former phenomenon was consistent with the up-regulations of the transcript levels of ptsG and ptsH, which are consistent with down-regulations of crp and mlc genes. Moreover, the increase in the specific glucose consumption rate was also caused by up-regulations of the transcript levels of pfkA, pykF and possibly zwf, where those are consistent with the down regulations of cra, crp and mlc genes. Moreover, the transcript levels of rpoN together with glnK, glnB, glnE were up-regulated, and thus the transcript levels of glnA,L,G, and gltB,D as well as nac were up-regulated, while gdhA was down-regulated. This implies the interconnection between cAMP-Crp and PII-Ntr systems. Moreover, cyoA, cydB, fnr and fur gene deletions up-regulated the transcript levels of respiration (nuoA, ndh, cyoA, cydB, and atpA) and the oxidative stress related genes such as soxR, S and sodA, where this was further enhanced under N-limitation. In the cases of cyoA and cydB mutants, arcA, fnr, fur, cydB (for cyoA mutant), and cyoA (for cydB mutant) genes were up-regulated, which may be due to incomplete oxidation of quinol. It was also shown that fur gene transcript level was up-regulated in accordance with the activation of respiratory chain genes. It was shown that the deletion of fur gene activated the enterobactin pathway.
The present result demonstrated how the fermentation characteristics could be explained by the transcript levels of metabolic pathway genes as well as global regulators in relation to the knockout of such single genes as cyoA, cydB, fnr, and fur, and clarified the complex gene network regulation in relation to glycolysis, TCA cycle, respiration, and N-regulated pathways. The present result is quite important in understanding the metabolic regulation for metabolic engineering. Moreover, the present result may be useful in improving the specific glucose consumption rate and activation of the TCA cycle by modulating the respiratory chain genes and the related global regulators. The result obtained under N-limited condition may be useful for the heterologous protein production under N-limitation.
了解环境扰动产生的细胞反应对于重新设计实用网络非常重要。特别是,碳(C)代谢、氮(N)同化和能量生成至关重要,这些都是相互关联和整合的,以维持细胞的完整性。在我们之前的研究中,我们研究了 C/N 比对 gdhA、glnL、gltB、D 突变体以及野生型大肠杆菌(Kumar 和 Shimizu,MCF,1-17,9:8,2010)代谢调控的影响,结果表明,与 C 限制条件相比,在 N 限制条件下,编码末端氧化酶的 cyoA 和 cydB 的转录水平以及编码全局调节剂的 fnr 和 fur 的转录水平显著上调。因此,在本研究中,研究了这些单基因敲除对代谢调控的影响,以阐明这些基因在有氧连续培养中的作用,稀释率为 0.2 h(-1)。
与野生型相比,cyoA、cydB、fnr 和 fur 突变体的葡萄糖比消耗率和 CO2 比产生率均有所提高,在 C 限制和 N 限制条件下均如此。这种现象与 ptsG 和 ptsH 的转录水平上调一致,这与 crp 和 mlc 基因的下调一致。此外,葡萄糖比消耗率的增加还归因于 pfkA、pykF 和可能的 zwf 转录水平的上调,这些与 cra、crp 和 mlc 基因的下调一致。此外,rpoN 与 glnK、glnB、glnE 的转录水平上调,因此 glnA、L、G 和 gltB、D 以及 nac 的转录水平上调,而 gdhA 下调。这暗示了 cAMP-Crp 和 PII-Ntr 系统之间的相互联系。此外,cyoA、cydB、fnr 和 fur 基因缺失上调了呼吸(nuoA、ndh、cyoA、cydB 和 atpA)和与氧化应激相关的基因(soxR、S 和 sodA)的转录水平,在 N 限制下,这种情况进一步增强。在 cyoA 和 cydB 突变体的情况下,arcA、fnr、fur、cydB(cyoA 突变体)和 cyoA(cydB 突变体)基因上调,这可能是由于喹啉不完全氧化。还表明 fur 基因的转录水平上调与呼吸链基因的激活一致。结果表明,fur 基因的缺失激活了 enterobactin 途径。
本研究结果表明,如何通过代谢途径基因以及与 cyoA、cydB、fnr 和 fur 等单个基因的敲除相关的全局调节剂的转录水平来解释发酵特性,并阐明与糖酵解、TCA 循环、呼吸和 N 调节途径相关的复杂基因网络调控。本研究结果对于理解代谢工程中的代谢调控非常重要。此外,通过调节呼吸链基因和相关全局调节剂,本研究结果可能有助于提高特定葡萄糖消耗率和 TCA 循环的激活。在 N 限制条件下获得的结果可能对 N 限制下异源蛋白的生产有用。