Institute for Genetics, Department of Cell Genetics, University of Cologne, Zülpicher Strasse 47a, 50674 Cologne, Germany.
BMC Biol. 2011 Jan 28;9:7. doi: 10.1186/1741-7007-9-7.
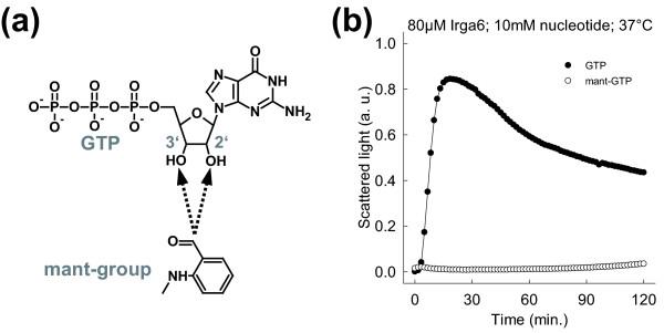
The interferon-inducible immunity-related GTPases (IRG proteins/p47 GTPases) are a distinctive family of GTPases that function as powerful cell-autonomous resistance factors. The IRG protein, Irga6 (IIGP1), participates in the disruption of the vacuolar membrane surrounding the intracellular parasite, Toxoplasma gondii, through which it communicates with its cellular hosts. Some aspects of the protein's behaviour have suggested a dynamin-like molecular mode of action, in that the energy released by GTP hydrolysis is transduced into mechanical work that results in deformation and ultimately rupture of the vacuolar membrane.
Irga6 forms GTP-dependent oligomers in vitro and thereby activates hydrolysis of the GTP substrate. In this study we define the catalytic G-domain interface by mutagenesis and present a structural model, of how GTP hydrolysis is activated in Irga6 complexes, based on the substrate-twinning reaction mechanism of the signal recognition particle (SRP) and its receptor (SRα). In conformity with this model, we show that the bound nucleotide is part of the catalytic interface and that the 3'hydroxyl of the GTP ribose bound to each subunit is essential for trans-activation of hydrolysis of the GTP bound to the other subunit. We show that both positive and negative regulatory interactions between IRG proteins occur via the catalytic interface. Furthermore, mutations that disrupt the catalytic interface also prevent Irga6 from accumulating on the parasitophorous vacuole membrane of T. gondii, showing that GTP-dependent Irga6 activation is an essential component of the resistance mechanism.
The catalytic interface of Irga6 defined in the present experiments can probably be used as a paradigm for the nucleotide-dependent interactions of all members of the large family of IRG GTPases, both activating and regulatory. Understanding the activation mechanism of Irga6 will help to explain the mechanism by which IRG proteins exercise their resistance function. We find no support from sequence or G-domain structure for the idea that IRG proteins and the SRP GTPases have a common phylogenetic origin. It therefore seems probable, if surprising, that the substrate-assisted catalytic mechanism has been independently evolved in the two protein families.
干扰素诱导的免疫相关 GTP 酶(IRG 蛋白/p47 GTP 酶)是一类独特的 GTP 酶家族,作为强大的细胞自主抗性因子发挥作用。IRG 蛋白 Irga6(IIGP1)参与破坏围绕细胞内寄生虫弓形虫的液泡膜,通过该液泡膜与细胞宿主进行交流。该蛋白的某些行为特征表明其具有类似于动力蛋白的分子作用模式,因为 GTP 水解释放的能量被转化为机械功,导致液泡膜变形并最终破裂。
Irga6 在体外形成 GTP 依赖性寡聚体,从而激活 GTP 底物的水解。在这项研究中,我们通过突变定义了催化 G 结构域界面,并提出了一个结构模型,说明 Irga6 复合物中 GTP 水解的激活机制,该模型基于信号识别颗粒 (SRP) 及其受体 (SRα) 的底物孪生反应机制。与该模型一致,我们表明结合的核苷酸是催化界面的一部分,并且与每个亚基结合的 GTP 核糖 3'羟基对于激活与另一个亚基结合的 GTP 的水解至关重要。我们表明,IRG 蛋白之间的正、负调节相互作用均通过催化界面发生。此外,破坏催化界面的突变也阻止 Irga6 积累在弓形虫的寄生性空泡膜上,表明 GTP 依赖性 Irga6 激活是抗性机制的一个重要组成部分。
本实验中定义的 Irga6 催化界面可能可作为大型 IRG GTP 酶家族所有成员核苷酸依赖性相互作用的范例,包括激活和调节作用。了解 Irga6 的激活机制将有助于解释 IRG 蛋白发挥其抗性功能的机制。我们没有从序列或 G 结构域结构中找到支持 IRG 蛋白和 SRP GTP 酶具有共同进化起源的观点。因此,尽管令人惊讶,但似乎很有可能,底物辅助的催化机制在这两个蛋白家族中是独立进化的。