Department of Biochemistry, University of Kashmir, Srinagar, 190006, India.
BMC Complement Altern Med. 2011 Feb 28;11:17. doi: 10.1186/1472-6882-11-17.
The present study was conducted to evaluate the in vitro and in vivo antioxidant properties of aqueous extract of Podophyllum hexandrum. The antioxidant potential of the plant extract under in vitro situations was evaluated by using two separate methods, inhibition of superoxide radical and hydrogen peroxide radical. Carbon tetrachloride (CCl4) is a well known toxicant and exposure to this chemical is known to induce oxidative stress and causes tissue damage by the formation of free radicals.
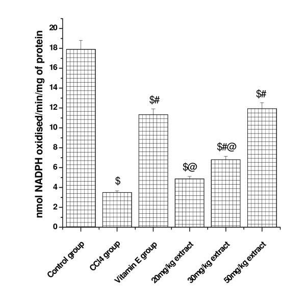
36 albino rats were divided into six groups of 6 animals each, all animals were allowed food and water ad libitum. Group I (control) was given olive oil, while the rest groups were injected intraperitoneally with a single dose of CCl4 (1 ml/kg) as a 50% (v/v) solution in olive oil. Group II received CCl4 only. Group III animals received vitamin E at a concentration of 50 mg/kg body weight and animals of groups IV, V and VI were given extract of Podophyllum hexandrum at concentration dose of 20, 30 and 50 mg/kg body weight. Antioxidant status in both kidney and lung tissues were estimated by determining the activities of antioxidative enzymes, glutathione reductase (GR), glutathione peroxidase (GPX), glutathione-S-transferase (GST) and superoxide dismutase (SOD); as well as by determining the levels of reduced glutathione (GSH) and thiobarbituric acid reactive substances (TBARS). In addition, superoxide and hydrogen peroxide radical scavenging activity of the extract was also determined.
Results showed that the extract possessed strong superoxide and hydrogen peroxide radical scavenging activity comparable to that of known antioxidant butylated hydroxy toluene (BHT). Our results also showed that CCl4 caused a marked increase in TBARS levels whereas GSH, SOD, GR, GPX and GST levels were decreased in kidney and lung tissue homogenates of CCl4 treated rats. Aqueous extract of Podophyllum hexandrum successfully prevented the alterations of these effects in the experimental animals.
Our study demonstrated that the aqueous extract of Podophyllum hexandrum could protect the kidney and lung tissue against CCl4 induced oxidative stress probably by increasing antioxidant defense activities.
本研究旨在评估尼泊尔鬼臼水提物的体外和体内抗氧化特性。采用两种不同的方法,即超氧自由基抑制法和过氧化氢自由基抑制法,评估植物提取物的体外抗氧化潜能。四氯化碳(CCl4)是一种众所周知的有毒物质,接触这种化学物质会导致氧化应激,并通过自由基的形成造成组织损伤。
将 36 只白化大鼠分为 6 组,每组 6 只,所有动物均自由摄取食物和水。第 I 组(对照组)给予橄榄油,其余各组给予腹腔内注射 1ml/kg 的 CCl4(50%(v/v)橄榄油溶液)。第 II 组仅接受 CCl4。第 III 组动物给予维生素 E,浓度为 50mg/kg 体重,第 IV、V 和 VI 组动物给予尼泊尔鬼臼提取物,浓度剂量分别为 20、30 和 50mg/kg 体重。通过测定抗氧化酶谷胱甘肽还原酶(GR)、谷胱甘肽过氧化物酶(GPX)、谷胱甘肽-S-转移酶(GST)和超氧化物歧化酶(SOD)的活性,以及还原型谷胱甘肽(GSH)和硫代巴比妥酸反应物质(TBARS)的水平,来评估肾脏和肺组织中的抗氧化状态。此外,还测定了提取物对超氧自由基和过氧化氢自由基的清除活性。
结果表明,该提取物具有较强的超氧自由基和过氧化氢自由基清除活性,与已知抗氧化剂丁基羟基甲苯(BHT)相当。我们的结果还表明,CCl4 导致 TBARS 水平显著升高,而 GSH、SOD、GR、GPX 和 GST 水平在 CCl4 处理大鼠的肾和肺组织匀浆中降低。尼泊尔鬼臼的水提物成功地防止了这些作用在实验动物中的改变。
本研究表明,尼泊尔鬼臼的水提物可以通过增加抗氧化防御活性,保护肾脏和肺组织免受 CCl4 诱导的氧化应激。