Suppr超能文献

用于测定药物制剂中依巴斯汀的经验证的稳定性指示荧光分光光度法。

Validated stability-indicating spectrofluorimetric methods for the determination of ebastine in pharmaceutical preparations.

作者信息

Ibrahim Fawzia, El-Din Mohie Khaled Sharaf, Eid Manal Ibrahim, Wahba Mary Elias Kamel

机构信息

Department of Analytical Chemistry, Faculty of Pharmacy, Mansoura University, Mansoura, 35516, Egypt.

出版信息

Chem Cent J. 2011 Mar 8;5(1):11. doi: 10.1186/1752-153X-5-11.

Abstract

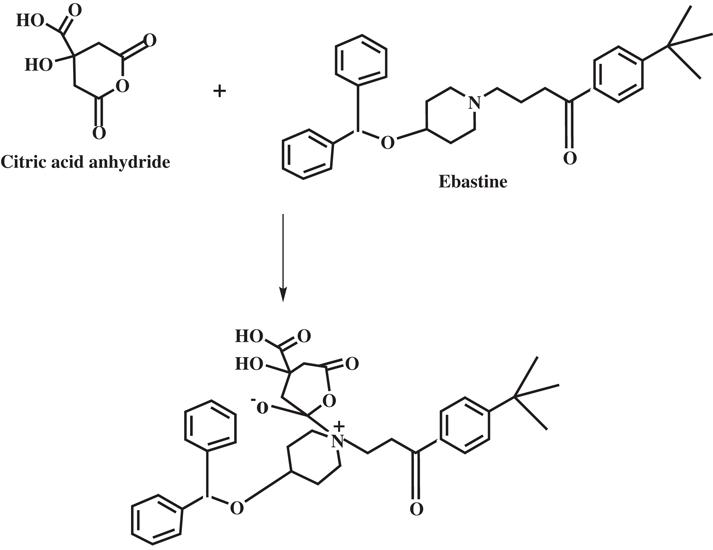
Two sensitive, selective, economic, and validated spectrofluorimetric methods were developed for the determination of ebastine (EBS) in pharmaceutical preparations depending on reaction with its tertiary amino group. Method I involves condensation of the drug with mixed anhydrides (citric and acetic anhydrides) producing a product with intense fluorescence, which was measured at 496 nm after excitation at 388 nm.Method (IIA) describes quantitative fluorescence quenching of eosin upon addition of the studied drug where the decrease in the fluorescence intensity was directly proportional to the concentration of ebastine; the fluorescence quenching was measured at 553 nm after excitation at 457 nm. This method was extended to (Method IIB) to apply first and second derivative synchronous spectrofluorimetric method (FDSFS & SDSFS) for the simultaneous analysis of EBS in presence of its alkaline, acidic, and UV degradation products.The proposed methods were successfully applied for the determination of the studied compound in its dosage forms. The results obtained were in good agreement with those obtained by a comparison method. Both methods were utilized to investigate the kinetics of the degradation of the drug.

摘要

基于依巴斯汀(EBS)的叔氨基反应,开发了两种灵敏、选择性好、经济且经过验证的荧光分光光度法,用于测定药物制剂中的依巴斯汀。方法I是使药物与混合酸酐(柠檬酸酐和乙酸酐)缩合,生成具有强烈荧光的产物,在388nm激发后于496nm处测量荧光。方法(IIA)描述了在所研究药物加入后曙红的定量荧光猝灭,其中荧光强度的降低与依巴斯汀的浓度成正比;在457nm激发后于553nm处测量荧光猝灭。该方法扩展为(方法IIB),应用一阶和二阶导数同步荧光分光光度法(FDSFS和SDSFS)同时分析依巴斯汀在其碱性、酸性和紫外线降解产物存在下的情况。所提出的方法成功应用于测定其剂型中的所研究化合物。获得的结果与通过比较法获得的结果高度一致。两种方法都用于研究药物降解的动力学。

https://cdn.ncbi.nlm.nih.gov/pmc/blobs/03c2/3061886/00b2a3d28246/1752-153X-5-11-1.jpg

文献检索

告别复杂PubMed语法,用中文像聊天一样搜索,搜遍4000万医学文献。AI智能推荐,让科研检索更轻松。

立即免费搜索

文件翻译

保留排版,准确专业,支持PDF/Word/PPT等文件格式,支持 12+语言互译。

免费翻译文档

深度研究

AI帮你快速写综述,25分钟生成高质量综述,智能提取关键信息,辅助科研写作。

立即免费体验