Suppr超能文献

估算和比较慢性疾病的发病率和患病率:结合全科医生注册数据不确定性的作用。

Estimating and comparing incidence and prevalence of chronic diseases by combining GP registry data: the role of uncertainty.

机构信息

Expertise Centre for Methodology and Information Services, National Institute for Public Health and the Environment Antonie van Leeuwenhoeklaan, The Netherlands.

出版信息

BMC Public Health. 2011 Mar 15;11:163. doi: 10.1186/1471-2458-11-163.

Abstract

BACKGROUND

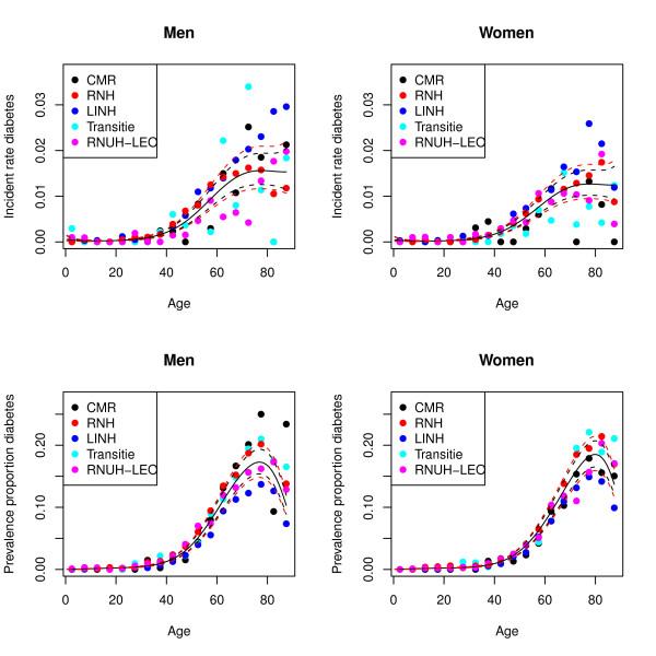
Estimates of disease incidence and prevalence are core indicators of public health. The manner in which these indicators stand out against each other provide guidance as to which diseases are most common and what health problems deserve priority. Our aim was to investigate how routinely collected data from different general practitioner registration networks (GPRNs) can be combined to estimate incidence and prevalence of chronic diseases and to explore the role of uncertainty when comparing diseases.

METHODS

Incidence and prevalence counts, specified by gender and age, of 18 chronic diseases from 5 GPRNs in the Netherlands from the year 2007 were used as input. Generalized linear mixed models were fitted with the GPRN identifier acting as random intercept, and age and gender as explanatory variables. Using predictions of the regression models we estimated the incidence and prevalence for 18 chronic diseases and calculated a stochastic ranking of diseases in terms of incidence and prevalence per 1,000.

RESULTS

Incidence was highest for coronary heart disease and prevalence was highest for diabetes if we looked at the point estimates. The between GPRN variance in general was higher for incidence than for prevalence. Since uncertainty intervals were wide for some diseases and overlapped, the ranking of diseases was subject to uncertainty. For incidence shifts in rank of up to twelve positions were observed. For prevalence, most diseases shifted maximally three or four places in rank.

CONCLUSION

Estimates of incidence and prevalence can be obtained by combining data from GPRNs. Uncertainty in the estimates of absolute figures may lead to different rankings of diseases and, hence, should be taken into consideration when comparing disease incidences and prevalences.

摘要

背景

疾病发病率和患病率的估计是公共卫生的核心指标。这些指标相互之间的差异为哪些疾病最为常见以及哪些健康问题应优先考虑提供了指导。我们的目的是研究如何将来自不同全科医生注册网络(GPRN)的常规收集数据结合起来,以估计慢性病的发病率和患病率,并探讨在比较疾病时不确定性的作用。

方法

我们使用了 2007 年荷兰 5 个 GPRN 中 18 种慢性疾病的发病率和患病率数据(按性别和年龄细分)作为输入。使用 GPRN 标识符作为随机截距,年龄和性别作为解释变量,拟合广义线性混合模型。使用回归模型的预测,我们估计了 18 种慢性疾病的发病率和患病率,并计算了每种疾病每 1000 人发病率和患病率的随机排名。

结果

如果我们只看点估计,冠心病的发病率最高,糖尿病的患病率最高。一般来说,GPRN 之间的发病率方差高于患病率方差。由于一些疾病的不确定性区间较宽且重叠,因此疾病的排名存在不确定性。发病率的排名变化最大可达 12 位。对于患病率,大多数疾病的排名变化最大为 3 或 4 位。

结论

可以通过合并 GPRN 数据来获得发病率和患病率的估计值。绝对数值估计的不确定性可能导致疾病排名的不同,因此在比较疾病发病率和患病率时应考虑到这一点。

https://cdn.ncbi.nlm.nih.gov/pmc/blobs/d314/3064641/db23384eb54b/1471-2458-11-163-1.jpg

文献AI研究员

20分钟写一篇综述,助力文献阅读效率提升50倍。

立即体验

用中文搜PubMed

大模型驱动的PubMed中文搜索引擎

马上搜索

文档翻译

学术文献翻译模型,支持多种主流文档格式。

立即体验