• 文献检索
  • 文档翻译
  • 深度研究
  • 学术资讯
  • Suppr Zotero 插件Zotero 插件
  • 邀请有礼
  • 套餐&价格
  • 历史记录
应用&插件
Suppr Zotero 插件Zotero 插件浏览器插件Mac 客户端Windows 客户端微信小程序
定价
高级版会员购买积分包购买API积分包
服务
文献检索文档翻译深度研究API 文档MCP 服务
关于我们
关于 Suppr公司介绍联系我们用户协议隐私条款
关注我们

Suppr 超能文献

核心技术专利:CN118964589B侵权必究
粤ICP备2023148730 号-1Suppr @ 2026

文献检索

告别复杂PubMed语法,用中文像聊天一样搜索,搜遍4000万医学文献。AI智能推荐,让科研检索更轻松。

立即免费搜索

文件翻译

保留排版,准确专业,支持PDF/Word/PPT等文件格式,支持 12+语言互译。

免费翻译文档

深度研究

AI帮你快速写综述,25分钟生成高质量综述,智能提取关键信息,辅助科研写作。

立即免费体验

糖尿病、心肌梗死、中风和癌症的同时发生:使用健康调查数据定量分析荷兰人群的年龄模式。

Co-occurrence of diabetes, myocardial infarction, stroke, and cancer: quantifying age patterns in the Dutch population using health survey data.

机构信息

Expertise Centre for Methodology and Information Services, National Institute for Public Health and the Environment (RIVM), Bilthoven, the Netherlands.

出版信息

Popul Health Metr. 2011 Sep 1;9(1):51. doi: 10.1186/1478-7954-9-51.

DOI:10.1186/1478-7954-9-51
PMID:21884614
原文链接:https://pmc.ncbi.nlm.nih.gov/articles/PMC3175448/
Abstract

BACKGROUND

The high prevalence of chronic diseases in Western countries implies that the presence of multiple chronic diseases within one person is common. Especially at older ages, when the likelihood of having a chronic disease increases, the co-occurrence of distinct diseases will be encountered more frequently. The aim of this study was to estimate the age-specific prevalence of multimorbidity in the general population. In particular, we investigate to what extent specific pairs of diseases cluster within people and how this deviates from what is to be expected under the assumption of the independent occurrence of diseases (i.e., sheer coincidence).

METHODS

We used data from a Dutch health survey to estimate the prevalence of pairs of chronic diseases specified by age. Diseases we focused on were diabetes, myocardial infarction, stroke, and cancer. Multinomial P-splines were fitted to the data to model the relation between age and disease status (single versus two diseases). To assess to what extent co-occurrence cannot be explained by independent occurrence, we estimated observed/expected co-occurrence ratios using predictions of the fitted regression models.

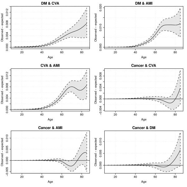
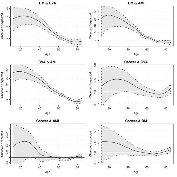
RESULTS

Prevalence increased with age for all disease pairs. For all disease pairs, prevalence at most ages was much higher than is to be expected on the basis of coincidence. Observed/expected ratios of disease combinations decreased with age.

CONCLUSION

Common chronic diseases co-occur in one individual more frequently than is due to chance. In monitoring the occurrence of diseases among the population at large, such multimorbidity is insufficiently taken into account.

摘要

背景

西方国家慢性病的高患病率意味着一个人同时患有多种慢性病的情况很常见。特别是在年龄较大的人群中,随着患慢性病的可能性增加,不同疾病的同时发生会更加频繁。本研究旨在估计一般人群中多种疾病的特定年龄患病率。具体而言,我们研究了特定的疾病对在人群中聚集的程度,以及这种聚集程度与假设疾病独立发生(即纯粹的巧合)时预期的程度有何不同。

方法

我们使用荷兰健康调查的数据来估计特定年龄的慢性疾病对的患病率。我们关注的疾病是糖尿病、心肌梗死、中风和癌症。使用多项 P 样条对数据进行拟合,以模拟年龄与疾病状态(单一疾病与两种疾病)之间的关系。为了评估疾病同时发生的程度不能用独立发生来解释的程度,我们使用拟合回归模型的预测来估计观察到的/预期的同时发生比。

结果

所有疾病对的患病率都随年龄增长而增加。在大多数年龄段,所有疾病对的患病率都远高于基于巧合的预期。疾病组合的观察到的/预期的比值随年龄的增长而降低。

结论

常见的慢性病在个体中同时发生的频率高于偶然发生的频率。在监测人群中疾病的发生时,这种多重疾病的情况没有得到充分考虑。

https://cdn.ncbi.nlm.nih.gov/pmc/blobs/4f3b/3175448/6613c68735dc/1478-7954-9-51-7.jpg
https://cdn.ncbi.nlm.nih.gov/pmc/blobs/4f3b/3175448/4d0df33577df/1478-7954-9-51-1.jpg
https://cdn.ncbi.nlm.nih.gov/pmc/blobs/4f3b/3175448/b5b9a3d4c293/1478-7954-9-51-2.jpg
https://cdn.ncbi.nlm.nih.gov/pmc/blobs/4f3b/3175448/675124200d47/1478-7954-9-51-3.jpg
https://cdn.ncbi.nlm.nih.gov/pmc/blobs/4f3b/3175448/a4d23e5c18af/1478-7954-9-51-4.jpg
https://cdn.ncbi.nlm.nih.gov/pmc/blobs/4f3b/3175448/ea8b0a76198f/1478-7954-9-51-5.jpg
https://cdn.ncbi.nlm.nih.gov/pmc/blobs/4f3b/3175448/a9fcd900bc88/1478-7954-9-51-6.jpg
https://cdn.ncbi.nlm.nih.gov/pmc/blobs/4f3b/3175448/6613c68735dc/1478-7954-9-51-7.jpg
https://cdn.ncbi.nlm.nih.gov/pmc/blobs/4f3b/3175448/4d0df33577df/1478-7954-9-51-1.jpg
https://cdn.ncbi.nlm.nih.gov/pmc/blobs/4f3b/3175448/b5b9a3d4c293/1478-7954-9-51-2.jpg
https://cdn.ncbi.nlm.nih.gov/pmc/blobs/4f3b/3175448/675124200d47/1478-7954-9-51-3.jpg
https://cdn.ncbi.nlm.nih.gov/pmc/blobs/4f3b/3175448/a4d23e5c18af/1478-7954-9-51-4.jpg
https://cdn.ncbi.nlm.nih.gov/pmc/blobs/4f3b/3175448/ea8b0a76198f/1478-7954-9-51-5.jpg
https://cdn.ncbi.nlm.nih.gov/pmc/blobs/4f3b/3175448/a9fcd900bc88/1478-7954-9-51-6.jpg
https://cdn.ncbi.nlm.nih.gov/pmc/blobs/4f3b/3175448/6613c68735dc/1478-7954-9-51-7.jpg

相似文献

1
Co-occurrence of diabetes, myocardial infarction, stroke, and cancer: quantifying age patterns in the Dutch population using health survey data.糖尿病、心肌梗死、中风和癌症的同时发生:使用健康调查数据定量分析荷兰人群的年龄模式。
Popul Health Metr. 2011 Sep 1;9(1):51. doi: 10.1186/1478-7954-9-51.
2
Multimorbidity and comorbidity in the Dutch population - data from general practices.荷兰人群中的多病共存和共病现象——来自一般实践的数据。
BMC Public Health. 2012 Aug 30;12:715. doi: 10.1186/1471-2458-12-715.
3
[Multimorbidity and comorbidity in the Dutch population--data from general practices].[荷兰人群中的多重疾病和共病——来自全科医疗的数据]
Ned Tijdschr Geneeskd. 2011;155:A3193.
4
Impact of Chronic Conditions and Multimorbidity on the Disability Burden in the Older Population in Belgium.慢性疾病和多种疾病对比利时老年人口残疾负担的影响。
J Gerontol A Biol Sci Med Sci. 2016 Jul;71(7):903-9. doi: 10.1093/gerona/glv234. Epub 2016 Jan 16.
5
Patterns and Consequences of Multimorbidity in the General Population: There is No Chronic Disease Management Without Rheumatic Disease Management.普通人群中多种疾病并存的模式及后果:若无风湿病管理,则不存在慢性病管理。
Arthritis Care Res (Hoboken). 2017 Jan;69(1):12-20. doi: 10.1002/acr.22996. Epub 2016 Nov 17.
6
Use of latent class analysis to identify multimorbidity patterns and associated factors in Korean adults aged 50 years and older.利用潜在类别分析识别 50 岁及以上韩国成年人的多种共病模式及其相关因素。
PLoS One. 2019 Nov 13;14(11):e0216259. doi: 10.1371/journal.pone.0216259. eCollection 2019.
7
Patterns of multimorbidity in the aged population. Results from the KORA-Age study.老年人群的多病共存模式。来自 KORA-Age 研究的结果。
PLoS One. 2012;7(1):e30556. doi: 10.1371/journal.pone.0030556. Epub 2012 Jan 23.
8
Does multimorbidity influence the occurrence rates of chronic conditions? A claims data based comparison of expected and observed prevalence rates.多发病是否会影响慢性病的发生率?基于索赔数据的预期和观察患病率比较。
PLoS One. 2012;7(9):e45390. doi: 10.1371/journal.pone.0045390. Epub 2012 Sep 17.
9
Patterns of chronic multimorbidity in the elderly population.老年人群中的慢性多病共患模式。
J Am Geriatr Soc. 2009 Feb;57(2):225-30. doi: 10.1111/j.1532-5415.2008.02109.x.
10
Diabetes-Multimorbidity Combinations and Disability Among Middle-aged and Older Adults.糖尿病-多种合并症与中老年人群的残疾
J Gen Intern Med. 2019 Jun;34(6):944-951. doi: 10.1007/s11606-019-04896-w. Epub 2019 Feb 27.

引用本文的文献

1
Cost-Effectiveness of Personalised Nutrition in Adults With Overweight and Obesity: PREVENTOMICS Studies in Poland and the UK.超重和肥胖成年人个性化营养的成本效益:波兰和英国的PREVENTOMICS研究
J Hum Nutr Diet. 2025 Jun;38(3):e70071. doi: 10.1111/jhn.70071.
2
Economic Evaluation of a Personalized Nutrition Plan Based on Omic Sciences Versus a General Nutrition Plan in Adults with Overweight and Obesity: A Modeling Study Based on Trial Data in Denmark.基于组学科学的个性化营养计划与一般营养计划对超重和肥胖成年人的经济评估:一项基于丹麦试验数据的建模研究
Pharmacoecon Open. 2024 Mar;8(2):313-331. doi: 10.1007/s41669-023-00461-8. Epub 2023 Dec 19.
3

本文引用的文献

1
Estimating and comparing incidence and prevalence of chronic diseases by combining GP registry data: the role of uncertainty.估算和比较慢性疾病的发病率和患病率:结合全科医生注册数据不确定性的作用。
BMC Public Health. 2011 Mar 15;11:163. doi: 10.1186/1471-2458-11-163.
2
[Diabetes mellitus in the Netherlands: estimate of the current disease burden and prognosis for 2025].[荷兰的糖尿病:当前疾病负担估计及2025年预后]
Ned Tijdschr Geneeskd. 2009 May 30;153(22):1052-8.
3
[The risk of cancer in the Netherlands].[荷兰的癌症风险]
The pleiotropic effect of rs7903146 on type 2 diabetes and ischemic stroke: a family-based study in a Chinese population.
rs7903146 对 2 型糖尿病和缺血性脑卒中的多效性影响:一项中国人群的家系研究。
J Thromb Thrombolysis. 2019 Aug;48(2):303-314. doi: 10.1007/s11239-019-01855-4.
4
Multimorbidity and Mental Health-Related Quality of Life and Risk of Completed Suicide.多种疾病与心理健康相关的生活质量和自杀风险。
J Am Geriatr Soc. 2019 Mar;67(3):511-519. doi: 10.1111/jgs.15678. Epub 2018 Nov 24.
5
Statistical methods for constructing disease comorbidity networks from longitudinal inpatient data.从纵向住院数据构建疾病共病网络的统计方法。
Appl Netw Sci. 2018;3(1):46. doi: 10.1007/s41109-018-0101-4. Epub 2018 Nov 7.
6
Multimorbidity, Mortality, and Long-Term Physical Functioning in 3 Prospective Cohorts of Community-Dwelling Adults.多发病共存、死亡率与 3 项社区成年人队列前瞻性研究中的长期身体机能
Am J Epidemiol. 2018 Jan 1;187(1):103-112. doi: 10.1093/aje/kwx198.
7
Multimorbidity of four cardiometabolic and chronic pulmonary disease groups: prevalence and attributable fraction in US adults, 2007-2012.2007 - 2012年美国成年人中四种心脏代谢和慢性肺部疾病组的多重疾病:患病率和归因分数
J Comorb. 2017 Mar 13;7(1):22-32. doi: 10.15256/joc.2017.7.89. eCollection 2017.
8
Survival prospects after acute myocardial infarction in the UK: a matched cohort study 1987-2011.英国急性心肌梗死后的生存前景:一项1987 - 2011年的匹配队列研究
BMJ Open. 2017 Jan 24;7(1):e013570. doi: 10.1136/bmjopen-2016-013570.
9
Diverse Cumulative Impact of Chronic Diseases on Physical Health-Related Quality of Life: Implications for a Measure of Multimorbidity.慢性病对身体健康相关生活质量的多样累积影响:对一种共病测量方法的启示
Am J Epidemiol. 2016 Sep 1;184(5):357-65. doi: 10.1093/aje/kwv456. Epub 2016 Aug 16.
10
Computing disease incidence, prevalence and comorbidity from electronic medical records.从电子病历中计算疾病发病率、患病率和合并症。
J Biomed Inform. 2016 Oct;63:108-111. doi: 10.1016/j.jbi.2016.08.005. Epub 2016 Aug 4.
Ned Tijdschr Geneeskd. 2008 Oct 11;152(41):2233-41.
4
Multimorbidity in primary care: prevalence and trend over the last 20 years.基层医疗中的多重疾病:过去20年的患病率及趋势
Eur J Gen Pract. 2008;14 Suppl 1:28-32. doi: 10.1080/13814780802436093.
5
The Danish National Diabetes Register: trends in incidence, prevalence and mortality.丹麦国家糖尿病登记处:发病率、患病率及死亡率趋势
Diabetologia. 2008 Dec;51(12):2187-96. doi: 10.1007/s00125-008-1156-z. Epub 2008 Sep 25.
6
Validation of the Charlson Comorbidity Index for predicting functional outcome of stroke.验证Charlson合并症指数对预测中风功能结局的作用。
Arch Phys Med Rehabil. 2008 Jul;89(7):1276-83. doi: 10.1016/j.apmr.2007.11.049.
7
The changing prevalence of comorbidity across the age spectrum.不同年龄段共病患病率的变化情况。
Crit Rev Oncol Hematol. 2008 Aug;67(2):124-32. doi: 10.1016/j.critrevonc.2008.01.013. Epub 2008 Mar 28.
8
Age and gender differences in the impact of diabetes on the prevalence of ischemic heart disease: a population-based register study.糖尿病对缺血性心脏病患病率影响的年龄和性别差异:一项基于人群的登记研究。
Diabetes Res Clin Pract. 2008 Mar;79(3):497-502. doi: 10.1016/j.diabres.2007.10.009. Epub 2007 Nov 14.
9
Trends in hospital admissions, in-hospital case fatality and population mortality from congenital heart disease in England, 1994 to 2004.1994年至2004年英格兰先天性心脏病的住院人数、住院病死率及人群死亡率趋势
Heart. 2008 Mar;94(3):342-8. doi: 10.1136/hrt.2006.113787. Epub 2007 Jul 23.
10
Chronic conditions and the risk of long-term institutionalization among older people.老年人的慢性病与长期入住养老机构的风险。
Eur J Public Health. 2008 Feb;18(1):77-84. doi: 10.1093/eurpub/ckm025. Epub 2007 Jun 11.