Suppr超能文献

谷氨酰胺 28 和精氨酸 39 在人胰腺核糖核酸酶切割双链 RNA 中的功能作用。

Functional role of glutamine 28 and arginine 39 in double stranded RNA cleavage by human pancreatic ribonuclease.

机构信息

Immunochemistry Laboratory, National Institute of Immunology, Aruna Asaf Ali Marg, New Delhi 110067, India.

出版信息

PLoS One. 2011 Mar 8;6(3):e17159. doi: 10.1371/journal.pone.0017159.

Abstract

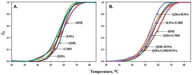
Human pancreatic ribonuclease (HPR), a member of RNase A superfamily, has a high activity on double stranded (ds) RNA. By virtue of this activity HPR appears to be involved in the host-defense against pathogenic viruses. To delineate the mechanism of dsRNA cleavage by HPR, we have investigated the role of glutamine 28 and arginine 39 of HPR in its activity on dsRNA. A non-basic residue glycine 38, earlier shown to be important for dsRNA cleavage by HPR was also included in the study in the context of glutamine 28 and arginine 39. Nine variants of HPR respectively containing Q28A, Q28L, R39A, G38D, Q28A/R39A, Q28L/R39A, Q28A/G38D, R39A/G38D and Q28A/G38D/R39A mutations were generated and functionally characterized. The far-UV CD-spectral analysis revealed all variants, except R39A, to have structures similar to that of HPR. The catalytic activity of all HPR variants on single stranded RNA substrate was similar to that of HPR, whereas on dsRNA, the catalytic efficiency of all single residue variants, except for the Q28L, was significantly reduced. The dsRNA cleavage activity of R39A/G38D and Q28A/G38D/R39A variants was most drastically reduced to 4% of that of HPR. The variants having reduced dsRNA cleavage activity also had reduction in their dsDNA melting activity and thermal stability. Our results indicate that in HPR both glutamine 28 and arginine 39 are important for the cleavage of dsRNA. Although these residues are not directly involved in catalysis, both arginine 39 and glutamine 28 appear to be facilitating a productive substrate-enzyme interaction during the dsRNA cleavage by HPR.

摘要

人胰腺核糖核酸酶(HPR)是 RNase A 超家族的成员,对双链 RNA(dsRNA)具有很高的活性。由于这种活性,HPR 似乎参与了宿主对致病病毒的防御。为了阐明 HPR 切割 dsRNA 的机制,我们研究了 HPR 中谷氨酰胺 28 和精氨酸 39 对其 dsRNA 活性的作用。以前的研究表明,非碱性残基甘氨酸 38 对 HPR 切割 dsRNA 很重要,在谷氨酰胺 28 和精氨酸 39 的背景下,该残基也包括在研究中。分别含有 Q28A、Q28L、R39A、G38D、Q28A/R39A、Q28L/R39A、Q28A/G38D、R39A/G38D 和 Q28A/G38D/R39A 突变的 9 种 HPR 变体被生成并进行了功能表征。远紫外 CD 光谱分析表明,除 R39A 外,所有变体的结构均与 HPR 相似。所有 HPR 变体对单链 RNA 底物的催化活性均与 HPR 相似,而对 dsRNA 的催化效率,除 Q28L 外,所有单残基变体均显著降低。R39A/G38D 和 Q28A/G38D/R39A 变体的 dsRNA 切割活性降低到 HPR 的 4%。dsRNA 切割活性降低的变体也降低了它们的 dsDNA 熔解活性和热稳定性。我们的结果表明,在 HPR 中,谷氨酰胺 28 和精氨酸 39 对 dsRNA 的切割都很重要。虽然这些残基不直接参与催化,但精氨酸 39 和谷氨酰胺 28 似乎在 HPR 切割 dsRNA 过程中促进了有效的底物-酶相互作用。

https://cdn.ncbi.nlm.nih.gov/pmc/blobs/5de0/3050822/18450c0d2ded/pone.0017159.g001.jpg

文献AI研究员

20分钟写一篇综述,助力文献阅读效率提升50倍。

立即体验

用中文搜PubMed

大模型驱动的PubMed中文搜索引擎

马上搜索

文档翻译

学术文献翻译模型,支持多种主流文档格式。

立即体验