Suppr超能文献

危重症患者骨骼肌中蛋白合成激活和蛋白分解抑制的信号转导

Activated protein synthesis and suppressed protein breakdown signaling in skeletal muscle of critically ill patients.

机构信息

Department of Orthopedic Surgery M, Institute of Sports Medicine Copenhagen, Bispebjerg Hospital and Center for Healthy Aging, Faculty of Health Sciences, University of Copenhagen, Copenhagen, Denmark.

出版信息

PLoS One. 2011 Mar 31;6(3):e18090. doi: 10.1371/journal.pone.0018090.

Abstract

BACKGROUND

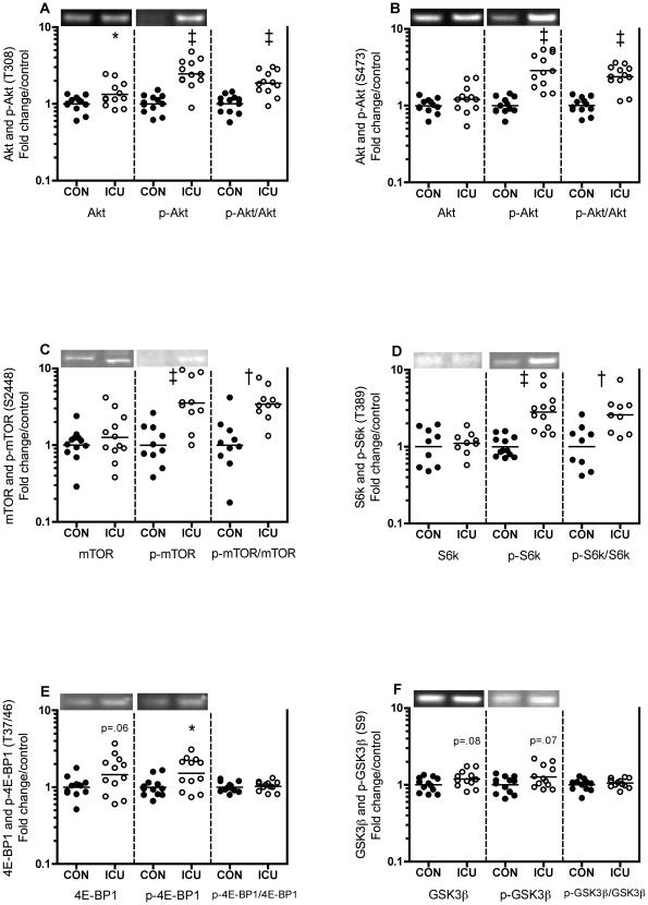
Skeletal muscle mass is controlled by myostatin and Akt-dependent signaling on mammalian target of rapamycin (mTOR), glycogen synthase kinase 3β (GSK3β) and forkhead box O (FoxO) pathways, but it is unknown how these pathways are regulated in critically ill human muscle. To describe factors involved in muscle mass regulation, we investigated the phosphorylation and expression of key factors in these protein synthesis and breakdown signaling pathways in thigh skeletal muscle of critically ill intensive care unit (ICU) patients compared with healthy controls.

METHODOLOGY/PRINCIPAL FINDINGS: ICU patients were systemically inflamed, moderately hyperglycemic, received insulin therapy, and showed a tendency to lower plasma branched chain amino acids compared with controls. Using Western blotting we measured Akt, GSK3β, mTOR, ribosomal protein S6 kinase (S6k), eukaryotic translation initiation factor 4E binding protein 1 (4E-BP1), and muscle ring finger protein 1 (MuRF1); and by RT-PCR we determined mRNA expression of, among others, insulin-like growth factor 1 (IGF-1), FoxO 1, 3 and 4, atrogin1, MuRF1, interleukin-6 (IL-6), tumor necrosis factor α (TNF-α) and myostatin. Unexpectedly, in critically ill ICU patients Akt-mTOR-S6k signaling was substantially higher compared with controls. FoxO1 mRNA was higher in patients, whereas FoxO3, atrogin1 and myostatin mRNAs and MuRF1 protein were lower compared with controls. A moderate correlation (r2=0.36, p<0.05) between insulin infusion dose and phosphorylated Akt was demonstrated.

CONCLUSIONS/SIGNIFICANCE: We present for the first time muscle protein turnover signaling in critically ill ICU patients, and we show signaling pathway activity towards a stimulation of muscle protein synthesis and a somewhat inhibited proteolysis.

摘要

背景

骨骼肌质量受肌肉生长抑制素和 Akt 依赖性信号通路调控,该通路作用于哺乳动物雷帕霉素靶蛋白(mTOR)、糖原合成酶激酶 3β(GSK3β)和叉头框 O(FoxO)通路,但是目前尚不清楚这些通路在重症患者的肌肉中是如何被调控的。为了研究与肌肉质量调控相关的因素,我们对重症加强治疗病房(ICU)患者和健康对照者的股部骨骼肌中这些蛋白合成和分解信号通路的关键因子的磷酸化和表达情况进行了研究。

方法/主要发现:与对照组相比,ICU 患者存在全身炎症、中度高血糖、接受胰岛素治疗,且表现出降低的血浆支链氨基酸的趋势。通过 Western 印迹法,我们测量了 Akt、GSK3β、mTOR、核糖体蛋白 S6 激酶(S6k)、真核翻译起始因子 4E 结合蛋白 1(4E-BP1)和肌环指蛋白 1(MuRF1);通过 RT-PCR,我们测定了胰岛素样生长因子 1(IGF-1)、FoxO1、3 和 4、atrogin1、MuRF1、白细胞介素-6(IL-6)、肿瘤坏死因子 α(TNF-α)和肌肉生长抑制素的 mRNA 表达情况。出乎意料的是,与对照组相比,重症患者的 Akt-mTOR-S6k 信号通路显著升高。患者的 FoxO1mRNA 水平升高,而 FoxO3、atrogin1 和肌肉生长抑制素的 mRNA 和 MuRF1 蛋白水平降低。胰岛素输注剂量与磷酸化 Akt 之间存在中度相关性(r2=0.36,p<0.05)。

结论/意义:我们首次报道了重症 ICU 患者的肌肉蛋白周转信号通路,并显示出该通路对肌肉蛋白合成的刺激作用和对蛋白分解的一定抑制作用。

https://cdn.ncbi.nlm.nih.gov/pmc/blobs/26b9/3069050/f4397c63b541/pone.0018090.g001.jpg

文献AI研究员

20分钟写一篇综述,助力文献阅读效率提升50倍。

立即体验

用中文搜PubMed

大模型驱动的PubMed中文搜索引擎

马上搜索

文档翻译

学术文献翻译模型,支持多种主流文档格式。

立即体验