• 文献检索
  • 文档翻译
  • 深度研究
  • 学术资讯
  • Suppr Zotero 插件Zotero 插件
  • 邀请有礼
  • 套餐&价格
  • 历史记录
应用&插件
Suppr Zotero 插件Zotero 插件浏览器插件Mac 客户端Windows 客户端微信小程序
定价
高级版会员购买积分包购买API积分包
服务
文献检索文档翻译深度研究API 文档MCP 服务
关于我们
关于 Suppr公司介绍联系我们用户协议隐私条款
关注我们

Suppr 超能文献

核心技术专利:CN118964589B侵权必究
粤ICP备2023148730 号-1Suppr @ 2026

文献检索

告别复杂PubMed语法,用中文像聊天一样搜索,搜遍4000万医学文献。AI智能推荐,让科研检索更轻松。

立即免费搜索

文件翻译

保留排版,准确专业,支持PDF/Word/PPT等文件格式,支持 12+语言互译。

免费翻译文档

深度研究

AI帮你快速写综述,25分钟生成高质量综述,智能提取关键信息,辅助科研写作。

立即免费体验

抗中性粒细胞胞质抗体相关性血管炎患者血液树突状细胞数量减少和调节性 T 细胞功能缺陷。

Decreased numbers of blood dendritic cells and defective function of regulatory T cells in antineutrophil cytoplasmic antibody-associated vasculitis.

机构信息

CHU Nantes, Laboratoire d'Immunologie, Nantes, France.

出版信息

PLoS One. 2011 Apr 8;6(4):e18734. doi: 10.1371/journal.pone.0018734.

DOI:10.1371/journal.pone.0018734
PMID:21494636
原文链接:https://pmc.ncbi.nlm.nih.gov/articles/PMC3073002/
Abstract

BACKGROUND

Dendritic cells (DC) and regulatory cells (Treg) play pivotal roles in controlling both normal and autoimmune adaptive immune responses. DC are the main antigen-presenting cells to T cells, and they also control Treg functions. In this study, we examined the frequency and phenotype of DC subsets, and the frequency and function of Treg from patients with ANCA-associated vasculitis (AAV).

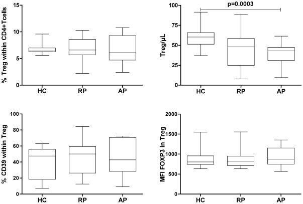
METHODOLOGY/PRINCIPAL FINDINGS: Blood samples from 19 untreated patients with AAV during flares and before any immunosuppressive treatment were analyzed, along with 15 AAV patients in remission and 18 age-matched healthy controls. DC and Treg numbers, and phenotypes were assessed by flow cytometry, and in vitro suppressive function of Treg was determined by co-culture assay. When compared to healthy volunteers, absolute numbers of conventional and plasmacytoid DC were decreased in AAV patients. During the acute phase this decrease was significantly more pronounced and was associated with an increased DC expression of CD62L. Absolute numbers of Treg (CD4(+)CD25(high)CD127(low/-) Tcells) were moderately decreased in patients. FOXP3 and CD39 were expressed at similar levels on Treg from patients as compared to controls. The suppressive function of Treg from AAV patients was dramatically decreased as compared to controls, and this defect was more pronounced during flares than remission. This Treg functional deficiency occurred in the absence of obvious Th17 deviation.

CONCLUSION

In conclusion, these data show that AAV flares are associated with both a decrease number and altered phenotype of circulating DC and point to a role for Treg functional deficiency in the pathogenesis of AAV.

摘要

背景

树突状细胞(DC)和调节性 T 细胞(Treg)在控制正常和自身免疫适应性免疫反应方面起着关键作用。DC 是向 T 细胞呈递抗原的主要抗原提呈细胞,它们还控制 Treg 的功能。在这项研究中,我们检查了 ANCAs 相关性血管炎(AAV)患者的 DC 亚群的频率和表型,以及 Treg 的频率和功能。

方法/主要发现:分析了 19 名未经治疗的 AAV 患者在发作期间和任何免疫抑制治疗之前的血液样本,以及 15 名缓解期的 AAV 患者和 18 名年龄匹配的健康对照者。通过流式细胞术评估 DC 和 Treg 的数量和表型,并通过共培养测定评估 Treg 的体外抑制功能。与健康志愿者相比,AAV 患者的常规和浆细胞样 DC 的绝对值减少。在急性期,这种减少更为明显,并且与 DC 表达 CD62L 增加有关。患者 Treg(CD4+CD25highCD127low/-T 细胞)的绝对值也适度减少。与对照组相比,患者 Treg 上的 FOXP3 和 CD39 表达水平相似。与对照组相比,AAV 患者的 Treg 抑制功能显著降低,且在发作期比缓解期更为明显。这种 Treg 功能缺陷发生在没有明显 Th17 偏差的情况下。

结论

总之,这些数据表明,AAV 发作与循环 DC 的数量减少和表型改变有关,并提示 Treg 功能缺陷在 AAV 的发病机制中起作用。

https://cdn.ncbi.nlm.nih.gov/pmc/blobs/09f0/3073002/852cfa4644e4/pone.0018734.g005.jpg
https://cdn.ncbi.nlm.nih.gov/pmc/blobs/09f0/3073002/e53aab6a265e/pone.0018734.g001.jpg
https://cdn.ncbi.nlm.nih.gov/pmc/blobs/09f0/3073002/14e5a7947e61/pone.0018734.g002.jpg
https://cdn.ncbi.nlm.nih.gov/pmc/blobs/09f0/3073002/60391f5fe855/pone.0018734.g003.jpg
https://cdn.ncbi.nlm.nih.gov/pmc/blobs/09f0/3073002/1f053166b4e6/pone.0018734.g004.jpg
https://cdn.ncbi.nlm.nih.gov/pmc/blobs/09f0/3073002/852cfa4644e4/pone.0018734.g005.jpg
https://cdn.ncbi.nlm.nih.gov/pmc/blobs/09f0/3073002/e53aab6a265e/pone.0018734.g001.jpg
https://cdn.ncbi.nlm.nih.gov/pmc/blobs/09f0/3073002/14e5a7947e61/pone.0018734.g002.jpg
https://cdn.ncbi.nlm.nih.gov/pmc/blobs/09f0/3073002/60391f5fe855/pone.0018734.g003.jpg
https://cdn.ncbi.nlm.nih.gov/pmc/blobs/09f0/3073002/1f053166b4e6/pone.0018734.g004.jpg
https://cdn.ncbi.nlm.nih.gov/pmc/blobs/09f0/3073002/852cfa4644e4/pone.0018734.g005.jpg

相似文献

1
Decreased numbers of blood dendritic cells and defective function of regulatory T cells in antineutrophil cytoplasmic antibody-associated vasculitis.抗中性粒细胞胞质抗体相关性血管炎患者血液树突状细胞数量减少和调节性 T 细胞功能缺陷。
PLoS One. 2011 Apr 8;6(4):e18734. doi: 10.1371/journal.pone.0018734.
2
Regulatory B cells in ANCA-associated vasculitis.抗中性粒细胞胞质抗体相关性血管炎中的调节性 B 细胞。
Ann Rheum Dis. 2013 Aug;72(8):1416-9. doi: 10.1136/annrheumdis-2012-202986. Epub 2013 May 10.
3
Patients with antineutrophil cytoplasmic antibody-associated vasculitis have defective Treg cell function exacerbated by the presence of a suppression-resistant effector cell population.抗中性粒细胞胞浆抗体相关性血管炎患者存在调节性T细胞功能缺陷,且存在对抑制有抵抗作用的效应细胞群会加剧这种缺陷。
Arthritis Rheum. 2013 Jul;65(7):1922-33. doi: 10.1002/art.37959.
4
Reduced activated regulatory T cells and imbalance of Th17/activated Treg cells marks renal involvement in ANCA-associated vasculitis.活性调节性 T 细胞减少和 Th17/活化 Treg 细胞失衡标志着抗中性粒细胞胞质抗体相关性血管炎的肾脏受累。
Mol Immunol. 2020 Feb;118:19-29. doi: 10.1016/j.molimm.2019.11.010. Epub 2019 Dec 26.
5
Imbalance of Circulatory T Follicular Helper and T Follicular Regulatory Cells in Patients with ANCA-Associated Vasculitis.循环性滤泡辅助性 T 细胞与滤泡调节性 T 细胞失衡与抗中性粒细胞胞浆抗体相关性血管炎。
Mediators Inflamm. 2019 Dec 2;2019:8421479. doi: 10.1155/2019/8421479. eCollection 2019.
6
Functional defect of circulating regulatory CD4+ T cells in patients with Wegener's granulomatosis in remission.处于缓解期的韦格纳肉芽肿病患者循环调节性CD4 + T细胞的功能缺陷
Arthritis Rheum. 2007 Jun;56(6):2080-91. doi: 10.1002/art.22692.
7
Regulation of myeloperoxidase-specific T cell responses during disease remission in antineutrophil cytoplasmic antibody-associated vasculitis: the role of Treg cells and tryptophan degradation.抗中性粒细胞胞浆抗体相关血管炎疾病缓解期髓过氧化物酶特异性T细胞反应的调节:调节性T细胞和色氨酸降解的作用
Arthritis Rheum. 2010 May;62(5):1539-48. doi: 10.1002/art.27403.
8
Phagocytosis of apoptotic cells by macrophages in anti-neutrophil cytoplasmic antibody-associated systemic vasculitis.巨噬细胞吞噬抗中性粒细胞胞浆抗体相关性系统性血管炎细胞凋亡。
Clin Exp Immunol. 2012 Oct;170(1):47-56. doi: 10.1111/j.1365-2249.2012.04633.x.
9
Regulatory B cells are numerically but not functionally deficient in anti-neutrophil cytoplasm antibody-associated vasculitis.调节性 B 细胞在数量上而非功能上缺乏抗中性粒细胞胞质抗体相关性血管炎。
Rheumatology (Oxford). 2014 Sep;53(9):1693-703. doi: 10.1093/rheumatology/keu136. Epub 2014 Apr 11.
10
Altered B cell balance, but unaffected B cell capacity to limit monocyte activation in anti-neutrophil cytoplasmic antibody-associated vasculitis in remission.在缓解期的抗中性粒细胞胞浆抗体相关性血管炎中,B 细胞平衡改变,但 B 细胞限制单核细胞活化的能力不受影响。
Rheumatology (Oxford). 2014 Sep;53(9):1683-92. doi: 10.1093/rheumatology/keu149. Epub 2014 Apr 10.

引用本文的文献

1
The evolving landscape of vasculitis management: past, current and emerging.血管炎治疗的演变历程:过去、现在与未来
Rheumatology (Oxford). 2025 Mar 1;64(Supplement_1):i2-i10. doi: 10.1093/rheumatology/keae613.
2
The Expanding Antineutrophil Cytoplasmic Antibody-Associated Vasculitis Armamentarium.不断扩展的抗中性粒细胞胞浆抗体相关性血管炎治疗手段
Drugs. 2025 Mar;85(3):325-341. doi: 10.1007/s40265-024-02143-z. Epub 2025 Feb 19.
3
Immune checkpoint molecules performance in ANCA vasculitis.免疫检查点分子在 ANCA 血管炎中的表现。

本文引用的文献

1
The human syndrome of dendritic cell, monocyte, B and NK lymphoid deficiency.人类树突状细胞、单核细胞、B 和 NK 淋巴样细胞缺陷综合征。
J Exp Med. 2011 Feb 14;208(2):227-34. doi: 10.1084/jem.20101459. Epub 2011 Jan 17.
2
Microbial stimulation fully differentiates monocytes to DC-SIGN/CD209(+) dendritic cells for immune T cell areas.微生物刺激可使单核细胞完全分化为表达 DC-SIGN/CD209(+)的树突状细胞,用于免疫 T 细胞区。
Cell. 2010 Oct 29;143(3):416-29. doi: 10.1016/j.cell.2010.09.039.
3
FOXP3+ regulatory T cells in the human immune system.
RMD Open. 2024 Nov 13;10(4):e004660. doi: 10.1136/rmdopen-2024-004660.
4
Regulatory T cells effectively downregulate the autoimmune anti-MPO response and ameliorate anti-MPO induced glomerulonephritis in mice.调节性 T 细胞可有效下调自身免疫性抗 MPO 反应,并改善小鼠抗 MPO 诱导的肾小球肾炎。
J Autoimmun. 2024 Jul;147:103266. doi: 10.1016/j.jaut.2024.103266. Epub 2024 Jun 7.
5
Single-cell multi-omics analysis identifies two distinct phenotypes of newly-onset microscopic polyangiitis.单细胞多组学分析鉴定出初发显微镜下多血管炎的两种不同表型。
Nat Commun. 2023 Oct 11;14(1):5789. doi: 10.1038/s41467-023-41328-0.
6
Identification and validation of immune-associated NETosis subtypes and biomarkers in anti-neutrophil cytoplasmic antibody associated glomerulonephritis.抗中性粒细胞胞浆抗体相关性肾小球肾炎中免疫相关中性粒细胞胞外诱捕网形成亚型和生物标志物的鉴定和验证。
Front Immunol. 2023 Jul 3;14:1177968. doi: 10.3389/fimmu.2023.1177968. eCollection 2023.
7
The frequency of Treg subsets distinguishes disease activity in ANCA vasculitis.调节性T细胞亚群的频率可区分抗中性粒细胞胞浆抗体相关性血管炎的疾病活动度。
Clin Transl Immunology. 2022 Nov 11;11(11):e1428. doi: 10.1002/cti2.1428. eCollection 2022.
8
Regulatory T Cells in Autoimmune Vasculitis.自身免疫性血管炎中的调节性 T 细胞。
Front Immunol. 2022 Feb 28;13:844300. doi: 10.3389/fimmu.2022.844300. eCollection 2022.
9
Emerging Cellular Therapies for Anti-myeloperoxidase Vasculitis and Other Autoimmune Diseases.新兴细胞疗法治疗抗髓过氧化物酶血管炎及其他自身免疫性疾病。
Front Immunol. 2021 Jul 29;12:642127. doi: 10.3389/fimmu.2021.642127. eCollection 2021.
10
Altered circulating CCR6and CXCR3 T cell subsets are associated with poor renal prognosis in MPO-ANCA-associated vasculitis.改变的循环 CCR6 和 CXCR3 T 细胞亚群与 MPO-ANCA 相关性血管炎的不良肾脏预后相关。
Arthritis Res Ther. 2021 Jul 21;23(1):194. doi: 10.1186/s13075-021-02576-x.
FOXP3+ 调节性 T 细胞在人类免疫系统中的作用。
Nat Rev Immunol. 2010 Jul;10(7):490-500. doi: 10.1038/nri2785. Epub 2010 Jun 18.
4
Lower numbers of FoxP3 and CCR4 co-expressing cells in an elevated subpopulation of CD4+CD25high regulatory T cells from Wegener's granulomatosis.韦格纳肉芽肿患者 CD4+CD25high 调节性 T 细胞中高表达亚群 FoxP3 和 CCR4 共表达细胞数量减少。
Clin Exp Rheumatol. 2010 Jan-Feb;28(1 Suppl 57):72-80.
5
[Study on expressions of CD25 and CD127 in CD4+ peripheral T lymphocytes of patients with rheumatoid arthritis].类风湿关节炎患者外周血CD4⁺T淋巴细胞中CD25及CD127表达的研究
Zhonghua Yi Xue Za Zhi. 2009 Sep 22;89(35):2476-80.
6
Patients with Wegener's granulomatosis demonstrate a relative deficiency and functional impairment of T-regulatory cells.韦格纳肉芽肿病患者表现出 T 调节细胞的相对缺乏和功能障碍。
Immunology. 2010 May;130(1):64-73. doi: 10.1111/j.1365-2567.2009.03213.x. Epub 2010 Jan 27.
7
Serum IL-17 and IL-23 levels and autoantigen-specific Th17 cells are elevated in patients with ANCA-associated vasculitis.血清白介素-17 和白介素-23 水平及自身抗原特异性 Th17 细胞在抗中性粒细胞胞浆抗体相关性血管炎患者中升高。
Nephrol Dial Transplant. 2010 Jul;25(7):2209-17. doi: 10.1093/ndt/gfp783. Epub 2010 Jan 25.
8
CD39+Foxp3+ regulatory T Cells suppress pathogenic Th17 cells and are impaired in multiple sclerosis.CD39+Foxp3+调节性T细胞抑制致病性Th17细胞,且在多发性硬化症中功能受损。
J Immunol. 2009 Dec 1;183(11):7602-10. doi: 10.4049/jimmunol.0901881. Epub 2009 Nov 16.
9
Anti-neutrophil cytoplasmic antibody pathogenesis in small-vessel vasculitis: an update.抗中性粒细胞胞浆抗体相关性小血管炎发病机制的研究进展。
Am J Pathol. 2009 Nov;175(5):1790-8. doi: 10.2353/ajpath.2009.090533. Epub 2009 Oct 8.
10
Feedback control of regulatory T cell homeostasis by dendritic cells in vivo.树突状细胞在体内对调节性T细胞稳态的反馈控制
J Exp Med. 2009 Aug 31;206(9):1853-62. doi: 10.1084/jem.20090746. Epub 2009 Aug 10.