Suppr超能文献

估算传染病的前沿波速:一种简单、高效的方法在蓝舌病中的应用。

Estimating front-wave velocity of infectious diseases: a simple, efficient method applied to bluetongue.

机构信息

Institut National de la Recherche Agronomique, Centre de Clermont-Ferrand Theix, Unité d'Epidémiologie Animale, St Genès Champanelle, France.

出版信息

Vet Res. 2011 Apr 20;42(1):60. doi: 10.1186/1297-9716-42-60.

Abstract

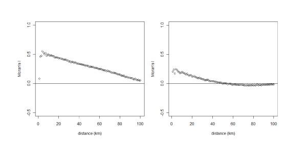
Understanding the spatial dynamics of an infectious disease is critical when attempting to predict where and how fast the disease will spread. We illustrate an approach using a trend-surface analysis (TSA) model combined with a spatial error simultaneous autoregressive model (SAR(err) model) to estimate the speed of diffusion of bluetongue (BT), an infectious disease of ruminants caused by bluetongue virus (BTV) and transmitted by Culicoides. In a first step to gain further insight into the spatial transmission characteristics of BTV serotype 8, we used 2007-2008 clinical case reports in France and TSA modelling to identify the major directions and speed of disease diffusion. We accounted for spatial autocorrelation by combining TSA with a SAR(err) model, which led to a trend SAR(err) model. Overall, BT spread from north-eastern to south-western France. The average trend SAR(err)-estimated velocity across the country was 5.6 km/day. However, velocities differed between areas and time periods, varying between 2.1 and 9.3 km/day. For more than 83% of the contaminated municipalities, the trend SAR(err)-estimated velocity was less than 7 km/day. Our study was a first step in describing the diffusion process for BT in France. To our knowledge, it is the first to show that BT spread in France was primarily local and consistent with the active flight of Culicoides and local movements of farm animals. Models such as the trend SAR(err) models are powerful tools to provide information on direction and speed of disease diffusion when the only data available are date and location of cases.

摘要

了解传染病的空间动态对于预测疾病的传播速度和范围至关重要。我们通过使用趋势面分析(TSA)模型与空间误差自回归模型(SAR(err)模型)相结合的方法,来估计蓝舌病(BT)的扩散速度。蓝舌病是一种由蓝舌病毒(BTV)引起的反刍动物传染病,由库蠓传播。为了更深入地了解 BTV 血清型 8 的空间传播特征,我们首先利用 2007 年至 2008 年法国的临床病例报告和 TSA 模型,确定了疾病扩散的主要方向和速度。我们通过将 TSA 与 SAR(err)模型结合,以考虑空间自相关,从而建立了趋势 SAR(err)模型。总体而言,BT 从法国东北部向西南部传播。全国平均趋势 SAR(err)估计速度为 5.6 公里/天。然而,不同地区和时间段的速度存在差异,在 2.1 至 9.3 公里/天之间。对于超过 83%的受污染市镇,趋势 SAR(err)估计速度小于 7 公里/天。我们的研究是描述法国 BT 扩散过程的第一步。据我们所知,这是第一个表明 BT 在法国的传播主要是局部的,与库蠓的主动飞行和农场动物的本地移动相一致的研究。在仅可用病例的日期和位置数据的情况下,趋势 SAR(err)等模型是提供疾病扩散方向和速度信息的有力工具。

https://cdn.ncbi.nlm.nih.gov/pmc/blobs/3c95/3090993/4593948b18ca/1297-9716-42-60-1.jpg

文献AI研究员

20分钟写一篇综述,助力文献阅读效率提升50倍。

立即体验

用中文搜PubMed

大模型驱动的PubMed中文搜索引擎

马上搜索

文档翻译

学术文献翻译模型,支持多种主流文档格式。

立即体验