• 文献检索
  • 文档翻译
  • 深度研究
  • 学术资讯
  • Suppr Zotero 插件Zotero 插件
  • 邀请有礼
  • 套餐&价格
  • 历史记录
应用&插件
Suppr Zotero 插件Zotero 插件浏览器插件Mac 客户端Windows 客户端微信小程序
定价
高级版会员购买积分包购买API积分包
服务
文献检索文档翻译深度研究API 文档MCP 服务
关于我们
关于 Suppr公司介绍联系我们用户协议隐私条款
关注我们

Suppr 超能文献

核心技术专利:CN118964589B侵权必究
粤ICP备2023148730 号-1Suppr @ 2026

文献检索

告别复杂PubMed语法,用中文像聊天一样搜索,搜遍4000万医学文献。AI智能推荐,让科研检索更轻松。

立即免费搜索

文件翻译

保留排版,准确专业,支持PDF/Word/PPT等文件格式,支持 12+语言互译。

免费翻译文档

深度研究

AI帮你快速写综述,25分钟生成高质量综述,智能提取关键信息,辅助科研写作。

立即免费体验

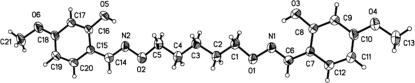
5,5'-二甲氧基-2,2'-[(戊烷-1,5-二基二氧基)双-(亚氨甲基亚基)]二苯酚。

5,5'-Dimeth-oxy-2,2'-[(pentane-1,5-diyl-dioxy)bis-(nitrilo-methyl-idyne)]diphenol.

作者信息

Sun Yin-Xia, Li Li, Dong Wen-Kui, Wu Jian-Chao, Tong Jun-Feng

机构信息

School of Chemical and Biological Engineering, Lanzhou Jiaotong University, Lanzhou 730070, People's Republic of China.

出版信息

Acta Crystallogr Sect E Struct Rep Online. 2009 Apr 30;65(Pt 5):o1160. doi: 10.1107/S1600536809014986.

DOI:10.1107/S1600536809014986
PMID:21583963
原文链接:https://pmc.ncbi.nlm.nih.gov/articles/PMC2977826/
Abstract

The mol-ecule of the title compound, C(21)H(26)N(2)O(6), which lies across a crystallographic inversion centre, crystallizes with two unique half-molecules in the symmetric unit and adopts a linear configuration and the imino group is coplanar with the aromatic ring, making a dihedral angle of 3.26 (3)°. Strong intra-molecular O-H⋯N and weak inter-molecular O-H⋯O and C-H⋯O hydrogen bonds and weak inter-molecular π-π stacking inter-actions [centroid-centroid distance = 4.419 (2) Å]establish an infinite three-dimensional supra-molecular structure.

摘要

标题化合物C(21)H(26)N(2)O(6)的分子跨越一个晶体学反演中心,在对称单元中以两个独特的半分子形式结晶,呈线性构型,亚氨基与芳环共面,二面角为3.26 (3)°。强分子内O-H⋯N和弱分子间O-H⋯O及C-H⋯O氢键以及弱分子间π-π堆积相互作用[质心-质心距离 = 4.419 (2) Å]形成了一个无限的三维超分子结构。

https://cdn.ncbi.nlm.nih.gov/pmc/blobs/a636/2977826/fc73891ae844/e-65-o1160-fig2.jpg
https://cdn.ncbi.nlm.nih.gov/pmc/blobs/a636/2977826/54ed55755c18/e-65-o1160-fig1.jpg
https://cdn.ncbi.nlm.nih.gov/pmc/blobs/a636/2977826/fc73891ae844/e-65-o1160-fig2.jpg
https://cdn.ncbi.nlm.nih.gov/pmc/blobs/a636/2977826/54ed55755c18/e-65-o1160-fig1.jpg
https://cdn.ncbi.nlm.nih.gov/pmc/blobs/a636/2977826/fc73891ae844/e-65-o1160-fig2.jpg

相似文献

1
5,5'-Dimeth-oxy-2,2'-[(pentane-1,5-diyl-dioxy)bis-(nitrilo-methyl-idyne)]diphenol.5,5'-二甲氧基-2,2'-[(戊烷-1,5-二基二氧基)双-(亚氨甲基亚基)]二苯酚。
Acta Crystallogr Sect E Struct Rep Online. 2009 Apr 30;65(Pt 5):o1160. doi: 10.1107/S1600536809014986.
2
6,6'-Dihydr-oxy-2,2'-[(pentane-1,5-diyl-dioxy)bis-(nitrilo-methyl-idyne)]diphenol.6,6'-二羟基-2,2'-[(戊烷-1,5-二基二氧基)双(亚氨甲基亚基)]二苯酚。
Acta Crystallogr Sect E Struct Rep Online. 2008 Jul 26;64(Pt 8):o1600-1. doi: 10.1107/S1600536808023064.
3
5,5'-Dimeth-oxy-2,2'-[(nonane-1,9-diyldi-oxy)bis-(nitrilo-methyl-idyne)]diphenol.5,5'-二甲氧基-2,2'-[(壬烷-1,9-二氧基双(亚氨甲基亚基)]二苯酚。
Acta Crystallogr Sect E Struct Rep Online. 2009 Oct 17;65(Pt 11):o2771. doi: 10.1107/S1600536809041038.
4
6,6'-Dihydr-oxy-2,2'-[(propane-1,3-diyl-dioxy)bis-(nitrilo-methyl-idyne)]diphenol.6,6'-二羟基-2,2'-[(丙烷-1,3-二氧基双(亚氨甲基亚基)]二苯酚。
Acta Crystallogr Sect E Struct Rep Online. 2008 Aug 23;64(Pt 9):o1810. doi: 10.1107/S1600536808026731.
5
2,2'-{1,1'-[Pentane-1,5-diyl-bis(oxy-nitrilo)]-diethyl-idyne}diphenol.2,2'-{1,1'-[戊烷-1,5-二基-双(氧代腈基)]-二亚乙基}二苯酚。
Acta Crystallogr Sect E Struct Rep Online. 2008 Oct 4;64(Pt 11):o2059. doi: 10.1107/S160053680803136X.
6
4,4'-Dimeth-oxy-2,2'-[(butane-1,4-diyldi-oxy)bis-(nitrilo-methyl-idyne)]diphenol.4,4'-二甲氧基-2,2'-[(丁烷-1,4-二氧基)双-(亚氨甲基亚基)]二苯酚
Acta Crystallogr Sect E Struct Rep Online. 2010 Oct 20;66(Pt 11):o2831. doi: 10.1107/S1600536810040511.
7
6,6'-Dieth-oxy-2,2'-[propane-1,3-diyl-dioxy-bis(nitrilo-methyl-idyne)]diphenol.6,6'-二乙氧基-2,2'-[丙烷-1,3-二氧-双(亚氨基甲基亚基)]二苯酚
Acta Crystallogr Sect E Struct Rep Online. 2010 Feb 3;66(Pt 3):o512. doi: 10.1107/S1600536810003430.
8
2,2'-Dichloro-1,1'-[(pentane-1,5-diyldi-oxy)bis-(nitrilo-methyl-idyne)]dibenzene.2,2'-二氯-1,1'-[(戊烷-1,5-二氧基)双-(亚氨基甲基亚基)]二苯
Acta Crystallogr Sect E Struct Rep Online. 2009 Jul 18;65(Pt 8):o1904. doi: 10.1107/S1600536809027433.
9
6,6'-Dimeth-oxy-2,2'-[p-phenyl-ene-bis(nitrilo-methyl-idyne)]diphenol chloro-form disolvate.6,6'-二甲氧基-2,2'-[对亚苯基双(次氮基甲基亚基)]二苯酚氯仿溶剂合物
Acta Crystallogr Sect E Struct Rep Online. 2009 Mar 6;65(Pt 4):o680-1. doi: 10.1107/S1600536809007302.
10
2,2'-Dichloro-1,1'-[(butane-1,4-diyldi-oxy)bis-(nitrilo-methyl-idyne)]dibenzene.2,2'-二氯-1,1'-[(丁烷-1,4-二氧双(腈基亚甲基)]二苯
Acta Crystallogr Sect E Struct Rep Online. 2008 Aug 6;64(Pt 9):o1678. doi: 10.1107/S1600536808024355.

引用本文的文献

1
5,5'-Dimeth-oxy-2,2'-[(nonane-1,9-diyldi-oxy)bis-(nitrilo-methyl-idyne)]diphenol.5,5'-二甲氧基-2,2'-[(壬烷-1,9-二氧基双(亚氨甲基亚基)]二苯酚。
Acta Crystallogr Sect E Struct Rep Online. 2009 Oct 17;65(Pt 11):o2771. doi: 10.1107/S1600536809041038.

本文引用的文献

1
2,2'-{1,1'-[Pentane-1,5-diyl-bis(oxy-nitrilo)]-diethyl-idyne}diphenol.2,2'-{1,1'-[戊烷-1,5-二基-双(氧代腈基)]-二亚乙基}二苯酚。
Acta Crystallogr Sect E Struct Rep Online. 2008 Oct 4;64(Pt 11):o2059. doi: 10.1107/S160053680803136X.
2
6,6'-Dihydr-oxy-2,2'-[(pentane-1,5-diyl-dioxy)bis-(nitrilo-methyl-idyne)]diphenol.6,6'-二羟基-2,2'-[(戊烷-1,5-二基二氧基)双(亚氨甲基亚基)]二苯酚。
Acta Crystallogr Sect E Struct Rep Online. 2008 Jul 26;64(Pt 8):o1600-1. doi: 10.1107/S1600536808023064.
3
A short history of SHELX.SHELX简史。
Acta Crystallogr A. 2008 Jan;64(Pt 1):112-22. doi: 10.1107/S0108767307043930. Epub 2007 Dec 21.
4
Oxime-based salen-type tetradentate ligands with high stability against imine metathesis reaction.
J Org Chem. 2005 Mar 4;70(5):1704-11. doi: 10.1021/jo048030y.
5
Directed assembly of transition-metal-coordinated molecular loops and squares from salen-type components. Examples of metalation-controlled structural conversion.基于水杨醛缩邻氨基苯酚型组分的过渡金属配位分子环和正方形的定向组装。金属化控制结构转变的实例。
J Am Chem Soc. 2004 May 26;126(20):6314-26. doi: 10.1021/ja037378s.