Suppr超能文献

细菌和植物细胞中基本通量模式分析与13C代谢通量测量结果的比较。

Comparison between elementary flux modes analysis and 13C-metabolic fluxes measured in bacterial and plant cells.

作者信息

Beurton-Aimar Marie, Beauvoit Bertrand, Monier Antoine, Vallée François, Dieuaide-Noubhani Martine, Colombié Sophie

机构信息

LaBRI, Univ. Bordeaux, UMR 5800. 351, cours de la Libération. F-33405 Talence Cedex, France.

出版信息

BMC Syst Biol. 2011 Jun 20;5:95. doi: 10.1186/1752-0509-5-95.

Abstract

BACKGROUND

(13)C metabolic flux analysis is one of the pertinent ways to compare two or more physiological states. From a more theoretical standpoint, the structural properties of metabolic networks can be analysed to explore feasible metabolic behaviours and to define the boundaries of steady state flux distributions. Elementary flux mode analysis is one of the most efficient methods for performing this analysis. In this context, recent approaches have tended to compare experimental flux measurements with topological network analysis.

RESULTS

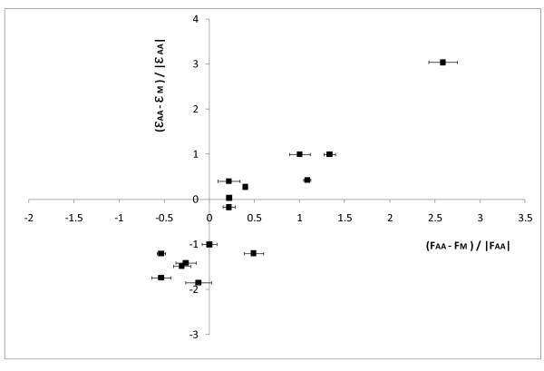
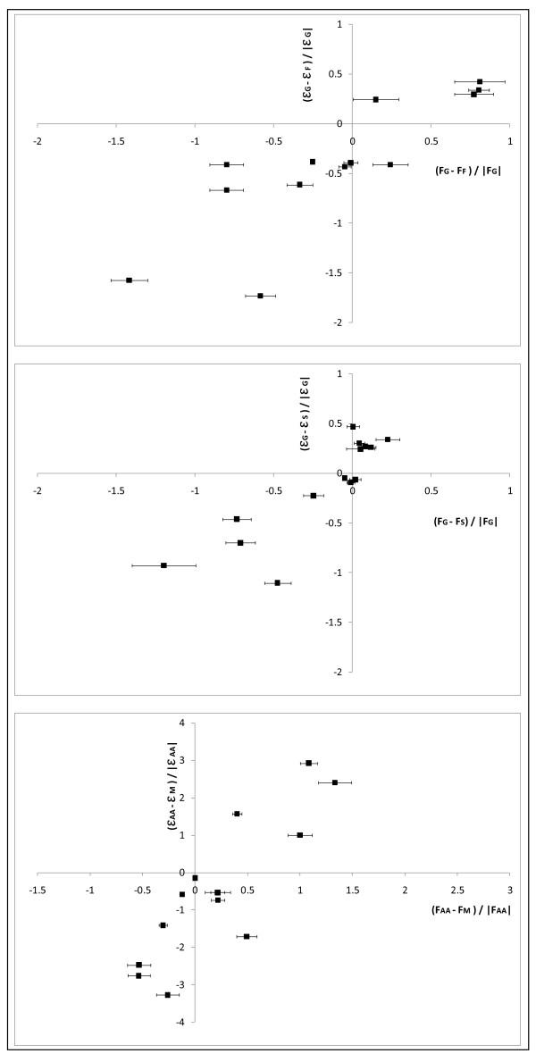
Metabolic networks describing the main pathways of central carbon metabolism were set up for a bacteria species (Corynebacterium glutamicum) and a plant species (Brassica napus) for which experimental flux maps were available. The structural properties of each network were then studied using the concept of elementary flux modes. To do this, coefficients of flux efficiency were calculated for each reaction within the networks by using selected sets of elementary flux modes. Then the relative differences - reflecting the change of substrate i.e. a sugar source for C. glutamicum and a nitrogen source for B. napus - of both flux efficiency and flux measured experimentally were compared. For both organisms, there is a clear relationship between these parameters, thus indicating that the network structure described by the elementary flux modes had captured a significant part of the metabolic activity in both biological systems. In B. napus, the extension of the elementary flux mode analysis to an enlarged metabolic network still resulted in a clear relationship between the change in the coefficients and that of the measured fluxes. Nevertheless, the limitations of the method to fit some particular fluxes are discussed.

CONCLUSION

This consistency between EFM analysis and experimental flux measurements, validated on two metabolic systems allows us to conclude that elementary flux mode analysis could be a useful tool to complement (13)C metabolic flux analysis, by allowing the prediction of changes in internal fluxes before carbon labelling experiments.

摘要

背景

¹³C代谢通量分析是比较两种或更多生理状态的相关方法之一。从更理论的角度来看,可以分析代谢网络的结构特性,以探索可行的代谢行为并定义稳态通量分布的边界。基本通量模式分析是进行此分析的最有效方法之一。在此背景下,最近的方法倾向于将实验通量测量结果与拓扑网络分析进行比较。

结果

针对有实验通量图的一种细菌(谷氨酸棒杆菌)和一种植物(甘蓝型油菜)建立了描述中心碳代谢主要途径的代谢网络。然后使用基本通量模式的概念研究每个网络的结构特性。为此,通过使用选定的基本通量模式集,计算网络内每个反应的通量效率系数。然后比较通量效率和实验测量通量的相对差异,该差异反映了底物的变化,即谷氨酸棒杆菌的糖源和甘蓝型油菜的氮源。对于这两种生物,这些参数之间存在明显的关系,这表明基本通量模式描述的网络结构捕获了两个生物系统中代谢活性的很大一部分。在甘蓝型油菜中,将基本通量模式分析扩展到更大的代谢网络仍然导致系数变化与测量通量变化之间存在明显的关系。然而,也讨论了该方法在拟合某些特定通量方面的局限性。

结论

在两个代谢系统上验证的基本通量模式分析与实验通量测量之间的这种一致性使我们得出结论,基本通量模式分析可以成为补充¹³C代谢通量分析的有用工具,通过在碳标记实验之前预测内部通量的变化。

https://cdn.ncbi.nlm.nih.gov/pmc/blobs/ae8b/3148577/a34d8d01e3d0/1752-0509-5-95-1.jpg

文献检索

告别复杂PubMed语法,用中文像聊天一样搜索,搜遍4000万医学文献。AI智能推荐,让科研检索更轻松。

立即免费搜索

文件翻译

保留排版,准确专业,支持PDF/Word/PPT等文件格式,支持 12+语言互译。

免费翻译文档

深度研究

AI帮你快速写综述,25分钟生成高质量综述,智能提取关键信息,辅助科研写作。

立即免费体验