Chen Chong, Wu Fan, Geng Hongwei, Shen Wei, Wang Mingtai
Institute of Plasma Physics, Chinese Academy of Sciences, Hefei 230031, PR China.
Nanoscale Res Lett. 2011 Apr 19;6(1):350. doi: 10.1186/1556-276X-6-350.
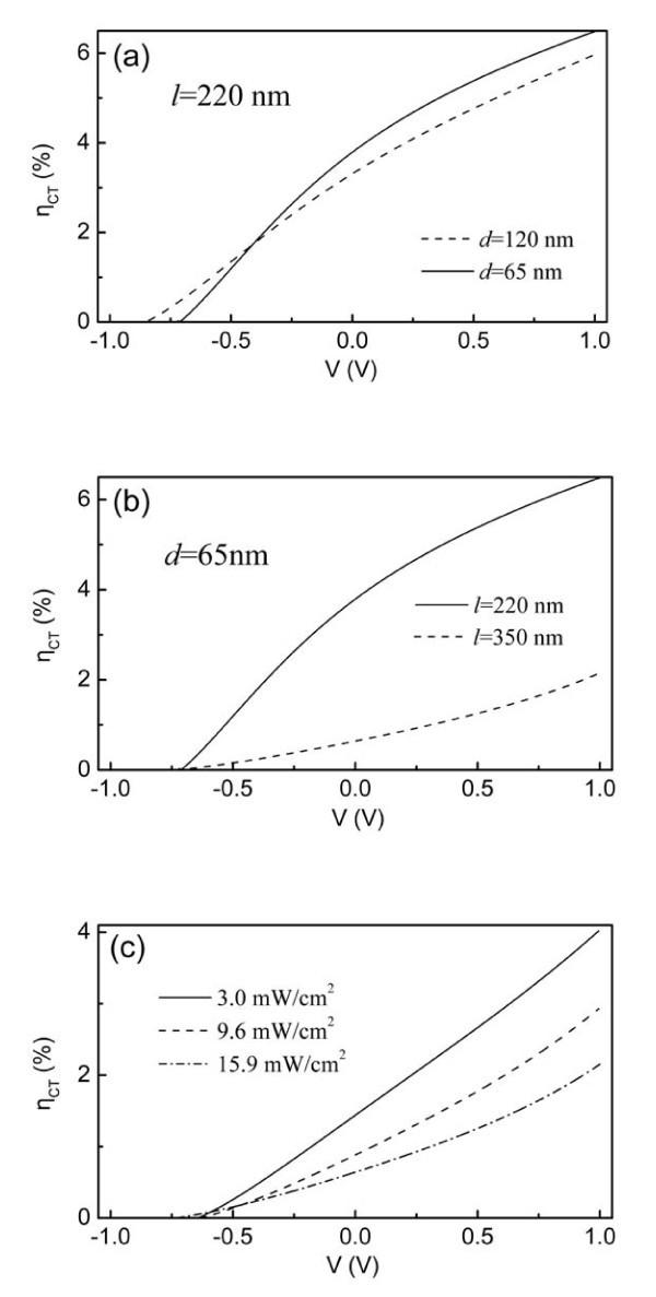
The photocurrent in bilayer polymer photovoltaic cells is dominated by the exciton dissociation efficiency at donor/acceptor interface. An analytical model is developed for the photocurrent-voltage characteristics of the bilayer polymer/TiO2 photovoltaic cells. The model gives an analytical expression for the exciton dissociation efficiency at the interface, and explains the dependence of the photocurrent of the devices on the internal electric field, the polymer and TiO2 layer thicknesses. Bilayer polymer/TiO2 cells consisting of poly[2-methoxy-5-(2-ethylhexyloxy)-1,4-phenylenevinylene] (MEH-PPV) and TiO2, with different thicknesses of the polymer and TiO2 films, were prepared for experimental purposes. The experimental results for the prepared bilayer MEH-PPV/TiO2 cells under different conditions are satisfactorily fitted to the model. Results show that increasing TiO2 or the polymer layer in thickness will reduce the exciton dissociation efficiency in the device and further the photocurrent. It is found that the photocurrent is determined by the competition between the exciton dissociation and charge recombination at the donor/acceptor interface, and the increase in photocurrent under a higher incident light intensity is due to the increased exciton density rather than the increase in the exciton dissociation efficiency.
双层聚合物光伏电池中的光电流主要由供体/受体界面处的激子解离效率决定。针对双层聚合物/TiO₂光伏电池的光电流-电压特性建立了一个分析模型。该模型给出了界面处激子解离效率的解析表达式,并解释了器件光电流对内部电场、聚合物和TiO₂层厚度的依赖性。为了实验目的,制备了由聚[2-甲氧基-5-(2-乙基己氧基)-1,4-亚苯基乙烯基](MEH-PPV)和TiO₂组成的双层聚合物/TiO₂电池,其中聚合物和TiO₂薄膜的厚度不同。所制备的双层MEH-PPV/TiO₂电池在不同条件下的实验结果与该模型拟合良好。结果表明,增加TiO₂或聚合物层的厚度会降低器件中的激子解离效率,进而降低光电流。研究发现,光电流由供体/受体界面处激子解离与电荷复合之间的竞争决定,在较高入射光强度下光电流的增加是由于激子密度增加而非激子解离效率提高。