• 文献检索
  • 文档翻译
  • 深度研究
  • 学术资讯
  • Suppr Zotero 插件Zotero 插件
  • 邀请有礼
  • 套餐&价格
  • 历史记录
应用&插件
Suppr Zotero 插件Zotero 插件浏览器插件Mac 客户端Windows 客户端微信小程序
定价
高级版会员购买积分包购买API积分包
服务
文献检索文档翻译深度研究API 文档MCP 服务
关于我们
关于 Suppr公司介绍联系我们用户协议隐私条款
关注我们

Suppr 超能文献

核心技术专利:CN118964589B侵权必究
粤ICP备2023148730 号-1Suppr @ 2026

文献检索

告别复杂PubMed语法,用中文像聊天一样搜索,搜遍4000万医学文献。AI智能推荐,让科研检索更轻松。

立即免费搜索

文件翻译

保留排版,准确专业,支持PDF/Word/PPT等文件格式,支持 12+语言互译。

免费翻译文档

深度研究

AI帮你快速写综述,25分钟生成高质量综述,智能提取关键信息,辅助科研写作。

立即免费体验

单次芥子油结肠刺激后小鼠小肠大麻素受体的变化。

Small intestinal cannabinoid receptor changes following a single colonic insult with oil of mustard in mice.

机构信息

Johnson & Johnson Pharmaceutical Research and Development LLC Spring House, PA, USA.

出版信息

Front Pharmacol. 2010 Nov 19;1:132. doi: 10.3389/fphar.2010.00132. eCollection 2010.

DOI:10.3389/fphar.2010.00132
PMID:21779244
原文链接:https://pmc.ncbi.nlm.nih.gov/articles/PMC3134866/
Abstract

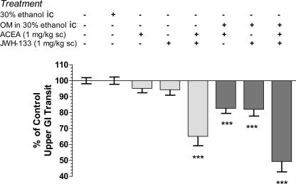
Cannabinoids are known to be clinically beneficial for control of appetite disorders and nausea/vomiting, with emerging data that they can impact other GI disorders, such as inflammation. Post-inflammatory irritable bowel syndrome (PI-IBS) is a condition of perturbed intestinal function that occurs subsequent to earlier periods of intestinal inflammation. Cannabinoid 1 receptor (CB1R) and CB2R alterations in GI inflammation have been demonstrated in both animal models and clinically, but their continuing role in the post-inflammatory period has only been implicated to date. Therefore, to provide direct evidence for CBR involvement in altered GI functions in the absence of overt inflammation, we used a model of enhanced upper GI transit that persists for up to 4 weeks after a single insult by intracolonic 0.5% oil of mustard (OM) in mice. In mice administered OM, CB1R immunostaining in the myenteric plexus was reduced at day 7, when colonic inflammation is subsiding, and then increased at 28 days, compared to tissue from age-matched vehicle-treated mice. In the lamina propria CB2R immunostaining density was also increased at day 28. In mice tested 28 day after OM, either a CB1R-selective agonist, ACEA (1 and 3 mg/kg, s.c.) or a CB2R-selective agonist, JWH-133 (3 and 10 mg/kg, s.c.) reduced the enhanced small intestinal transit in a dose-related manner. Doses of ACEA and JWH-133 (1 mg/kg), alone or combined, reduced small intestinal transit of OM-treated mice to a greater extent than control mice. Thus, in this post-colonic inflammation model, both CBR subtypes are up-regulated and there is increased efficacy of both CB1R and CB2R agonists. We conclude that CBR remodeling occurs not only during GI inflammation but continues during the recovery phase. Thus, either CB1R- or CB2-selective agonists could be efficacious for modulating GI motility in individuals experiencing diarrhea-predominant PI-IBS.

摘要

大麻素已被证实对控制食欲紊乱和恶心/呕吐具有临床益处,并有新的数据表明它们可以影响其他胃肠道疾病,如炎症。炎症后肠易激综合征(PI-IBS)是一种肠道功能紊乱的疾病,发生在早期肠道炎症之后。在动物模型和临床研究中均已证实,大麻素 1 型受体(CB1R)和 CB2R 在胃肠道炎症中发生改变,但它们在炎症后阶段的持续作用迄今为止仅被暗示。因此,为了提供 CBR 参与无明显炎症的改变的胃肠道功能的直接证据,我们使用了一种增强的上胃肠道转运模型,该模型在单次给予肠道内 0.5%芥子油(OM)后可持续长达 4 周在小鼠中。在给予 OM 的小鼠中,在结肠炎症消退时(第 7 天),肌间神经丛中的 CB1R 免疫染色减少,而与年龄匹配的载体处理小鼠的组织相比,在 28 天时增加。在固有层中 CB2R 免疫染色密度也在第 28 天增加。在给予 OM 后 28 天测试的小鼠中,CB1R 选择性激动剂 ACEA(1 和 3mg/kg,皮下注射)或 CB2R 选择性激动剂 JWH-133(3 和 10mg/kg,皮下注射)以剂量依赖性方式减少增强的小肠转运。ACEA 和 JWH-133(1mg/kg)的剂量单独或联合使用,使 OM 处理的小鼠的小肠转运减少程度大于对照小鼠。因此,在这种结肠后炎症模型中,两种 CBR 亚型均上调,并且两种 CB1R 和 CB2R 激动剂的疗效均增加。我们得出结论,CBR 重塑不仅发生在胃肠道炎症期间,而且在恢复阶段仍在继续。因此,CB1R-或 CB2 选择性激动剂都可能有效调节经历腹泻为主的 PI-IBS 的个体的胃肠道动力。

https://cdn.ncbi.nlm.nih.gov/pmc/blobs/a383/3134866/a726efb59f72/fphar-01-00132-g004.jpg
https://cdn.ncbi.nlm.nih.gov/pmc/blobs/a383/3134866/742def4be545/fphar-01-00132-g001.jpg
https://cdn.ncbi.nlm.nih.gov/pmc/blobs/a383/3134866/187d2f8897b9/fphar-01-00132-g002.jpg
https://cdn.ncbi.nlm.nih.gov/pmc/blobs/a383/3134866/c963d089b5e3/fphar-01-00132-g003.jpg
https://cdn.ncbi.nlm.nih.gov/pmc/blobs/a383/3134866/a726efb59f72/fphar-01-00132-g004.jpg
https://cdn.ncbi.nlm.nih.gov/pmc/blobs/a383/3134866/742def4be545/fphar-01-00132-g001.jpg
https://cdn.ncbi.nlm.nih.gov/pmc/blobs/a383/3134866/187d2f8897b9/fphar-01-00132-g002.jpg
https://cdn.ncbi.nlm.nih.gov/pmc/blobs/a383/3134866/c963d089b5e3/fphar-01-00132-g003.jpg
https://cdn.ncbi.nlm.nih.gov/pmc/blobs/a383/3134866/a726efb59f72/fphar-01-00132-g004.jpg

相似文献

1
Small intestinal cannabinoid receptor changes following a single colonic insult with oil of mustard in mice.单次芥子油结肠刺激后小鼠小肠大麻素受体的变化。
Front Pharmacol. 2010 Nov 19;1:132. doi: 10.3389/fphar.2010.00132. eCollection 2010.
2
Agonists of cannabinoid receptor 1 and 2 inhibit experimental colitis induced by oil of mustard and by dextran sulfate sodium.大麻素受体1和2的激动剂可抑制由芥子油和葡聚糖硫酸钠诱导的实验性结肠炎。
Am J Physiol Gastrointest Liver Physiol. 2006 Aug;291(2):G364-71. doi: 10.1152/ajpgi.00407.2005. Epub 2006 Mar 30.
3
Acute colitis induction by oil of mustard results in later development of an IBS-like accelerated upper GI transit in mice.用芥子油诱导急性结肠炎会导致小鼠后期出现类似肠易激综合征的加速上消化道转运。
Am J Physiol Gastrointest Liver Physiol. 2005 Jun;288(6):G1266-73. doi: 10.1152/ajpgi.00444.2004. Epub 2005 Feb 3.
4
Activation of cannabinoid 2 receptor relieves colonic hypermotility in a rat model of irritable bowel syndrome.大麻素 2 型受体的激活可缓解肠易激综合征大鼠模型中的结肠高运动性。
Neurogastroenterol Motil. 2019 Jun;31(6):e13555. doi: 10.1111/nmo.13555. Epub 2019 Feb 21.
5
Involvement of cannabinoid receptors in gut motility and visceral perception.大麻素受体在肠道运动和内脏感觉中的作用。
Br J Pharmacol. 2004 Apr;141(8):1335-45. doi: 10.1038/sj.bjp.0705783.
6
Modulation of gastrointestinal function by MuDelta, a mixed µ opioid receptor agonist/ µ opioid receptor antagonist.MuDelta 通过混合 μ 阿片受体激动剂/μ 阿片受体拮抗剂对胃肠道功能的调节。
Br J Pharmacol. 2012 Nov;167(5):1111-25. doi: 10.1111/j.1476-5381.2012.02068.x.
7
Long-term cannabinoid type 2 receptor agonist therapy decreases bacterial translocation in rats with cirrhosis and ascites.长期大麻素 2 型受体激动剂治疗可减少肝硬化和腹水大鼠的细菌易位。
J Hepatol. 2014 Nov;61(5):1004-13. doi: 10.1016/j.jhep.2014.05.049. Epub 2014 Jun 19.
8
In vitro and non-invasive in vivo effects of the cannabinoid-1 receptor agonist AM841 on gastrointestinal motor function in the rat.大麻素-1受体激动剂AM841对大鼠胃肠运动功能的体外及非侵入性体内效应
Neurogastroenterol Motil. 2015 Dec;27(12):1721-35. doi: 10.1111/nmo.12668. Epub 2015 Sep 20.
9
Methyl-orvinol-Dual activity opioid receptor ligand inhibits gastrointestinal transit and alleviates abdominal pain in the mouse models mimicking diarrhea-predominant irritable bowel syndrome.甲基奥昔诺醇——双活性阿片受体配体在模拟腹泻型肠易激综合征的小鼠模型中抑制胃肠蠕动并减轻腹痛。
Pharmacol Rep. 2017 Apr;69(2):350-357. doi: 10.1016/j.pharep.2016.12.001. Epub 2016 Dec 5.
10
Cannabinoid receptor type-2 stimulation, blockade, and deletion alter the vascular inflammatory responses to traumatic brain injury.2型大麻素受体的刺激、阻断和缺失会改变对创伤性脑损伤的血管炎症反应。
J Neuroinflammation. 2014 Nov 22;11:191. doi: 10.1186/s12974-014-0191-6.

引用本文的文献

1
Cannabidiol and Intestinal Motility: a Systematic Review.大麻二酚与肠道蠕动:一项系统综述
Curr Dev Nutr. 2023 Jul 17;7(10):101972. doi: 10.1016/j.cdnut.2023.101972. eCollection 2023 Oct.
2
Involvement of the cannabinoid system in chronic inflammatory intestinal diseases: opportunities for new therapies.大麻素系统在慢性炎症性肠病中的作用:新疗法的机遇
Intest Res. 2022 Oct;20(4):392-417. doi: 10.5217/ir.2021.00160. Epub 2022 May 31.
3
Pharmacological Properties, Therapeutic Potential and Molecular Mechanisms of JWH133, a CB2 Receptor-Selective Agonist.

本文引用的文献

1
G1359A polymorphism in the cannabinoid receptor-1 gene is associated with metabolic syndrome in the Chinese Han population.大麻素受体 1 基因 G1359A 多态性与中国汉族人群代谢综合征相关。
Arch Med Res. 2010 Jul;41(5):378-82. doi: 10.1016/j.arcmed.2010.07.010.
2
Cannabinoid receptor 1 gene polymorphism and irritable bowel syndrome in the Korean population: a hypothesis-generating study.大麻素受体 1 基因多态性与韩国人群肠易激综合征:一项假说生成研究。
J Clin Gastroenterol. 2011 Jan;45(1):45-9. doi: 10.1097/MCG.0b013e3181dd1573.
3
Functionally selective cannabinoid receptor signalling: therapeutic implications and opportunities.
CB2受体选择性激动剂JWH133的药理特性、治疗潜力及分子机制
Front Pharmacol. 2021 Jul 30;12:702675. doi: 10.3389/fphar.2021.702675. eCollection 2021.
4
Anti-inflammatory effect of cannabinoid agonist WIN55, 212 on mouse experimental colitis is related to inhibition of p38MAPK.大麻素激动剂WIN55,212对小鼠实验性结肠炎的抗炎作用与抑制p38丝裂原活化蛋白激酶有关。
World J Gastroenterol. 2016 Nov 21;22(43):9515-9524. doi: 10.3748/wjg.v22.i43.9515.
5
The Effects of an Extract of Atractylodes Japonica Rhizome, SKI3246 on Gastrointestinal Motility in Guinea Pigs.白术提取物SKI3246对豚鼠胃肠动力的影响。
J Neurogastroenterol Motil. 2015 Jul 30;21(3):352-60. doi: 10.5056/jnm14112.
6
Palmitoylethanolamide normalizes intestinal motility in a model of post-inflammatory accelerated transit: involvement of CB₁ receptors and TRPV1 channels.在炎症后加速转运模型中,棕榈酰乙醇胺可使肠道运动恢复正常:CB₁受体和TRPV1通道的作用。
Br J Pharmacol. 2014 Sep;171(17):4026-37. doi: 10.1111/bph.12759.
7
Novel insights which may translate into treatments for irritable bowel syndrome.可能转化为肠易激综合征治疗方法的新见解。
Front Pharmacol. 2013 Dec 31;4:160. doi: 10.3389/fphar.2013.00160. eCollection 2013.
8
Drug development for the irritable bowel syndrome: current challenges and future perspectives.肠易激综合征的药物研发:当前的挑战与未来展望。
Front Pharmacol. 2013 Feb 1;4:7. doi: 10.3389/fphar.2013.00007. eCollection 2013.
9
Effects of ramosetron on gastrointestinal transit of Guinea pig.雷莫司琼对豚鼠胃肠转运的影响。
J Neurogastroenterol Motil. 2013 Jan;19(1):36-41. doi: 10.5056/jnm.2013.19.1.36. Epub 2013 Jan 8.
功能性选择的大麻素受体信号:治疗意义和机会。
Biochem Pharmacol. 2010 Jul 1;80(1):1-12. doi: 10.1016/j.bcp.2010.02.013. Epub 2010 Mar 3.
4
Cannabinoids and the gut: new developments and emerging concepts.大麻素与肠道:新进展与新兴概念。
Pharmacol Ther. 2010 Apr;126(1):21-38. doi: 10.1016/j.pharmthera.2009.12.005. Epub 2010 Feb 1.
5
Mustard oil enhances spinal neuronal responses to noxious heat but not cooling.芥子油增强脊髓神经元对有害热刺激的反应,但对冷刺激无此作用。
Neurosci Lett. 2009 Sep 25;461(3):271-4. doi: 10.1016/j.neulet.2009.06.036. Epub 2009 Jun 21.
6
Cannabinoids in intestinal inflammation and cancer.肠道炎症与癌症中的大麻素
Pharmacol Res. 2009 Aug;60(2):117-25. doi: 10.1016/j.phrs.2009.03.008. Epub 2009 Mar 18.
7
Activation of the cannabinoid 2 receptor (CB2) protects against experimental colitis.大麻素 2 型受体(CB2)的激活可预防实验性结肠炎。
Inflamm Bowel Dis. 2009 Nov;15(11):1678-85. doi: 10.1002/ibd.20960.
8
CB1 receptors mediate the analgesic effects of cannabinoids on colorectal distension-induced visceral pain in rodents.CB1受体介导大麻素对啮齿动物结肠扩张诱导的内脏痛的镇痛作用。
J Neurosci. 2009 Feb 4;29(5):1554-64. doi: 10.1523/JNEUROSCI.5166-08.2009.
9
The role of the endocannabinoid system in the pathophysiology and treatment of irritable bowel syndrome.内源性大麻素系统在肠易激综合征病理生理学及治疗中的作用
Neurogastroenterol Motil. 2008 Aug;20(8):857-68. doi: 10.1111/j.1365-2982.2008.01175.x.
10
Inhibitory effect of salvinorin A, from Salvia divinorum, on ileitis-induced hypermotility: cross-talk between kappa-opioid and cannabinoid CB(1) receptors.来自鼠尾草的鼠尾草酸对回肠炎诱导的运动亢进的抑制作用:κ-阿片受体与大麻素CB(1)受体之间的相互作用
Br J Pharmacol. 2008 Nov;155(5):681-9. doi: 10.1038/bjp.2008.294. Epub 2008 Jul 14.