Suppr超能文献

尿铁调素对排除体外循环相关急性肾损伤具有附加价值:一项观察性队列研究。

Urine hepcidin has additive value in ruling out cardiopulmonary bypass-associated acute kidney injury: an observational cohort study.

机构信息

Department of Nephrology and Hypertension & Endocrinology and Metabolic Diseases, Otto-von-Guericke-University, Leipziger Strasse 44, D-39120 Magdeburg, Germany.

出版信息

Crit Care. 2011 Aug 4;15(4):R186. doi: 10.1186/cc10339.

Abstract

INTRODUCTION

Conventional markers of acute kidney injury (AKI) lack diagnostic accuracy and are expressed only late after cardiac surgery with cardiopulmonary bypass (CPB). Recently, interest has focused on hepcidin, a regulator of iron homeostasis, as a unique renal biomarker.

METHODS

We studied 100 adult patients in the control arm of a randomized, controlled trial http://www.clinicaltrials.gov/NCT00672334 who were identified as being at increased risk of AKI after cardiac surgery with CPB. AKI was defined according to the Risk, Injury, Failure, Loss, End-stage renal disease classification of AKI classification stage. Samples of plasma and urine were obtained simultaneously (1) before CPB (2) six hours after the start of CPB and (3) twenty-four hours after CPB. Plasma and urine hepcidin 25-isoforms were quantified by competitive enzyme-linked immunoassay.

RESULTS

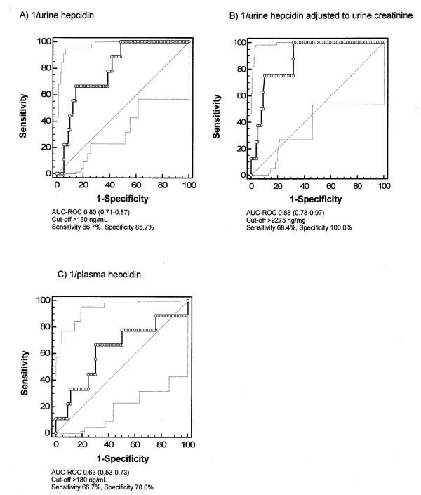
In AKI-free patients (N = 91), urine hepcidin concentrations had largely increased at six and twenty-four hours after CPB, and they were three to seven times higher compared to patients with subsequent AKI (N = 9) in whom postoperative urine hepcidin remained at preoperative levels (P = 0.004, P = 0.002). Furthermore, higher urine hepcidin and, even more so, urine hepcidin adjusted to urine creatinine at six hours after CPB discriminated patients who did not develop AKI (area under the curve (AUC) receiver operating characteristic curve 0.80 [95% confidence interval (95% CI) 0.71 to 0.87] and 0.88 [95% CI 0.78 to 0.97]) or did not need renal replacement therapy initiation (AUC 0.81 [95% CI 0.72 to 0.88] 0.88 [95% CI 0.70 to 0.99]) from those who did. At six hours, urine hepcidin adjusted to urine creatinine was an independent predictor of ruling out AKI (P = 0.011). Plasma hepcidin did not predict no development of AKI. The study findings remained essentially unchanged after excluding patients with preoperative chronic kidney disease.

CONCLUSIONS

Our findings suggest that urine hepcidin is an early predictive biomarker of ruling out AKI after CPB, thereby contributing to early patient risk stratification.

摘要

简介

传统的急性肾损伤(AKI)标志物缺乏诊断准确性,并且仅在心内直视手术后使用体外循环(CPB)后晚期表达。最近,铁调素(一种铁稳态调节剂)作为一种独特的肾生物标志物引起了人们的兴趣。

方法

我们研究了 100 名在接受 CPB 心脏手术后处于 AKI 高风险的成年患者,这些患者来自于一项随机对照试验的对照组(http://www.clinicaltrials.gov/NCT00672334)。根据 AKI 分类的风险、损伤、衰竭、损失、终末期肾病(RIFLE)分类标准,将 AKI 定义为 AKI。同时获得(1)CPB 前,(2)CPB 开始后 6 小时,(3)CPB 后 24 小时的血浆和尿液样本。通过竞争性酶联免疫吸附试验定量测定血浆和尿液中的 25-异构铁调素。

结果

在无 AKI 患者(N = 91)中,CPB 后 6 小时和 24 小时,尿铁调素浓度大量增加,与随后发生 AKI 的患者(N = 9)相比,术后尿铁调素仍处于术前水平,增加了 3 至 7 倍(P = 0.004,P = 0.002)。此外,CPB 后 6 小时,尿铁调素和,甚至更明显的是,尿铁调素调整到尿肌酐,可以区分未发生 AKI(曲线下面积(AUC)接受者操作特征曲线 0.80 [95%置信区间(95%CI)0.71 至 0.87] 和 0.88 [95%CI 0.78 至 0.97])或不需要开始肾脏替代治疗的患者(AUC 0.81 [95%CI 0.72 至 0.88] 0.88 [95%CI 0.70 至 0.99])。CPB 后 6 小时,尿铁调素调整到尿肌酐是排除 AKI 的独立预测因子(P = 0.011)。血浆铁调素不能预测 AKI 的发生。排除术前慢性肾脏病患者后,研究结果基本保持不变。

结论

我们的研究结果表明,尿铁调素是 CPB 后排除 AKI 的早期预测生物标志物,有助于早期患者风险分层。

https://cdn.ncbi.nlm.nih.gov/pmc/blobs/91e7/3387629/8c1ea28e11fa/cc10339-1.jpg

文献检索

告别复杂PubMed语法,用中文像聊天一样搜索,搜遍4000万医学文献。AI智能推荐,让科研检索更轻松。

立即免费搜索

文件翻译

保留排版,准确专业,支持PDF/Word/PPT等文件格式,支持 12+语言互译。

免费翻译文档

深度研究

AI帮你快速写综述,25分钟生成高质量综述,智能提取关键信息,辅助科研写作。

立即免费体验