• 文献检索
  • 文档翻译
  • 深度研究
  • 学术资讯
  • Suppr Zotero 插件Zotero 插件
  • 邀请有礼
  • 套餐&价格
  • 历史记录
应用&插件
Suppr Zotero 插件Zotero 插件浏览器插件Mac 客户端Windows 客户端微信小程序
定价
高级版会员购买积分包购买API积分包
服务
文献检索文档翻译深度研究API 文档MCP 服务
关于我们
关于 Suppr公司介绍联系我们用户协议隐私条款
关注我们

Suppr 超能文献

核心技术专利:CN118964589B侵权必究
粤ICP备2023148730 号-1Suppr @ 2026

文献检索

告别复杂PubMed语法,用中文像聊天一样搜索,搜遍4000万医学文献。AI智能推荐,让科研检索更轻松。

立即免费搜索

文件翻译

保留排版,准确专业,支持PDF/Word/PPT等文件格式,支持 12+语言互译。

免费翻译文档

深度研究

AI帮你快速写综述,25分钟生成高质量综述,智能提取关键信息,辅助科研写作。

立即免费体验

脑出血后动态脑自动调节:一项病例对照研究。

Dynamic cerebral autoregulation after intracerebral hemorrhage: A case-control study.

机构信息

Neuroscience Institute, The Queen's Medical Center, Honolulu, Hawaii, USA.

出版信息

BMC Neurol. 2011 Aug 31;11:108. doi: 10.1186/1471-2377-11-108.

DOI:10.1186/1471-2377-11-108
PMID:21884574
原文链接:https://pmc.ncbi.nlm.nih.gov/articles/PMC3175166/
Abstract

BACKGROUND

Dynamic cerebral autoregulation after intracerebral hemorrhage (ICH) remains poorly understood. We performed a case-control study to compare dynamic autoregulation between ICH patients and healthy controls.

METHODS

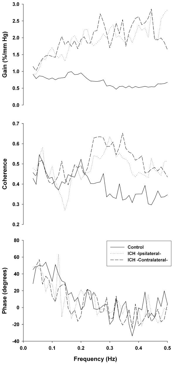
Twenty-one patients (66 ± 15 years) with early (< 72 hours) lobar or basal ganglia ICH were prospectively studied and compared to twenty-three age-matched controls (65 ± 9 years). Continuous measures of mean flow velocity (MFV) in the middle cerebral artery and mean arterial blood pressure (MAP) were obtained over 5 min. Cerebrovascular resistance index (CVRi) was calculated as the ratio of MAP to MFV. Dynamic cerebral autoregulation was assessed using transfer function analysis of spontaneous MAP and MFV oscillations in the low (0.03-0.15 Hz) and high (0.15-0.5 Hz) frequency ranges.

RESULTS

The ICH group demonstrated higher CVRi compared to controls (ipsilateral: 1.91 ± 1.01 mmHg·s·cm-1, p = 0.04; contralateral: 2.01 ± 1.24 mmHg·s·cm-1, p = 0.04; vs. control: 1.42 ± 0.45 mmHg·s·cm-1). The ICH group had higher gains than controls in the low (ipsilateral: 1.33 ± 0.58%/mmHg, p = 0.0005; contralateral: 1.47 ± 0.98%/mmHg, p = 0.004; vs. control: 0.82 ± 0.30%/mmHg) and high (ipsilateral: 2.11 ± 1.31%/mmHg, p < 0.0001; contralateral: 2.14 ± 1.49%/mmHg, p < 0.0001; vs. control: 0.66 ± 0.26%/mmHg) frequency ranges. The ICH group also had higher coherence in the contralateral hemisphere than the control (ICH contralateral: 0.53 ± 0.38, p = 0.02; vs. control: 0.38 ± 0.15) in the high frequency range.

CONCLUSIONS

Patients with ICH had higher gains in a wide range of frequency ranges compared to controls. These findings suggest that dynamic cerebral autoregulation may be less effective in the early days after ICH. Further study is needed to determine the relationship between hematoma size and severity of autoregulation impairment.

摘要

背景

脑出血(ICH)后动态脑自动调节仍知之甚少。我们进行了一项病例对照研究,以比较 ICH 患者和健康对照者之间的自动调节。

方法

前瞻性研究了 21 例(66 ± 15 岁)早期(<72 小时)额叶或基底节 ICH 患者,并与 23 例年龄匹配的对照组(65 ± 9 岁)进行了比较。连续测量大脑中动脉的平均血流速度(MFV)和平均动脉血压(MAP)5 分钟。脑血管阻力指数(CVRi)计算为 MAP 与 MFV 的比值。使用低频(0.03-0.15 Hz)和高频(0.15-0.5 Hz)范围的自发 MAP 和 MFV 振荡的传递函数分析评估动态脑自动调节。

结果

ICH 组与对照组相比,CVRi 更高(同侧:1.91 ± 1.01 mmHg·s·cm-1,p = 0.04;对侧:2.01 ± 1.24 mmHg·s·cm-1,p = 0.04;与对照组相比:1.42 ± 0.45 mmHg·s·cm-1)。ICH 组的低频(同侧:1.33 ± 0.58%/mmHg,p = 0.0005;对侧:1.47 ± 0.98%/mmHg,p = 0.004;与对照组相比:0.82 ± 0.30%/mmHg)和高频(同侧:2.11 ± 1.31%/mmHg,p <0.0001;对侧:2.14 ± 1.49%/mmHg,p <0.0001;与对照组相比:0.66 ± 0.26%/mmHg)增益均高于对照组。ICH 组对侧半球的相干性也高于对照组(ICH 对侧:0.53 ± 0.38,p = 0.02;与对照组相比:0.38 ± 0.15)在高频范围内。

结论

与对照组相比,ICH 患者在较宽的频率范围内具有更高的增益。这些发现表明,ICH 后早期的脑自动调节可能效果较差。需要进一步研究血肿大小与自动调节损伤严重程度之间的关系。

https://cdn.ncbi.nlm.nih.gov/pmc/blobs/44f8/3175166/424364613358/1471-2377-11-108-3.jpg
https://cdn.ncbi.nlm.nih.gov/pmc/blobs/44f8/3175166/1e2e9150934c/1471-2377-11-108-1.jpg
https://cdn.ncbi.nlm.nih.gov/pmc/blobs/44f8/3175166/d0725b3f21f0/1471-2377-11-108-2.jpg
https://cdn.ncbi.nlm.nih.gov/pmc/blobs/44f8/3175166/424364613358/1471-2377-11-108-3.jpg
https://cdn.ncbi.nlm.nih.gov/pmc/blobs/44f8/3175166/1e2e9150934c/1471-2377-11-108-1.jpg
https://cdn.ncbi.nlm.nih.gov/pmc/blobs/44f8/3175166/d0725b3f21f0/1471-2377-11-108-2.jpg
https://cdn.ncbi.nlm.nih.gov/pmc/blobs/44f8/3175166/424364613358/1471-2377-11-108-3.jpg

相似文献

1
Dynamic cerebral autoregulation after intracerebral hemorrhage: A case-control study.脑出血后动态脑自动调节:一项病例对照研究。
BMC Neurol. 2011 Aug 31;11:108. doi: 10.1186/1471-2377-11-108.
2
Impaired dynamic cerebral autoregulation in trained breath-hold divers.经过训练的屏气潜水员大脑动态自动调节功能受损。
J Appl Physiol (1985). 2019 Jun 1;126(6):1694-1700. doi: 10.1152/japplphysiol.00210.2019. Epub 2019 May 9.
3
Reduced cerebral blood flow velocity and impaired cerebral autoregulation in patients with Fabry disease.法布里病患者脑血流速度降低及脑自动调节功能受损。
J Neurol. 2004 May;251(5):564-70. doi: 10.1007/s00415-004-0364-9.
4
Dynamic cerebral autoregulation is intact in chronic kidney disease.慢性肾脏病患者的动态脑自动调节功能正常。
Physiol Rep. 2022 Nov;10(21):e15495. doi: 10.14814/phy2.15495.
5
Secondary decline of cerebral autoregulation is associated with worse outcome after intracerebral hemorrhage.继发性脑自动调节功能下降与脑出血后预后不良有关。
Intensive Care Med. 2010 Feb;36(2):264-71. doi: 10.1007/s00134-009-1698-7. Epub 2009 Oct 17.
6
Dynamic cerebral autoregulation in acute intracerebral hemorrhage.急性脑出血中的动态脑自动调节。
Stroke. 2013 Oct;44(10):2722-8. doi: 10.1161/STROKEAHA.113.001913. Epub 2013 Aug 13.
7
Effects of a single mannitol bolus on cerebral hemodynamics in intracerebral hemorrhage: a transcranial Doppler study.甘露醇单次推注对脑出血患者脑血流动力学的影响:经颅多普勒研究。
Cerebrovasc Dis. 2011;32(5):447-53. doi: 10.1159/000330639. Epub 2011 Oct 14.
8
Cerebral autoregulation in hemorrhagic stroke: A systematic review and meta-analysis of transcranial Doppler ultrasonography studies.出血性卒中的脑自动调节:经颅多普勒超声研究的系统评价和荟萃分析
J Clin Ultrasound. 2019 Jan;47(1):14-21. doi: 10.1002/jcu.22645. Epub 2018 Sep 30.
9
Effects of heat stress on dynamic cerebral autoregulation during large fluctuations in arterial blood pressure.热应激对动脉血压大幅波动时动态脑自动调节的影响。
J Appl Physiol (1985). 2009 Dec;107(6):1722-9. doi: 10.1152/japplphysiol.00475.2009. Epub 2009 Oct 1.
10
Temporal Course of Dynamic Cerebral Autoregulation in Patients With Intracerebral Hemorrhage.脑出血患者动态脑自动调节的时间进程
Stroke. 2016 Mar;47(3):674-81. doi: 10.1161/STROKEAHA.115.011453. Epub 2016 Feb 4.

引用本文的文献

1
Individualized autoregulation-guided arterial blood pressure management in neurocritical care.神经重症监护中基于个体化自动调节指导的动脉血压管理
Neurotherapeutics. 2025 Jan;22(1):e00526. doi: 10.1016/j.neurot.2025.e00526. Epub 2025 Jan 18.
2
Hypothermia and temperature modulation for intracerebral hemorrhage (ICH): pathophysiology and translational applications.脑出血(ICH)的体温过低与温度调节:病理生理学与转化应用
Front Neurosci. 2024 Feb 19;18:1289705. doi: 10.3389/fnins.2024.1289705. eCollection 2024.
3
Mechanistic Evaluation of Diffusion Weighted Hyperintense Lesions After Large Spontaneous Intracerebral Hemorrhage: A Subgroup Analysis of MISTIE III.

本文引用的文献

1
Serial measurement of static and dynamic cerebrovascular autoregulation after brain injury.脑损伤后静态和动态脑血管自动调节的连续测量。
J Neurosurg Anesthesiol. 2011 Jan;23(1):41-4. doi: 10.1097/ANA.0b013e3181f35854.
2
Guidelines for the management of spontaneous intracerebral hemorrhage: a guideline for healthcare professionals from the American Heart Association/American Stroke Association.自发性脑出血管理指南:美国心脏协会/美国中风协会医疗保健专业人员指南。
Stroke. 2010 Sep;41(9):2108-29. doi: 10.1161/STR.0b013e3181ec611b. Epub 2010 Jul 22.
3
Effects of early intensive blood pressure-lowering treatment on the growth of hematoma and perihematomal edema in acute intracerebral hemorrhage: the Intensive Blood Pressure Reduction in Acute Cerebral Haemorrhage Trial (INTERACT).
自发性脑出血后弥散加权高信号病变的机制评估:MISTIE III 的亚组分析。
Neurocrit Care. 2024 Jun;40(3):1140-1150. doi: 10.1007/s12028-023-01890-3. Epub 2023 Dec 1.
4
Dynamic cerebral autoregulation in postpartum individuals with and without preeclampsia.子痫前期产妇与非子痫前期产妇产后的动态脑自动调节。
Pregnancy Hypertens. 2023 Sep;33:39-45. doi: 10.1016/j.preghy.2023.07.176. Epub 2023 Jul 29.
5
Intensive care management of arterial carbon dioxide in acute intracerebral haemorrhage: Case report of influences on cerebral haemodynamics.急性脑出血中动脉二氧化碳的重症监护管理:对脑血流动力学影响的病例报告
Ultrasound. 2020 Nov;28(4):260-265. doi: 10.1177/1742271X20903753. Epub 2020 Feb 5.
6
Impact of Cerebral Autoregulation Monitoring in Cerebrovascular Disease: A Systematic Review.脑自动调节监测对脑血管病的影响:系统评价。
Neurocrit Care. 2022 Jun;36(3):1053-1070. doi: 10.1007/s12028-022-01484-5. Epub 2022 Apr 5.
7
Ten Good Reasons to Practice Neuroultrasound in Critical Care Setting.在重症监护环境中开展神经超声检查的十大充分理由。
Front Neurol. 2022 Jan 13;12:799421. doi: 10.3389/fneur.2021.799421. eCollection 2021.
8
Noninvasive Optical Measurements of Dynamic Cerebral Autoregulation by Inducing Oscillatory Cerebral Hemodynamics.通过诱导振荡性脑血流动力学进行动态脑自动调节的无创光学测量
Front Neurol. 2021 Nov 16;12:745987. doi: 10.3389/fneur.2021.745987. eCollection 2021.
9
Review of studies on dynamic cerebral autoregulation in the acute phase of stroke and the relationship with clinical outcome.对脑卒中急性期动态脑自动调节研究及其与临床转归关系的研究综述。
J Cereb Blood Flow Metab. 2022 Mar;42(3):430-453. doi: 10.1177/0271678X211045222. Epub 2021 Sep 13.
10
Vascular health across young adulthood and midlife cerebral autoregulation, gait, and cognition.血管健康贯穿青年期和中年期:脑自动调节、步态和认知。
Alzheimers Dement. 2021 May;17(5):745-754. doi: 10.1002/alz.12246. Epub 2020 Dec 7.
早期强化降压治疗对急性脑出血血肿及血肿周围水肿生长的影响:急性脑出血强化降压试验(INTERACT)。
Stroke. 2010 Feb;41(2):307-12. doi: 10.1161/STROKEAHA.109.561795. Epub 2009 Dec 31.
4
Secondary decline of cerebral autoregulation is associated with worse outcome after intracerebral hemorrhage.继发性脑自动调节功能下降与脑出血后预后不良有关。
Intensive Care Med. 2010 Feb;36(2):264-71. doi: 10.1007/s00134-009-1698-7. Epub 2009 Oct 17.
5
Antihypertensive treatment of acute cerebral hemorrhage.急性脑出血的降压治疗。
Crit Care Med. 2010 Feb;38(2):637-48. doi: 10.1097/CCM.0b013e3181b9e1a5.
6
Loss of otolith function with age is associated with increased postural sway measures.随着年龄的增长,耳石功能的丧失与姿势摆动测量值的增加有关。
Neurosci Lett. 2009 Nov 6;465(1):10-5. doi: 10.1016/j.neulet.2009.08.057. Epub 2009 Aug 27.
7
Autoregulation in the posterior circulation is altered by the metabolic state of the visual cortex.后循环中的自动调节受视皮质代谢状态的影响。
Stroke. 2009 Jun;40(6):2062-7. doi: 10.1161/STROKEAHA.108.545285. Epub 2009 Apr 9.
8
Impaired cerebral vasomotor activity in spontaneous intracerebral hemorrhage.自发性脑出血时脑血流动力学活动受损。
Stroke. 2009 Mar;40(3):815-9. doi: 10.1161/STROKEAHA.108.531020. Epub 2009 Jan 8.
9
Monitoring of cerebrovascular autoregulation: facts, myths, and missing links.脑血管自动调节功能的监测:事实、误解与缺失环节
Neurocrit Care. 2009;10(3):373-86. doi: 10.1007/s12028-008-9175-7. Epub 2009 Jan 6.
10
Rapid blood pressure reduction in acute intracerebral hemorrhage: feasibility and safety.急性脑出血患者血压快速降低:可行性与安全性
Neurocrit Care. 2008;8(3):316-21. doi: 10.1007/s12028-008-9085-8.