• 文献检索
  • 文档翻译
  • 深度研究
  • 学术资讯
  • Suppr Zotero 插件Zotero 插件
  • 邀请有礼
  • 套餐&价格
  • 历史记录
应用&插件
Suppr Zotero 插件Zotero 插件浏览器插件Mac 客户端Windows 客户端微信小程序
定价
高级版会员购买积分包购买API积分包
服务
文献检索文档翻译深度研究API 文档MCP 服务
关于我们
关于 Suppr公司介绍联系我们用户协议隐私条款
关注我们

Suppr 超能文献

核心技术专利:CN118964589B侵权必究
粤ICP备2023148730 号-1Suppr @ 2026

文献检索

告别复杂PubMed语法,用中文像聊天一样搜索,搜遍4000万医学文献。AI智能推荐,让科研检索更轻松。

立即免费搜索

文件翻译

保留排版,准确专业,支持PDF/Word/PPT等文件格式,支持 12+语言互译。

免费翻译文档

深度研究

AI帮你快速写综述,25分钟生成高质量综述,智能提取关键信息,辅助科研写作。

立即免费体验

高通量分析合成肽在犬内脏利什曼病免疫诊断中的应用。

High-throughput analysis of synthetic peptides for the immunodiagnosis of canine visceral leishmaniasis.

机构信息

Departamento de Parasitologia, Instituto de Ciências Biológicas, Universidade Federal de Minas Gerais, Belo Horizonte, Brasil.

出版信息

PLoS Negl Trop Dis. 2011 Sep;5(9):e1310. doi: 10.1371/journal.pntd.0001310. Epub 2011 Sep 13.

DOI:10.1371/journal.pntd.0001310
PMID:21931874
原文链接:https://pmc.ncbi.nlm.nih.gov/articles/PMC3172188/
Abstract

BACKGROUND

Visceral leishmaniasis is the most severe form of leishmaniasis. Approximately 20% of zoonotic human visceral leishmaniasis worldwide is caused by Leishmania infantum, which is also known as Leishmania chagasi in Latin America, and disease incidence is increasing in urban and peri-urban areas of the tropics. In this form of disease, dogs are the main reservoirs. Diagnostic methods used to identify Leishmania infected animals are not able to detect all of the infected ones, which can compromise the effectiveness of disease control. Therefore, to contribute to the improvement of diagnostic methods for canine visceral leishmaniasis (CVL), we aimed to identify and test novel antigens using high-throughput analysis.

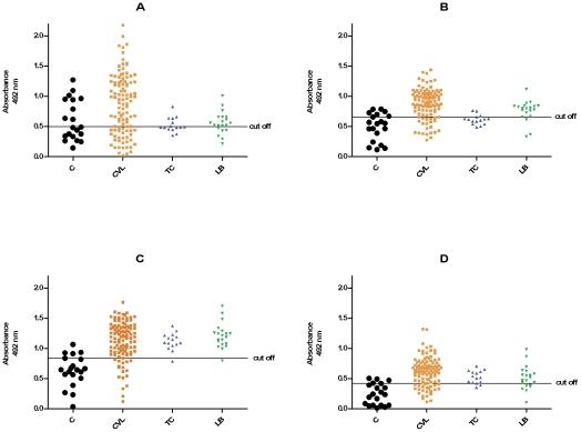
METHODOLOGY/PRINCIPAL FINDINGS: Immunodominant proteins from L. infantum were mapped in silico to predict B cell epitopes, and the 360 predicted peptides were synthesized on cellulose membranes. Immunoassays were used to select the most reactive peptides, which were then investigated with canine sera. Next, the 10 most reactive peptides were synthesized using solid phase peptide synthesis protocol and tested using ELISA. The sensitivity and specificity of these peptides were also compared to the EIE-LVC Bio-Manguinhos kit, which is recommended by the Brazilian Ministry of Health for use in leishmaniasis control programs. The sensitivity and specificity of the selected synthesized peptides was as high as 88.70% and 95.00%, respectively, whereas the EIE-LVC kit had a sensitivity of 13.08% and 100.00% of specificity. Although the tests based on synthetic peptides were able to diagnose up to 94.80% of asymptomatic dogs with leishmaniasis, the EIE-LVC kit failed to detect the disease in any of the infected asymptomatic dogs.

CONCLUSIONS/SIGNIFICANCE: Our study shows that ELISA using synthetic peptides is a technique with great potential for diagnosing CVL; furthermore, the use of these peptides in other diagnostic methodologies, such as immunochromatographic tests, could be beneficial to CVL control programs.

摘要

背景

内脏利什曼病是利什曼病中最严重的一种。全球约有 20%的人畜共患内脏利什曼病是由利什曼原虫引起的,在拉丁美洲也被称为恰加斯利什曼原虫,其在热带城市和城郊地区的发病率正在上升。在这种疾病形式中,狗是主要的储存宿主。用于识别感染利什曼原虫的动物的诊断方法无法检测到所有受感染的动物,这可能会影响疾病控制的效果。因此,为了有助于改进犬内脏利什曼病(CVL)的诊断方法,我们旨在使用高通量分析来识别和测试新的抗原。

方法/主要发现:利什曼原虫的免疫显性蛋白在计算机上被映射以预测 B 细胞表位,然后将 360 个预测肽合成在纤维素膜上。免疫测定用于选择最具反应性的肽,然后用犬血清进行研究。接下来,使用固相肽合成方案合成 10 个最具反应性的肽,并使用 ELISA 进行测试。还将这些肽的灵敏度和特异性与巴西卫生部推荐用于利什曼病控制计划的 EIE-LVC Bio-Manguinhos 试剂盒进行了比较。所选合成肽的灵敏度和特异性分别高达 88.70%和 95.00%,而 EIE-LVC 试剂盒的灵敏度和特异性分别为 13.08%和 100.00%。尽管基于合成肽的测试能够诊断高达 94.80%的无症状利什曼病犬,但 EIE-LVC 试剂盒未能检测到任何感染无症状犬的疾病。

结论/意义:我们的研究表明,使用合成肽的 ELISA 是一种具有很大潜力的诊断 CVL 的技术;此外,在其他诊断方法学中使用这些肽,如免疫层析试验,可能有助于 CVL 控制计划。

https://cdn.ncbi.nlm.nih.gov/pmc/blobs/9fad/3172188/5a4ac3d5628c/pntd.0001310.g003.jpg
https://cdn.ncbi.nlm.nih.gov/pmc/blobs/9fad/3172188/bace40e7977a/pntd.0001310.g001.jpg
https://cdn.ncbi.nlm.nih.gov/pmc/blobs/9fad/3172188/f5a6e464d42b/pntd.0001310.g002.jpg
https://cdn.ncbi.nlm.nih.gov/pmc/blobs/9fad/3172188/5a4ac3d5628c/pntd.0001310.g003.jpg
https://cdn.ncbi.nlm.nih.gov/pmc/blobs/9fad/3172188/bace40e7977a/pntd.0001310.g001.jpg
https://cdn.ncbi.nlm.nih.gov/pmc/blobs/9fad/3172188/f5a6e464d42b/pntd.0001310.g002.jpg
https://cdn.ncbi.nlm.nih.gov/pmc/blobs/9fad/3172188/5a4ac3d5628c/pntd.0001310.g003.jpg

相似文献

1
High-throughput analysis of synthetic peptides for the immunodiagnosis of canine visceral leishmaniasis.高通量分析合成肽在犬内脏利什曼病免疫诊断中的应用。
PLoS Negl Trop Dis. 2011 Sep;5(9):e1310. doi: 10.1371/journal.pntd.0001310. Epub 2011 Sep 13.
2
Novel recombinant multiepitope proteins for the diagnosis of asymptomatic leishmania infantum-infected dogs.用于诊断无症状婴儿利什曼原虫感染犬的新型重组多表位蛋白。
PLoS Negl Trop Dis. 2015 Jan 8;9(1):e3429. doi: 10.1371/journal.pntd.0003429. eCollection 2015 Jan.
3
High Performance of ELISA test using recombinant rLiNTPDase2 from Leishmania infantum: a Phase II diagnosis of Canine Visceral Leishmaniasis.使用重组利什曼原虫 rLiNTPDase2 的 ELISA 检测具有高灵敏度:犬内脏利什曼病的 II 期诊断。
Acta Trop. 2020 Sep;209:105535. doi: 10.1016/j.actatropica.2020.105535. Epub 2020 May 22.
4
High accuracy of an ELISA test based in a flagella antigen of Leishmania in serodiagnosis of canine visceral leishmaniasis with potential to improve the control measures in Brazil - A Phase II study.基于利什曼原虫鞭毛抗原的 ELISA 检测方法在犬内脏利什曼病血清学诊断中的高准确性,具有改善巴西控制措施的潜力——一项 II 期研究。
PLoS Negl Trop Dis. 2018 Oct 26;12(10):e0006871. doi: 10.1371/journal.pntd.0006871. eCollection 2018 Oct.
5
Canine visceral leishmaniosis: a comparative analysis of the EIE-leishmaniose-visceral-canina-Bio-Manguinhos and the IFI-leishmaniose-visceral-canina-Bio-Manguinhos kits.犬内脏利什曼病:对EIE-内脏利什曼病-犬用-生物曼古inhos试剂盒和IFI-内脏利什曼病-犬用-生物曼古inhos试剂盒的比较分析
Vet Parasitol. 2006 Apr 15;137(1-2):11-6. doi: 10.1016/j.vetpar.2005.12.020. Epub 2006 Jan 30.
6
Early detection and persistent positivity of anti-Leishmania antibodies using a recombinant protein-based ELISA in naturally infected dogs in Brazil.利用基于重组蛋白的 ELISA 在巴西自然感染的狗中进行早期检测和持续阳性的抗利什曼原虫抗体。
Parasit Vectors. 2021 Aug 12;14(1):398. doi: 10.1186/s13071-021-04895-z.
7
Leishmania infantum recombinant kinesin degenerated derived repeat (rKDDR): A novel potential antigen for serodiagnosis of visceral leishmaniasis.婴儿利什曼原虫重组驱动蛋白退行性衍生重复序列(rKDDR):一种用于内脏利什曼病血清学诊断的新型潜在抗原。
PLoS One. 2019 Jan 31;14(1):e0211719. doi: 10.1371/journal.pone.0211719. eCollection 2019.
8
Subtractive phage display selection from canine visceral leishmaniasis identifies novel epitopes that mimic Leishmania infantum antigens with potential serodiagnosis applications.从犬内脏利什曼病中进行减法噬菌体展示筛选,鉴定出模拟婴儿利什曼原虫抗原的新型表位,具有潜在的血清学诊断应用价值。
Clin Vaccine Immunol. 2014 Jan;21(1):96-106. doi: 10.1128/CVI.00583-13. Epub 2013 Nov 20.
9
Mapping B-cell epitopes for the peroxidoxin of Leishmania (Viannia) braziliensis and its potential for the clinical diagnosis of tegumentary and visceral leishmaniasis.巴西利什曼原虫(维扬尼亚种)过氧化物酶的B细胞表位定位及其在皮肤利什曼病和内脏利什曼病临床诊断中的潜力
PLoS One. 2014 Jun 12;9(6):e99216. doi: 10.1371/journal.pone.0099216. eCollection 2014.
10
Epitope mapping of the HSP83.1 protein of Leishmania braziliensis discloses novel targets for immunodiagnosis of tegumentary and visceral clinical forms of leishmaniasis.巴西利什曼原虫HSP83.1蛋白的表位作图揭示了用于皮肤型和内脏型利什曼病免疫诊断的新靶点。
Clin Vaccine Immunol. 2014 Jul;21(7):949-59. doi: 10.1128/CVI.00151-14. Epub 2014 May 7.

引用本文的文献

1
Antibody screening reveals antigenic proteins involved in and human interaction.抗体筛选揭示了与人类相互作用相关的抗原蛋白。
Front Cell Infect Microbiol. 2023 Jun 19;13:1118979. doi: 10.3389/fcimb.2023.1118979. eCollection 2023.
2
rMELEISH: A Novel Recombinant Multiepitope-Based Protein Applied to the Serodiagnosis of Both Canine and Human Visceral Leishmaniasis.rMELEISH:一种新型的基于重组多表位的蛋白质,应用于犬类和人类内脏利什曼病的血清学诊断。
Pathogens. 2023 Feb 11;12(2):302. doi: 10.3390/pathogens12020302.
3
A Promising Tool in Serological Diagnosis: Current Research Progress of Antigenic Epitopes in Infectious Diseases.

本文引用的文献

1
Analysis of Leishmania chagasi by 2-D difference gel electrophoresis (2-D DIGE) and immunoproteomic: identification of novel candidate antigens for diagnostic tests and vaccine.用 2-D 差异凝胶电泳(2-D DIGE)和免疫蛋白质组学分析恰加斯锥虫:鉴定用于诊断测试和疫苗的新型候选抗原。
J Proteome Res. 2011 May 6;10(5):2172-84. doi: 10.1021/pr101286y. Epub 2011 Mar 23.
2
Development of an immunochromatographic strip for the rapid detection of Toxoplasma gondii circulating antigens.用于快速检测弓形虫循环抗原的免疫层析试纸条的研制。
Parasitol Int. 2011 Jan;60(1):105-7. doi: 10.1016/j.parint.2010.11.002. Epub 2010 Nov 21.
3
血清学诊断中的一种有前景的工具:传染病中抗原表位的当前研究进展
Pathogens. 2022 Sep 25;11(10):1095. doi: 10.3390/pathogens11101095.
4
Exploring whole proteome to contrive multi-epitope-based vaccine for NeoCoV: An immunoinformtics and approach.探索全蛋白质组以设计针对 NeoCoV 的多表位疫苗:一种免疫信息学方法。
Front Immunol. 2022 Aug 3;13:956776. doi: 10.3389/fimmu.2022.956776. eCollection 2022.
5
Challenges in Serologic Diagnostics of Neglected Human Systemic Mycoses: An Overview on Characterization of New Targets.被忽视的人类系统性真菌病血清学诊断中的挑战:新靶点特征概述
Pathogens. 2022 May 11;11(5):569. doi: 10.3390/pathogens11050569.
6
Designing and Evaluation of a Recombinant Multiepitope Protein by Using ELISA for Diagnosis of Infected in Dogs.利用酶联免疫吸附测定法设计和评估用于犬感染诊断的重组多表位蛋白
Iran J Parasitol. 2021 Jul-Sep;16(3):377-385. doi: 10.18502/ijpa.v16i3.7090.
7
Immunoinformatics design of a novel epitope-based vaccine candidate against dengue virus.基于表位的新型登革热病毒疫苗候选物的免疫信息学设计。
Sci Rep. 2021 Oct 5;11(1):19707. doi: 10.1038/s41598-021-99227-7.
8
Screening of Putative Antigens and Serological Diagnosis for Caseous Lymphadenitis in Sheep by Enzyme-Linked Immunosorbent Assay.酶联免疫吸附测定法筛选绵羊干酪性淋巴结炎的潜在抗原及血清学诊断
Vet Med Int. 2021 Jul 31;2021:9931731. doi: 10.1155/2021/9931731. eCollection 2021.
9
Development of a Multi-Epitope Recombinant Protein for the Diagnosis of Human Visceral Leishmaniasis.用于诊断人类内脏利什曼病的多表位重组蛋白的研发
Iran J Parasitol. 2021 Jan-Mar;16(1):1-10. doi: 10.18502/ijpa.v16i1.5506.
10
Detection of Leishmania infantum Infection in Reservoir Dogs Using a Multiepitope Recombinant Protein (PQ10).使用多表位重组蛋白(PQ10)检测储存宿主犬中的婴儿利什曼原虫感染。
Arch Razi Inst. 2020 Oct;75(3):327-338. doi: 10.22092/ari.2019.126524.1346. Epub 2020 Oct 1.
Development of a convenient immunochromatographic strip for the diagnosis of infection with Japanese encephalitis virus in swine.
研制一种用于诊断猪感染日本脑炎病毒的便捷免疫层析条。
J Virol Methods. 2010 Sep;168(1-2):51-6. doi: 10.1016/j.jviromet.2010.04.015. Epub 2010 Apr 28.
4
A simple and rapid strip test for detection of antibodies to avian infectious bronchitis virus.一种用于检测禽传染性支气管炎病毒抗体的简单快速试纸条检测方法。
J Vet Med Sci. 2010 Jul;72(7):883-6. doi: 10.1292/jvms.09-0528. Epub 2010 Mar 9.
5
Weighted kappa: nominal scale agreement with provision for scaled disagreement or partial credit.加权kappa系数:用于衡量名义尺度上的一致性,并考虑了尺度不一致或部分得分的情况。
Psychol Bull. 1968 Oct;70(4):213-20. doi: 10.1037/h0026256.
6
Comparative study of serologic tests for the diagnosis of asymptomatic visceral leishmaniasis in an endemic area.流行地区无症状内脏利什曼病血清学诊断检测的比较研究
Am J Trop Med Hyg. 2009 Jul;81(1):27-33.
7
A recombinant cysteine proteinase from Leishmania (Leishmania) chagasi as an antigen for delayed-type hypersensitivity assays and serodiagnosis of canine visceral leishmaniasis.来自恰加斯利什曼原虫(利什曼原虫属)的一种重组半胱氨酸蛋白酶,作为犬内脏利什曼病迟发型超敏反应检测和血清学诊断的抗原。
Vet Parasitol. 2009 May 26;162(1-2):32-9. doi: 10.1016/j.vetpar.2009.02.011. Epub 2009 Feb 14.
8
An introduction to epitope prediction methods and software.表位预测方法与软件介绍。
Rev Med Virol. 2009 Mar;19(2):77-96. doi: 10.1002/rmv.602.
9
Comparative evaluation of enzyme-linked immunosorbent assay based on crude and purified antigen in the diagnosis of canine visceral leishmaniasis in symptomatic and oligosymptomatic dogs.基于粗抗原和纯化抗原的酶联免疫吸附测定法在有症状和症状轻微犬只的犬内脏利什曼病诊断中的比较评估
Vet Parasitol. 2008 Nov 7;157(3-4):175-81. doi: 10.1016/j.vetpar.2008.08.010. Epub 2008 Aug 22.
10
Methods for diagnosis of canine leishmaniasis and immune response to infection.犬利什曼病的诊断方法及对感染的免疫反应
Vet Parasitol. 2008 Dec 20;158(4):274-87. doi: 10.1016/j.vetpar.2008.07.028. Epub 2008 Aug 5.