Suppr超能文献

用腺病毒载体干扰素 α(mDEF201)对小鼠进行牛痘病毒呼吸道感染的治疗和长期预防。

Therapy and long-term prophylaxis of vaccinia virus respiratory infections in mice with an adenovirus-vectored interferon alpha (mDEF201).

机构信息

Institute for Antiviral Research, Department of Animal, Dairy and Veterinary Sciences, Utah State University, Logan, Utah, United States of America.

出版信息

PLoS One. 2011;6(10):e26330. doi: 10.1371/journal.pone.0026330. Epub 2011 Oct 13.

Abstract

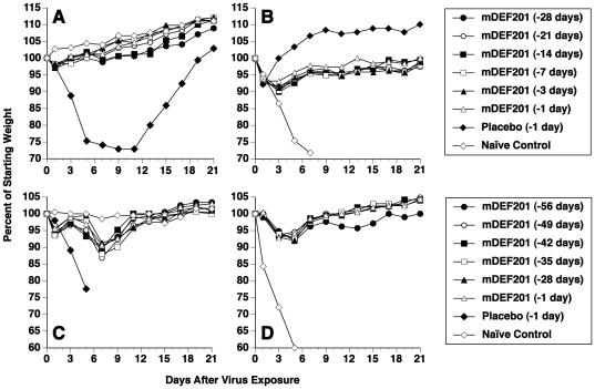
An adenovirus 5 vector encoding for mouse interferon alpha, subtype 5 (mDEF201) was evaluated for efficacy against lethal vaccinia virus (WR strain) respiratory infections in mice. mDEF201 was administered as a single intranasal treatment either prophylactically or therapeutically at doses of 10(6) to 10(8) plaque forming units/mouse. When the prophylactic treatment was given at 56 days prior to infection, it protected 90% of animals from death (100% protection for treatments given between 1-49 days pre-infection), with minimal weight loss occurring during infection. Surviving animals re-challenged with virus 22 days after the primary infection were protected from death, indicating that mDEF201 did not compromise the immune response against the initial infection. Post-exposure therapy was given between 6-24 h after vaccinia virus exposure and protection was afforded by a 10(8) dose of mDEF201 given at 24 h, whereas a 10(7) dose was effective up to 12 h. Comparisons were made of the ability of mDEF201, given either 28 or 1 day prior to infection, to inhibit tissue virus titers and lung infection parameters. Lung, liver, and spleen virus titers were inhibited to nearly the same extent by either treatment, as were lung weights and lung hemorrhage scores (indicators of pneumonitis). Lung virus titers were significantly (>100-fold) lower than in the placebo group, and the other infection parameters in mDEF201 treated mice were nearly at baseline. In contrast, viral titers and lung infection parameters were high in the placebo group on day 5 of the infection. These results demonstrate the long-acting prophylactic and treatment capacity of mDEF201 to combat vaccinia virus infections.

摘要

腺病毒 5 载体编码小鼠干扰素 alpha,亚型 5(mDEF201),用于评估其对小鼠致死性牛痘病毒(WR 株)呼吸道感染的疗效。mDEF201 以 10(6)至 10(8) 噬菌斑形成单位/小鼠的单剂量鼻内治疗进行预防性或治疗性给药。当在感染前 56 天进行预防性治疗时,它可使 90%的动物免于死亡(在感染前 1-49 天内进行的治疗为 100%保护),感染期间体重减轻最小。初次感染后 22 天再次用病毒挑战的存活动物免受死亡,表明 mDEF201 并未影响对初次感染的免疫反应。暴露后治疗在牛痘病毒暴露后 6-24 小时内进行,用 10(8)剂量 mDEF201 在 24 小时时提供保护,而 10(7)剂量在 12 小时内有效。比较 mDEF201 在感染前 28 天或 1 天给药的能力,以抑制组织病毒滴度和肺部感染参数。肺部、肝脏和脾脏的病毒滴度均受到两种治疗的相似抑制,肺部重量和肺部出血评分(肺炎的指标)也是如此。肺部病毒滴度显著(>100 倍)低于安慰剂组,mDEF201 治疗小鼠的其他感染参数几乎接近基线。相比之下,在感染的第 5 天,安慰剂组的病毒滴度和肺部感染参数较高。这些结果表明 mDEF201 具有长效的预防性和治疗能力,可抵抗牛痘病毒感染。

https://cdn.ncbi.nlm.nih.gov/pmc/blobs/5ee2/3192798/2df7c5e60077/pone.0026330.g001.jpg

文献AI研究员

20分钟写一篇综述,助力文献阅读效率提升50倍。

立即体验

用中文搜PubMed

大模型驱动的PubMed中文搜索引擎

马上搜索

文档翻译

学术文献翻译模型,支持多种主流文档格式。

立即体验