Centre for Stroke Research Berlin, Charité University Medicine Berlin, 10117 Berlin, Germany.
Brain. 2012 Jan;135(Pt 1):259-75. doi: 10.1093/brain/awr303. Epub 2011 Nov 26.
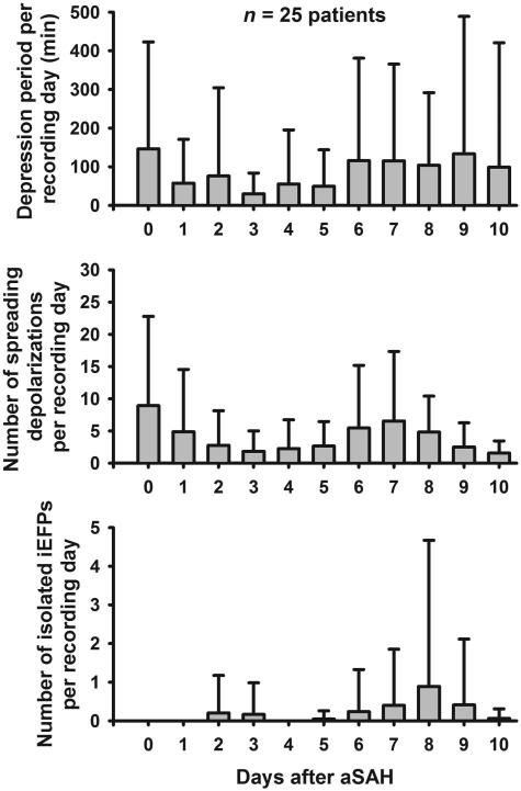
Spreading depolarization of cells in cerebral grey matter is characterized by massive ion translocation, neuronal swelling and large changes in direct current-coupled voltage recording. The near-complete sustained depolarization above the inactivation threshold for action potential generating channels initiates spreading depression of brain activity. In contrast, epileptic seizures show modest ion translocation and sustained depolarization below the inactivation threshold for action potential generating channels. Such modest sustained depolarization allows synchronous, highly frequent neuronal firing; ictal epileptic field potentials being its electrocorticographic and epileptic seizure its clinical correlate. Nevertheless, Leão in 1944 and Van Harreveld and Stamm in 1953 described in animals that silencing of brain activity induced by spreading depolarization changed during minimal electrical stimulations. Eventually, epileptic field potentials were recorded during the period that had originally seen spreading depression of activity. Such spreading convulsions are characterized by epileptic field potentials on the final shoulder of the large slow potential change of spreading depolarization. We here report on such spreading convulsions in monopolar subdural recordings in 2 of 25 consecutive aneurismal subarachnoid haemorrhage patients in vivo and neocortical slices from 12 patients with intractable temporal lobe epilepsy in vitro. The in vitro results suggest that γ-aminobutyric acid-mediated inhibition protects from spreading convulsions. Moreover, we describe arterial pulse artefacts mimicking epileptic field potentials in three patients with subarachnoid haemorrhage that ride on the slow potential peak. Twenty-one of the 25 subarachnoid haemorrhage patients (84%) had 656 spreading depolarizations in contrast to only three patients (12%) with 55 ictal epileptic events isolated from spreading depolarizations. Spreading depolarization frequency and depression periods per 24 h recording episodes showed an early and a delayed peak on Day 7. Patients surviving subarachnoid haemorrhage with poor outcome at 6 months showed significantly higher total and peak numbers of spreading depolarizations and significantly longer total and peak depression periods during the electrocorticographic monitoring than patients with good outcome. In a semi-structured telephone interview 3 years after the initial haemorrhage, 44% of the subarachnoid haemorrhage survivors had developed late post-haemorrhagic seizures requiring anti-convulsant medication. In those patients, peak spreading depolarization number had been significantly higher [15.1 (11.4-30.8) versus 7.0 (0.8-11.2) events per day, P = 0.045]. In summary, monopolar recordings here provided unequivocal evidence of spreading convulsions in patients. Hence, practically all major pathological cortical network events in animals have now been observed in people. Early spreading depolarizations may indicate a risk for late post-haemorrhagic seizures.
脑灰质细胞的去极化扩散以大量离子转运、神经元肿胀和直接电流耦合电压记录的巨大变化为特征。在动作电位生成通道的失活阈值以上的近乎完全持续去极化引发脑活动的去极化扩散。相比之下,癫痫发作显示出动作电位生成通道失活阈值以下的适度离子转运和持续去极化。这种适度的持续去极化允许同步、高频神经元放电;发作性癫痫场电位是其脑电图的表现,癫痫发作是其临床相关表现。然而,1944 年的 Leão 和 1953 年的 Van Harreveld 和 Stamm 在动物中描述,由去极化扩散诱导的脑活动沉默在最小电刺激期间发生变化。最终,在最初观察到的活动去极化扩散期间记录到癫痫场电位。这种扩散性惊厥的特征是在去极化扩散的大慢电位变化的最后肩峰上出现癫痫场电位。我们在此报告了在 25 例连续蛛网膜下腔出血患者的体内单极硬脑膜下记录和 12 例难治性颞叶癫痫患者的体外皮质切片中观察到的这种扩散性惊厥。体外结果表明,γ-氨基丁酸介导的抑制可防止扩散性惊厥。此外,我们描述了在三名蛛网膜下腔出血患者中出现的类似于癫痫场电位的动脉脉搏伪影,这些伪影随慢电位峰值上升。与从去极化扩散中分离出来的 3 例(12%)癫痫发作相比,25 例蛛网膜下腔出血患者中有 21 例(84%)出现了 656 次去极化扩散。与去极化扩散相关的 24 小时记录发作中的去极化扩散频率和抑郁期在第 7 天显示出早期和延迟峰值。蛛网膜下腔出血后生存但 6 个月预后不良的患者在脑电图监测期间显示出明显更高的总和峰值去极化扩散次数以及明显更长的总和峰值抑郁期。在初始出血后 3 年的半结构化电话访谈中,44%的蛛网膜下腔出血幸存者出现了需要抗癫痫药物治疗的迟发性出血后癫痫发作。在这些患者中,去极化扩散峰值数量明显更高[15.1(11.4-30.8)比 7.0(0.8-11.2)事件/天,P=0.045]。总之,这里的单极记录提供了患者中存在扩散性惊厥的明确证据。因此,目前在人体内已经观察到了动物中几乎所有主要的病理性皮质网络事件。早期的去极化扩散可能预示着迟发性出血后癫痫发作的风险。