Suppr超能文献

口服给药后同种异体干细胞移植中环孢素A简化浓度-时间曲线下面积的估算

Estimation of Abbreviated Cyclosporine A Area under the Concentration-Time Curve in Allogenic Stem Cell Transplantation after Oral Administration.

作者信息

Eljebari Hanene, Ben Fradj Nadia, Salouage Issam, Gaies Emna, Trabelsi Sameh, Jebabli Nadia, Lakhal Mohamed, Ben Othman Tarek, Kouz Anis

机构信息

Laboratoire de Pharmacologie Clinique, Centre National de Pharmacovigilance, 9 Avenue Dr. Zouheïr Essafi, Tunis 1006, Tunisia.

出版信息

J Transplant. 2012;2012:342701. doi: 10.1155/2012/342701. Epub 2011 Oct 26.

Abstract

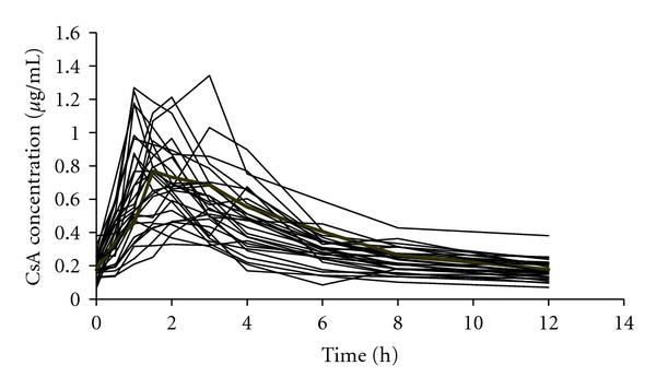
Measurements of Cyclosporine (CsA) systemic exposure permit its dose adjustment in allogenic stem cell transplantation recipients to prevent graft-versus-host disease. CsA LSSs were developed and validated from 60 ASCT patients via multiple linear regressions. All whole-blood samples were analyzed by fluorescence polarization immunoassay (FPIA-Axym). The 10 models that have used CsA concentrations at a single time point did not have a good fit with AUC(0-12) (R(2) < 0.90). C(2) and C(4) were the time points that correlated best with AUC(0-12 h), R(2) were respectively 0.848, and 0.897. The LSS equation with the best predictive performance (bias, precision and number of samples) utilized three sampling concentrations was AUC(0-12 h) = 0.607 + 1.569 × C(0.5) + 2.098 × C(2) + 3.603 × C(4) (R(2) = 0.943). Optimal LSSs equations which limited to those utilizing three timed concentrations taken within 4 hours post-dose developed from ASCT recipient's patients yielded a low bias <5% ranged from 1.27% to 2.68% and good precision <15% ranged from 9.60% and 11.02%. We propose an LSS model with equation AUC(0-12 h) = 0.82 + 2.766 × C(2) + 3.409 × C(4) for a practical reason. Bias and precision for this model are respectively 2.68% and 11.02%.

摘要

测量环孢素(CsA)的全身暴露量有助于在异基因干细胞移植受者中调整其剂量,以预防移植物抗宿主病。通过多元线性回归从60例异基因干细胞移植患者中建立并验证了CsA的群体药代动力学模型(LSSs)。所有全血样本均采用荧光偏振免疫分析法(FPIA-Axym)进行分析。使用单一时间点CsA浓度的10个模型与AUC(0-12)的拟合效果不佳(R(2) < 0.90)。C(2)和C(4)是与AUC(0-12 h)相关性最好的时间点,R(2)分别为0.848和0.897。具有最佳预测性能(偏差、精密度和样本数量)的LSS方程利用三个采样浓度,即AUC(0-12 h) = 0.607 + 1.569 × C(0.5) + 2.098 × C(2) + 3.603 × C(4)(R(2) = 0.943)。从异基因干细胞移植受者患者中得出的最佳LSSs方程限于那些使用给药后4小时内采集的三个定时浓度,其偏差较低<5%,范围为1.27%至2.68%,精密度良好<15%,范围为9.60%至11.02%。出于实际原因,我们提出了一个LSS模型,其方程为AUC(0-12 h) = 0.82 + 2.766 × C(2) + 3.409 × C(4)。该模型的偏差和精密度分别为2.68%和11.02%。

https://cdn.ncbi.nlm.nih.gov/pmc/blobs/4234/3205663/504a8b8f3e78/JTRAN2012-342701.001.jpg

文献AI研究员

20分钟写一篇综述,助力文献阅读效率提升50倍。

立即体验

用中文搜PubMed

大模型驱动的PubMed中文搜索引擎

马上搜索

文档翻译

学术文献翻译模型,支持多种主流文档格式。

立即体验