Centers for Disease Control and Prevention, Atlanta, Georgia, USA.
Emerg Infect Dis. 2011 Dec;17(12):2294-302. doi: 10.3201/eid1712.111002.
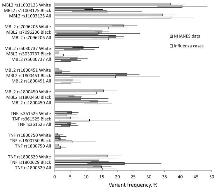
We compared the prevalence of 8 polymorphisms in the tumor necrosis factor and mannose-binding lectin genes among 105 children and young adults with fatal influenza with US population estimates and determined in subanalyses whether these polymorphisms were associated with sudden death and bacterial co-infection among persons with fatal influenza. No differences were observed in genotype prevalence or minor allele frequencies between persons with fatal influenza and the reference sample. Fatal cases with low-producing MBL2 genotypes had a 7-fold increased risk for invasive methicillin-resistant Staphylococcus aureus (MRSA) co-infection compared with fatal cases with high- and intermediate-producing MBL2 genotypes (odds ratio 7.1, 95% confidence interval 1.6-32.1). Limited analysis of 2 genes important to the innate immune response found no association between genetic variants and fatal influenza infection. Among children and young adults who died of influenza, low-producing MBL2 genotypes may have increased risk for MRSA co-infection.
我们比较了肿瘤坏死因子和甘露糖结合凝集素基因中的 8 种多态性在 105 例儿童和青年致命性流感患者中的流行情况与美国人群的估计值,并在亚分析中确定了这些多态性是否与致命性流感患者中的突然死亡和细菌合并感染有关。在致命性流感患者与参考样本之间,基因型流行率或次要等位基因频率无差异。与高和中产生 MBL2 基因型的致命病例相比,低产生 MBL2 基因型的致命病例合并侵袭性耐甲氧西林金黄色葡萄球菌(MRSA)感染的风险增加了 7 倍(比值比 7.1,95%置信区间 1.6-32.1)。对先天免疫反应中 2 个重要基因的有限分析发现,遗传变异与致命性流感感染之间没有关联。在死于流感的儿童和青年中,低产生 MBL2 基因型可能会增加合并感染 MRSA 的风险。