Suppr超能文献

巴西塞拉多地区广域分布哺乳动物的资源选择及其意义。

Resource selection and its implications for wide-ranging mammals of the brazilian cerrado.

机构信息

Department of Biology, University of Washington, Seattle, Washington, United States of America.

出版信息

PLoS One. 2011;6(12):e28939. doi: 10.1371/journal.pone.0028939. Epub 2011 Dec 20.

Abstract

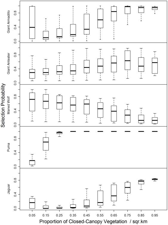
Conserving animals beyond protected areas is critical because even the largest reserves may be too small to maintain viable populations for many wide-ranging species. Identification of landscape features that will promote persistence of a diverse array of species is a high priority, particularly, for protected areas that reside in regions of otherwise extensive habitat loss. This is the case for Emas National Park, a small but important protected area located in the Brazilian Cerrado, the world's most biologically diverse savanna. Emas Park is a large-mammal global conservation priority area but is too small to protect wide-ranging mammals for the long-term and conserving these populations will depend on the landscape surrounding the park. We employed novel, noninvasive methods to determine the relative importance of resources found within the park, as well as identify landscape features that promote persistence of wide-ranging mammals outside reserve borders. We used scat detection dogs to survey for five large mammals of conservation concern: giant armadillo (Priodontes maximus), giant anteater (Myrmecophaga tridactyla), maned wolf (Chrysocyon brachyurus), jaguar (Panthera onca), and puma (Puma concolor). We estimated resource selection probability functions for each species from 1,572 scat locations and 434 giant armadillo burrow locations. Results indicate that giant armadillos and jaguars are highly selective of natural habitats, which makes both species sensitive to landscape change from agricultural development. Due to the high amount of such development outside of the Emas Park boundary, the park provides rare resource conditions that are particularly important for these two species. We also reveal that both woodland and forest vegetation remnants enable use of the agricultural landscape as a whole for maned wolves, pumas, and giant anteaters. We identify those features and their landscape compositions that should be prioritized for conservation, arguing that a multi-faceted approach is required to protect these species.

摘要

保护保护区以外的动物至关重要,因为即使是最大的保护区对于许多广泛分布的物种来说,也可能太小而无法维持其生存种群。确定能够促进各种物种生存的景观特征是当务之急,尤其是对于那些位于栖息地广泛丧失地区的保护区而言。巴西塞拉多的埃马司国家公园就是这种情况,它是一个面积虽小但很重要的保护区,位于世界上生物多样性最丰富的热带稀树草原。埃马司公园是一个大型哺乳动物的全球保护重点区域,但面积太小,无法长期保护广泛分布的哺乳动物,而这些种群的保护将取决于公园周围的景观。我们采用了新颖的非侵入性方法来确定公园内资源的相对重要性,并确定了促进保护区外广泛分布的哺乳动物生存的景观特征。我们使用粪便检测犬来调查五种受关注的大型哺乳动物:巨犰狳(Priodontes maximus)、大食蚁兽(Myrmecophaga tridactyla)、鬃狼(Chrysocyon brachyurus)、美洲虎(Panthera onca)和美洲狮(Puma concolor)。我们从 1572 个粪便位置和 434 个巨犰狳洞穴位置估算了每个物种的资源选择概率函数。结果表明,巨犰狳和美洲虎对自然栖息地的选择性很高,这使得这两个物种对农业发展引起的景观变化都很敏感。由于埃马司公园边界外存在大量此类开发活动,公园为这两个物种提供了特别重要的稀有资源条件。我们还发现,林地和森林植被残余物使鬃狼、美洲狮和大食蚁兽能够利用整个农业景观。我们确定了应优先保护的这些特征及其景观组成部分,并认为需要采取多方面的方法来保护这些物种。

https://cdn.ncbi.nlm.nih.gov/pmc/blobs/da2a/3243687/f2ff60bc947f/pone.0028939.g001.jpg

文献AI研究员

20分钟写一篇综述,助力文献阅读效率提升50倍。

立即体验

用中文搜PubMed

大模型驱动的PubMed中文搜索引擎

马上搜索

文档翻译

学术文献翻译模型,支持多种主流文档格式。

立即体验