• 文献检索
  • 文档翻译
  • 深度研究
  • 学术资讯
  • Suppr Zotero 插件Zotero 插件
  • 邀请有礼
  • 套餐&价格
  • 历史记录
应用&插件
Suppr Zotero 插件Zotero 插件浏览器插件Mac 客户端Windows 客户端微信小程序
定价
高级版会员购买积分包购买API积分包
服务
文献检索文档翻译深度研究API 文档MCP 服务
关于我们
关于 Suppr公司介绍联系我们用户协议隐私条款
关注我们

Suppr 超能文献

核心技术专利:CN118964589B侵权必究
粤ICP备2023148730 号-1Suppr @ 2026

文献检索

告别复杂PubMed语法,用中文像聊天一样搜索,搜遍4000万医学文献。AI智能推荐,让科研检索更轻松。

立即免费搜索

文件翻译

保留排版,准确专业,支持PDF/Word/PPT等文件格式,支持 12+语言互译。

免费翻译文档

深度研究

AI帮你快速写综述,25分钟生成高质量综述,智能提取关键信息,辅助科研写作。

立即免费体验

可溶性血清 CD81 在慢性丙型肝炎患者中升高,并与丙氨酸氨基转移酶血清活性相关。

Soluble serum CD81 is elevated in patients with chronic hepatitis C and correlates with alanine aminotransferase serum activity.

机构信息

Medizinische Klinik 1, Klinikum der Johann Wolfgang Goethe-Universität, Theodor-Stern-Kai 7, Frankfurt am Main, Germany.

出版信息

PLoS One. 2012;7(2):e30796. doi: 10.1371/journal.pone.0030796. Epub 2012 Feb 15.

DOI:10.1371/journal.pone.0030796
PMID:22355327
原文链接:https://pmc.ncbi.nlm.nih.gov/articles/PMC3280260/
Abstract

AIM

Cellular CD81 is a well characterized hepatitis C virus (HCV) entry factor, while the relevance of soluble exosomal CD81 in HCV pathogenesis is poorly defined. We performed a case-control study to investigate whether soluble CD81 in the exosomal serum fraction is associated with HCV replication and inflammatory activity.

PATIENTS AND METHODS

Four cohorts were investigated, patients with chronic hepatitis C (n = 37), patients with chronic HCV infection and persistently normal ALT levels (n = 24), patients with long term sustained virologic response (SVR, n = 7), and healthy volunteers (n = 23). Concentration of soluble CD81 was assessed semi-quantitatively after differential centrifugation ranging from 200 g to 100,000 g in the fifth centrifugation fraction by immunoblotting and densitometry.

RESULTS

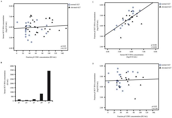
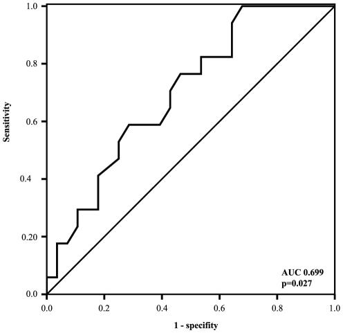
Soluble CD81 was increased in patients with chronic hepatitis C compared to healthy subjects (p = 0.03) and cured patients (p = 0.017). Patients with chronic HCV infection and persistently normal ALT levels and patients with long term SVR had similar soluble CD81 levels as healthy controls (p>0.2). Overall, soluble CD81 levels were associated with ALT levels (r = 0.334, p = 0.016) and severe liver fibrosis (p = 0.027).

CONCLUSION

CD81 is increased in the exosomal serum fraction in patients with chronic hepatitis C and appears to be associated with inflammatory activity and severity of fibrosis.

摘要

目的

细胞 CD81 是一种经过充分研究的丙型肝炎病毒(HCV)进入因子,而可溶性外泌体 CD81 在 HCV 发病机制中的相关性尚未明确。我们进行了一项病例对照研究,旨在调查外泌体血清部分中的可溶性 CD81 是否与 HCV 复制和炎症活动有关。

患者与方法

我们调查了四个队列,慢性丙型肝炎患者(n=37)、慢性 HCV 感染且持续正常 ALT 水平的患者(n=24)、长期持续病毒学应答(SVR,n=7)和健康志愿者(n=23)。通过免疫印迹和密度计量法,在第五次离心部分中,对 200 g 至 100,000 g 之间的差异离心后的血清外泌体部分中的可溶性 CD81 进行半定量评估。

结果

与健康受试者(p=0.03)和治愈患者(p=0.017)相比,慢性丙型肝炎患者的可溶性 CD81 升高。慢性 HCV 感染且持续正常 ALT 水平的患者和长期 SVR 患者的可溶性 CD81 水平与健康对照组相似(p>0.2)。总体而言,可溶性 CD81 水平与 ALT 水平(r=0.334,p=0.016)和严重肝纤维化(p=0.027)相关。

结论

慢性丙型肝炎患者血清外泌体部分中的 CD81 增加,似乎与炎症活动和纤维化的严重程度有关。

https://cdn.ncbi.nlm.nih.gov/pmc/blobs/5aa1/3280260/785b90ba0fbf/pone.0030796.g004.jpg
https://cdn.ncbi.nlm.nih.gov/pmc/blobs/5aa1/3280260/ad1aff8630e9/pone.0030796.g001.jpg
https://cdn.ncbi.nlm.nih.gov/pmc/blobs/5aa1/3280260/a71d2748db2d/pone.0030796.g002.jpg
https://cdn.ncbi.nlm.nih.gov/pmc/blobs/5aa1/3280260/7400dbab139f/pone.0030796.g003.jpg
https://cdn.ncbi.nlm.nih.gov/pmc/blobs/5aa1/3280260/785b90ba0fbf/pone.0030796.g004.jpg
https://cdn.ncbi.nlm.nih.gov/pmc/blobs/5aa1/3280260/ad1aff8630e9/pone.0030796.g001.jpg
https://cdn.ncbi.nlm.nih.gov/pmc/blobs/5aa1/3280260/a71d2748db2d/pone.0030796.g002.jpg
https://cdn.ncbi.nlm.nih.gov/pmc/blobs/5aa1/3280260/7400dbab139f/pone.0030796.g003.jpg
https://cdn.ncbi.nlm.nih.gov/pmc/blobs/5aa1/3280260/785b90ba0fbf/pone.0030796.g004.jpg

相似文献

1
Soluble serum CD81 is elevated in patients with chronic hepatitis C and correlates with alanine aminotransferase serum activity.可溶性血清 CD81 在慢性丙型肝炎患者中升高,并与丙氨酸氨基转移酶血清活性相关。
PLoS One. 2012;7(2):e30796. doi: 10.1371/journal.pone.0030796. Epub 2012 Feb 15.
2
CD81 Exosomes Play a Pivotal Role in the Establishment of Hepatitis C Persistent Infection and Contribute Toward the Progression of Hepatocellular Carcinoma.CD81 外泌体在丙型肝炎持续感染的建立中起着关键作用,并有助于肝细胞癌的进展。
Viral Immunol. 2019 Dec;32(10):453-462. doi: 10.1089/vim.2019.0077. Epub 2019 Nov 22.
3
Difference in serum complement component C4a levels between hepatitis C virus carriers with persistently normal alanine aminotransferase levels or chronic hepatitis C.丙型肝炎病毒携带者中丙氨酸氨基转移酶持续正常者与慢性丙型肝炎患者血清补体成分 C4a 水平的差异。
Mol Med Rep. 2012 Aug;6(2):259-64. doi: 10.3892/mmr.2012.924. Epub 2012 May 21.
4
Long-term histologic improvement and loss of detectable intrahepatic HCV RNA in patients with chronic hepatitis C and sustained response to interferon-alpha therapy.慢性丙型肝炎患者经α干扰素治疗获得持续应答后,长期的组织学改善及肝内可检测到的丙型肝炎病毒RNA消失。
Ann Intern Med. 1997 Nov 15;127(10):875-81. doi: 10.7326/0003-4819-127-10-199711150-00003.
5
Prevalence of rs4803217 single nucleotide polymorphism and clinical course of chronic hepatitis C.rs4803217单核苷酸多态性的患病率与慢性丙型肝炎的临床病程
World J Gastroenterol. 2017 Jun 7;23(21):3815-3824. doi: 10.3748/wjg.v23.i21.3815.
6
Immunological changes in different patient populations with chronic hepatitis C virus infection.不同慢性丙型肝炎病毒感染患者群体的免疫变化
World J Gastroenterol. 2016 May 28;22(20):4848-59. doi: 10.3748/wjg.v22.i20.4848.
7
Correlation of biochemical markers and HCV RNA titers with fibrosis stages and grades in chronic HCV-3a patients.慢性丙型肝炎3a型患者生化标志物及HCV RNA滴度与纤维化分期和分级的相关性
Eur J Gastroenterol Hepatol. 2014 Jul;26(7):788-94. doi: 10.1097/MEG.0000000000000109.
8
Advanced hepatic fibrosis and steatosis are associated with persistent alanine aminotransferase elevation in chronic hepatitis C patients negative for hepatitis C virus RNA during pegylated interferon plus ribavirin therapy.在聚乙二醇干扰素联合利巴韦林治疗期间,丙型肝炎病毒 RNA 阴性的慢性丙型肝炎患者中,高级肝纤维化和脂肪变性与丙氨酸氨基转移酶持续升高有关。
J Infect Dis. 2015 May 1;211(9):1429-36. doi: 10.1093/infdis/jiu630. Epub 2014 Nov 11.
9
Chronic infection with hepatitis C virus in patients with elevated or persistently normal serum alanine aminotransferase levels: comparison of hepatic histology and response to interferon therapy.血清丙氨酸氨基转移酶水平升高或持续正常的丙型肝炎病毒慢性感染患者:肝脏组织学及对干扰素治疗反应的比较
J Infect Dis. 2000 Dec;182(6):1595-601. doi: 10.1086/317612. Epub 2000 Oct 23.
10
Circulating microRNAs as potential biomarkers of physical activity in geriatric patients with HCV.循环 microRNAs 作为 HCV 老年患者体力活动的潜在生物标志物。
BMC Mol Cell Biol. 2024 Jul 19;25(1):18. doi: 10.1186/s12860-024-00514-8.

引用本文的文献

1
The diagnostic potential of extracellular vesicles in virus-related diseases.细胞外囊泡在病毒相关疾病中的诊断潜力。
Front Cell Infect Microbiol. 2025 Jul 30;15:1641405. doi: 10.3389/fcimb.2025.1641405. eCollection 2025.
2
Relationship between exosomes and cancer: formation, diagnosis, and treatment.外泌体与癌症的关系:形成、诊断及治疗
Int J Biol Sci. 2025 Jan 1;21(1):40-62. doi: 10.7150/ijbs.95763. eCollection 2025.
3
Exosome-based therapies for inflammatory disorders: a review of recent advances.基于外泌体的炎症性疾病治疗:近期进展综述

本文引用的文献

1
Telaprevir for previously untreated chronic hepatitis C virus infection.替拉瑞韦治疗初治慢性丙型肝炎病毒感染。
N Engl J Med. 2011 Jun 23;364(25):2405-16. doi: 10.1056/NEJMoa1012912.
2
Boceprevir for untreated chronic HCV genotype 1 infection.博赛泼维用于治疗未经治疗的慢性 HCV 基因 1 型感染。
N Engl J Med. 2011 Mar 31;364(13):1195-206. doi: 10.1056/NEJMoa1010494.
3
Exosome target cell selection and the importance of exosomal tetraspanins: a hypothesis.外泌体靶向细胞选择和外泌体四跨膜蛋白的重要性:一个假说。
Stem Cell Res Ther. 2024 Dec 18;15(1):477. doi: 10.1186/s13287-024-04107-2.
4
Extracellular Vesicles in Viral Liver Diseases.细胞外囊泡在病毒性肝病中的作用。
Viruses. 2024 Nov 17;16(11):1785. doi: 10.3390/v16111785.
5
Exosome Mediated Cell-Cell Crosstalk in Tissue Injury and Repair.外泌体介导的组织损伤与修复中的细胞间通讯。
Results Probl Cell Differ. 2024;73:249-297. doi: 10.1007/978-3-031-62036-2_12.
6
Composition, functions, and applications of exosomal membrane proteins.外泌体膜蛋白的组成、功能和应用。
Front Immunol. 2024 Aug 1;15:1408415. doi: 10.3389/fimmu.2024.1408415. eCollection 2024.
7
Emerging role of exosomes as a liquid biopsy tool for diagnosis, prognosis & monitoring treatment response of communicable & non-communicable diseases.外泌体作为一种液体活检工具在传染性和非传染性疾病的诊断、预后和治疗反应监测中的新兴作用。
Indian J Med Res. 2024 Feb 1;159(2):163-180. doi: 10.4103/ijmr.ijmr_2344_22. Epub 2024 Apr 4.
8
Liquid Liver Biopsy for Disease Diagnosis and Prognosis.用于疾病诊断和预后的液体肝活检
J Clin Transl Hepatol. 2023 Dec 28;11(7):1520-1541. doi: 10.14218/JCTH.2023.00040. Epub 2023 Jul 27.
9
The emerging role of medical foods and therapeutic potential of medical food-derived exosomes.特殊医学用途食品的新兴作用及特殊医学用途食品来源外泌体的治疗潜力。
Nanoscale Adv. 2023 Nov 11;6(1):32-50. doi: 10.1039/d3na00649b. eCollection 2023 Dec 19.
10
Changes in Soluble Serum CD81 Concentration during an Oral Glucose Tolerance Test in Patients with Diabetes Mellitus and Individuals with Normal Glucose Tolerance.糖尿病患者和糖耐量正常个体口服葡萄糖耐量试验期间血清可溶性CD81浓度的变化
Diagnostics (Basel). 2023 Nov 21;13(23):3500. doi: 10.3390/diagnostics13233500.
Biochem Soc Trans. 2011 Apr;39(2):559-62. doi: 10.1042/BST0390559.
4
Mechanisms of tumor escape from the immune system: adenosine-producing Treg, exosomes and tumor-associated TLRs.肿瘤逃避免疫系统的机制:产生腺苷的调节性T细胞、外泌体与肿瘤相关的Toll样受体
Bull Cancer. 2011 Feb;98(2):E25-31. doi: 10.1684/bdc.2010.1294.
5
Hepatitis C virus entry into hepatocytes: molecular mechanisms and targets for antiviral therapies.丙型肝炎病毒进入肝细胞的机制:抗病毒治疗的分子靶点。
J Hepatol. 2011 Mar;54(3):566-76. doi: 10.1016/j.jhep.2010.10.014. Epub 2010 Nov 11.
6
Proinflammatory exosomes in bronchoalveolar lavage fluid of patients with sarcoidosis.结节病患者支气管肺泡灌洗液中的促炎外泌体。
Thorax. 2010 Nov;65(11):1016-24. doi: 10.1136/thx.2009.132027. Epub 2010 Sep 29.
7
Review article: specifically targeted anti-viral therapy for hepatitis C - a new era in therapy.综述文章:针对丙型肝炎的特异性抗病毒治疗 - 治疗新时代。
Aliment Pharmacol Ther. 2010 Jul;32(1):14-28. doi: 10.1111/j.1365-2036.2010.04317.x. Epub 2010 Mar 31.
8
HCV carriers with normal alanine aminotransferase levels: healthy persons or severely ill patients? Dealing with an everyday clinical problem.丙型肝炎病毒携带者的丙氨酸氨基转移酶水平正常:他们是健康人还是重病患者?解决日常临床问题。
Eur J Intern Med. 2010 Apr;21(2):57-61. doi: 10.1016/j.ejim.2009.12.006. Epub 2009 Dec 29.
9
Current and future treatment options for HCV.丙型肝炎病毒(HCV)的当前及未来治疗选择
Ann Hepatol. 2009 Apr-Jun;8(2):103-12.
10
Origins and activities of the eukaryotic exosome.真核生物外切体的起源与活性
J Cell Sci. 2009 May 15;122(Pt 10):1487-94. doi: 10.1242/jcs.047399.