Suppr超能文献

泛素-蛋白酶体系统在实验性术后腹膜粘连形成中的作用。

Involvement of the ubiquitin-proteasome system in the formation of experimental postsurgical peritoneal adhesions.

机构信息

Department of Experimental Medicine, Second University of Naples, Naples, Italy.

出版信息

Mediators Inflamm. 2012;2012:194723. doi: 10.1155/2012/194723. Epub 2012 Feb 14.

Abstract

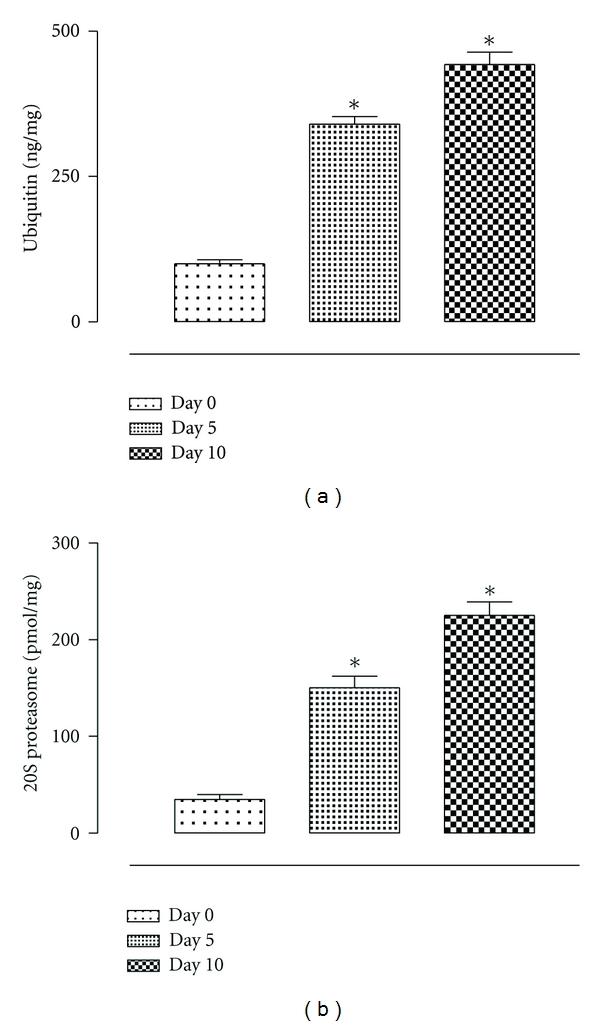
We investigated the Ubiquitin-Proteasome System (UPS), major nonlysosomal intracellular protein degradation system, in the genesis of experimental postsurgical peritoneal adhesions. We assayed the levels of UPS within the adhered tissue along with the development of peritoneal adhesions and used the specific UPS inhibitor bortezomib in order to assess the effect of the UPS blockade on the peritoneal adhesions. We found a number of severe postsurgical peritoneal adhesions at day 5 after surgery increasing until day 10. In the adhered tissue an increased values of ubiquitin and the 20S proteasome subunit, NFkB, IL-6, TNF-α and decreased values of IkB-beta were found. In contrast, bortezomib-treated rats showed a decreased number of peritoneal adhesions, decreased values of ubiquitin and the 20S proteasome, NFkB, IL-6, TNF-α, and increased levels of IkB-beta in the adhered peritoneal tissue. The UPS system, therefore, is primarily involved in the formation of post-surgical peritoneal adhesions in rats.

摘要

我们研究了泛素-蛋白酶体系统(UPS),这是一种主要的非溶酶体细胞内蛋白降解系统,在实验性术后腹膜粘连的发生中起作用。我们检测了粘连组织中 UPS 的水平以及腹膜粘连的发展情况,并使用特定的 UPS 抑制剂硼替佐米来评估 UPS 阻断对腹膜粘连的影响。我们发现手术后第 5 天出现了大量严重的术后腹膜粘连,并持续增加到第 10 天。在粘连组织中,发现泛素和 20S 蛋白酶体亚基、NFkB、IL-6、TNF-α的含量增加,而 IkB-beta 的含量降低。相比之下,硼替佐米治疗的大鼠腹膜粘连数量减少,粘连腹膜组织中泛素和 20S 蛋白酶体、NFkB、IL-6、TNF-α的含量降低,而 IkB-beta 的含量增加。因此,UPS 系统主要参与了大鼠术后腹膜粘连的形成。

https://cdn.ncbi.nlm.nih.gov/pmc/blobs/ca15/3306991/c1814a6230f5/MI2012-194723.001.jpg

文献检索

告别复杂PubMed语法,用中文像聊天一样搜索,搜遍4000万医学文献。AI智能推荐,让科研检索更轻松。

立即免费搜索

文件翻译

保留排版,准确专业,支持PDF/Word/PPT等文件格式,支持 12+语言互译。

免费翻译文档

深度研究

AI帮你快速写综述,25分钟生成高质量综述,智能提取关键信息,辅助科研写作。

立即免费体验