Suppr超能文献

杯子是半满的:高估新环境的质量是有利的。

The glass is half-full: overestimating the quality of a novel environment is advantageous.

机构信息

Mitrani Department of Desert Ecology, Jacob Blaustein Institutes for Desert Research, Ben-Gurion University of the Negev, Beer-Sheva, Israel.

出版信息

PLoS One. 2012;7(4):e34578. doi: 10.1371/journal.pone.0034578. Epub 2012 Apr 3.

Abstract

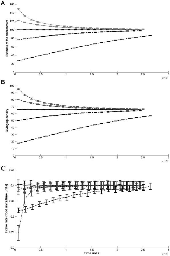
According to optimal foraging theory, foraging decisions are based on the forager's current estimate of the quality of its environment. However, in a novel environment, a forager does not possess information regarding the quality of the environment, and may make a decision based on a biased estimate. We show, using a simple simulation model, that when facing uncertainty in heterogeneous environments it is better to overestimate the quality of the environment (to be an "optimist") than underestimate it, as optimistic animals learn the true value of the environment faster due to higher exploration rate. Moreover, we show that when the animal has the capacity to remember the location and quality of resource patches, having a positively biased estimate of the environment leads to higher fitness gains than having an unbiased estimate, due to the benefits of exploration. Our study demonstrates how a simple model of foraging with incomplete information, derived directly from optimal foraging theory, can produce well documented complex space-use patterns of exploring animals.

摘要

根据最优觅食理论,觅食决策是基于觅食者对其所处环境质量的当前估计。然而,在新环境中,觅食者不具备有关环境质量的信息,可能会根据有偏差的估计做出决策。我们使用一个简单的模拟模型表明,当面临异质环境中的不确定性时,高估环境质量(成为“乐观主义者”)比低估环境质量更好,因为乐观主义动物由于更高的探索率而更快地了解环境的真实价值。此外,我们还表明,当动物具有记忆资源斑块位置和质量的能力时,对环境的正向偏差估计会比无偏差估计带来更高的适应度收益,因为这可以带来探索的好处。我们的研究表明,一个简单的基于最优觅食理论的不完全信息觅食模型,如何产生经过充分记录的探索动物复杂的空间利用模式。

https://cdn.ncbi.nlm.nih.gov/pmc/blobs/7ac7/3317990/1646380e1f01/pone.0034578.g001.jpg

文献AI研究员

20分钟写一篇综述,助力文献阅读效率提升50倍。

立即体验

用中文搜PubMed

大模型驱动的PubMed中文搜索引擎

马上搜索

文档翻译

学术文献翻译模型,支持多种主流文档格式。

立即体验