• 文献检索
  • 文档翻译
  • 深度研究
  • 学术资讯
  • Suppr Zotero 插件Zotero 插件
  • 邀请有礼
  • 套餐&价格
  • 历史记录
应用&插件
Suppr Zotero 插件Zotero 插件浏览器插件Mac 客户端Windows 客户端微信小程序
定价
高级版会员购买积分包购买API积分包
服务
文献检索文档翻译深度研究API 文档MCP 服务
关于我们
关于 Suppr公司介绍联系我们用户协议隐私条款
关注我们

Suppr 超能文献

核心技术专利:CN118964589B侵权必究
粤ICP备2023148730 号-1Suppr @ 2026

文献检索

告别复杂PubMed语法,用中文像聊天一样搜索,搜遍4000万医学文献。AI智能推荐,让科研检索更轻松。

立即免费搜索

文件翻译

保留排版,准确专业,支持PDF/Word/PPT等文件格式,支持 12+语言互译。

免费翻译文档

深度研究

AI帮你快速写综述,25分钟生成高质量综述,智能提取关键信息,辅助科研写作。

立即免费体验

急性心肌梗死患者中使用西罗莫司和紫杉醇洗脱支架的长期安全性和有效性:四年观察研究。

Long-term safety and efficacy of sirolimus- and Paclitaxel-eluting stents in patients with acute myocardial infarction: four-year observational study.

机构信息

Department of Cardiology, Chungnam National University School of Medicine, Daejeon, Korea.

出版信息

Korean Circ J. 2012 Apr;42(4):266-73. doi: 10.4070/kcj.2012.42.4.266. Epub 2012 Apr 26.

DOI:10.4070/kcj.2012.42.4.266
PMID:22563340
原文链接:https://pmc.ncbi.nlm.nih.gov/articles/PMC3341424/
Abstract

BACKGROUND AND OBJECTIVES

The comparison of long-term clinical effects between Sirolimus-eluting stent (SES) and Paclitaxel-eluting stents (PES) for treatment of acute myocardial infarction (AMI) remains unclear. Seeking to clarify this issue, we performed a retrospective analysis to evaluate four-year clinical outcomes of SES compared to PES treated AMI patients.

SUBJECTS AND METHODS

From January 2004 to August 2006, all patients with acute ST-segment elevation myocardial infarction and acute non-ST segment elevation myocardial infarction who underwent percutaneous coronary intervention (PCI) by implantation of either SES or PES were enrolled. The occurrences of cardiac and non-cardiac deaths, recurrent infarction, target vessel revascularization (TVR) and stent thrombosis were analyzed. The composite end points of these major adverse cardiac events (MACE) were also analyzed.

RESULTS

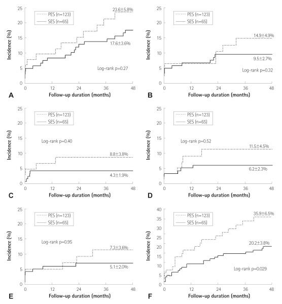
During the study period, a total of 668 AMI patients had visited, of which 522 patients (299 with SES and 223 with PES) were enrolled. During the four-year clinical follow-up, both groups showed similar occurrences of non-cardiac death (14.6±2.2% vs. 18.3±3.0%, p=0.26); cardiac death (6.8±1.52% vs. 11.2±2.6%, p=0.39); re-infarction (3.3±1.1% vs. 6.4±1.8%, p=0.31); and stent thrombosis (3.2±1.1% vs. 5.4±1.7%, p=0.53). However, occurrences of TVR {4.0±1.2% vs. 10.0±3.0%, hazard ratio (HR)=0.498, 95% confidence interval (CI)=0.257-0.967, p=0.039} and MACE (19.4±2.5% vs. 29.4±3.5%, HR=0.645, 95% CI=0.443-0.940, p=0.021) were significantly lower in the SES population.

CONCLUSION

In AMI patients treated with either SES or PES implantation, the former had a significantly lower risk of TVR and MACE during four-year clinical follow-up. Rates of death, cardiac death or recurrent infarction, and stent thrombosis were similar.

摘要

背景和目的

比较西罗莫司洗脱支架(SES)和紫杉醇洗脱支架(PES)治疗急性心肌梗死(AMI)的长期临床效果仍不清楚。为了阐明这一问题,我们进行了一项回顾性分析,以评估 SES 与 PES 治疗 AMI 患者的 4 年临床结局。

受试者和方法

2004 年 1 月至 2006 年 8 月,所有接受经皮冠状动脉介入治疗(PCI)植入 SES 或 PES 的急性 ST 段抬高型心肌梗死和急性非 ST 段抬高型心肌梗死患者均纳入研究。分析心脏和非心脏死亡、再梗死、靶血管血运重建(TVR)和支架血栓形成的发生情况。还分析了这些主要不良心脏事件(MACE)的复合终点。

结果

研究期间共就诊 668 例 AMI 患者,其中 522 例(SES 组 299 例,PES 组 223 例)入选。在 4 年的临床随访中,两组非心脏死亡发生率相似(14.6±2.2%比 18.3±3.0%,p=0.26);心脏死亡(6.8±1.52%比 11.2±2.6%,p=0.39);再梗死(3.3±1.1%比 6.4±1.8%,p=0.31);支架血栓形成(3.2±1.1%比 5.4±1.7%,p=0.53)。然而,TVR 的发生率{4.0±1.2%比 10.0±3.0%,风险比(HR)=0.498,95%置信区间(CI)=0.257-0.967,p=0.039}和 MACE(19.4±2.5%比 29.4±3.5%,HR=0.645,95%CI=0.443-0.940,p=0.021)在 SES 组中显著降低。

结论

在接受 SES 或 PES 植入治疗的 AMI 患者中,前者在 4 年临床随访期间 TVR 和 MACE 的风险显著降低。死亡率、心脏死亡率或再梗死率和支架血栓形成率相似。

https://cdn.ncbi.nlm.nih.gov/pmc/blobs/9e5c/3341424/6558ee943346/kcj-42-266-g004.jpg
https://cdn.ncbi.nlm.nih.gov/pmc/blobs/9e5c/3341424/76cbe78e3f90/kcj-42-266-g001.jpg
https://cdn.ncbi.nlm.nih.gov/pmc/blobs/9e5c/3341424/8844aec94bde/kcj-42-266-g002.jpg
https://cdn.ncbi.nlm.nih.gov/pmc/blobs/9e5c/3341424/5cf0c79c2402/kcj-42-266-g003.jpg
https://cdn.ncbi.nlm.nih.gov/pmc/blobs/9e5c/3341424/6558ee943346/kcj-42-266-g004.jpg
https://cdn.ncbi.nlm.nih.gov/pmc/blobs/9e5c/3341424/76cbe78e3f90/kcj-42-266-g001.jpg
https://cdn.ncbi.nlm.nih.gov/pmc/blobs/9e5c/3341424/8844aec94bde/kcj-42-266-g002.jpg
https://cdn.ncbi.nlm.nih.gov/pmc/blobs/9e5c/3341424/5cf0c79c2402/kcj-42-266-g003.jpg
https://cdn.ncbi.nlm.nih.gov/pmc/blobs/9e5c/3341424/6558ee943346/kcj-42-266-g004.jpg

相似文献

1
Long-term safety and efficacy of sirolimus- and Paclitaxel-eluting stents in patients with acute myocardial infarction: four-year observational study.急性心肌梗死患者中使用西罗莫司和紫杉醇洗脱支架的长期安全性和有效性:四年观察研究。
Korean Circ J. 2012 Apr;42(4):266-73. doi: 10.4070/kcj.2012.42.4.266. Epub 2012 Apr 26.
2
Long-term outcome of the unrestricted use of everolimus-eluting stents compared to sirolimus-eluting stents and paclitaxel-eluting stents in diabetic patients: the Bern-Rotterdam diabetes cohort study.在糖尿病患者中,与依维莫司洗脱支架和紫杉醇洗脱支架相比,无限制使用依维莫司洗脱支架的长期结果:伯尔尼-鹿特丹糖尿病队列研究。
Int J Cardiol. 2013 Dec 5;170(1):36-42. doi: 10.1016/j.ijcard.2013.10.006. Epub 2013 Oct 12.
3
Comparison of six-year clinical outcome of sirolimus- and paclitaxel-eluting stents to bare-metal stents in patients with ST-segment elevation myocardial infarction: an analysis of the RESEARCH (rapamycin-eluting stent evaluated at Rotterdam cardiology hospital) and T-SEARCH (taxus stent evaluated at Rotterdam cardiology hospital) registries.雷帕霉素洗脱支架和紫杉醇洗脱支架与裸金属支架治疗ST段抬高型心肌梗死患者的六年临床结局比较:RESEARCH(鹿特丹心脏病医院评估的雷帕霉素洗脱支架)和T-SEARCH(鹿特丹心脏病医院评估的紫杉醇洗脱支架)注册研究分析
J Invasive Cardiol. 2011 Aug;23(8):336-41.
4
Four-year clinical outcome of sirolimus- and paclitaxel-eluting stents compared to bare-metal stents for the percutaneous treatment of stable coronary artery disease.比较西罗莫司和紫杉醇洗脱支架与裸金属支架经皮治疗稳定型冠状动脉疾病的 4 年临床结果。
Catheter Cardiovasc Interv. 2010 Jul 1;76(1):41-9. doi: 10.1002/ccd.22533.
5
Everolimus-eluting stents versus sirolimus- or paclitaxel-eluting stents: two-year results from the Guthrie Health Off-Label Stent (GHOST) registry.依维莫司洗脱支架与西罗莫司或紫杉醇洗脱支架的比较:Guthrie 卫生保健非适应证支架(GHOST)注册研究的 2 年结果。
J Interv Cardiol. 2013 Apr;26(2):153-62. doi: 10.1111/j.1540-8183.2013.12016.x. Epub 2013 Jan 31.
6
Long-Term outcome of drug-eluting stents compared with bare metal stents in ST-segment elevation myocardial infarction: results of the paclitaxel- or sirolimus-eluting stent versus bare metal stent in Primary Angioplasty (PASEO) Randomized Trial.药物洗脱支架与裸金属支架治疗ST段抬高型心肌梗死的长期疗效比较:紫杉醇或西罗莫司洗脱支架与裸金属支架在直接经皮冠状动脉介入治疗(PASEO)随机试验中的结果
Circulation. 2009 Sep 15;120(11):964-72. doi: 10.1161/CIRCULATIONAHA.108.830372. Epub 2009 Aug 31.
7
Comparison of zotarolimus-eluting stents versus sirolimus-eluting stents versus paclitaxel-eluting stents for primary percutaneous coronary intervention in patients with ST-elevation myocardial infarction: results from the Korean Multicentre Endeavor (KOMER) acute myocardial infarction (AMI) trial.在 ST 段抬高型心肌梗死患者中,比较使用紫杉醇洗脱支架、西罗莫司洗脱支架和佐他莫司洗脱支架进行经皮冠状动脉介入治疗的效果:来自韩国多中心 Endeavor(KOMER)急性心肌梗死(AMI)试验的结果。
EuroIntervention. 2011 Dec;7(8):936-43. doi: 10.4244/EIJV7I8A148.
8
The unrestricted use of sirolimus- and paclitaxel-eluting stents results in better clinical outcomes during 6-year follow-up than bare-metal stents: an analysis of the RESEARCH (Rapamycin-Eluting Stent Evaluated At Rotterdam Cardiology Hospital) and T-SEARCH (Taxus-Stent Evaluated At Rotterdam Cardiology Hospital) registries.在 6 年随访期间,无限制使用西罗莫司和紫杉醇洗脱支架的临床结果优于裸金属支架:对 RESEARCH(雷帕霉素洗脱支架在鹿特丹心脏病学医院评估)和 T-SEARCH(紫杉醇洗脱支架在鹿特丹心脏病学医院评估)注册研究的分析。
JACC Cardiovasc Interv. 2010 Oct;3(10):1051-8. doi: 10.1016/j.jcin.2010.08.003.
9
Second-generation everolimus-eluting stents versus first-generation sirolimus-eluting stents in acute myocardial infarction. 1-year results of the randomized XAMI (XienceV Stent vs. Cypher Stent in Primary PCI for Acute Myocardial Infarction) trial.急性心肌梗死中第二代依维莫司洗脱支架与第一代西罗莫司洗脱支架的比较。随机 XAMI(XienceV 支架与 Cypher 支架在急性心肌梗死直接经皮冠状动脉介入治疗中的比较)试验的 1 年结果。
J Am Coll Cardiol. 2012 Jul 31;60(5):381-7. doi: 10.1016/j.jacc.2012.01.073.
10
Long-term effects of drug-eluting stents versus bare metal stents on patients with acute ST-elevation myocardial infarction undergoing primary percutaneous coronary intervention: outcomes of 3-year clinical follow-up.药物洗脱支架与金属裸支架对行直接经皮冠状动脉介入治疗的急性 ST 段抬高型心肌梗死患者的长期影响:3 年临床随访结果。
Chin Med J (Engl). 2012 Aug;125(16):2803-6.

引用本文的文献

1
Histopathological Comparison among Biolimus, Zotarolimus and Everolimus-Eluting Stents in Porcine Coronary Restenosis Model.生物可降解聚合物涂层雷帕霉素洗脱支架、紫杉醇洗脱支架和依维莫司洗脱支架治疗猪冠状动脉再狭窄模型的组织病理学比较
Korean Circ J. 2013 Nov;43(11):744-51. doi: 10.4070/kcj.2013.43.11.744. Epub 2013 Nov 30.

本文引用的文献

1
Efficacy and safety of drug-eluting stents in patients with acute ST-segment-elevation myocardial infarction: a meta-analysis of randomized controlled trials.药物洗脱支架治疗急性ST段抬高型心肌梗死患者的疗效与安全性:一项随机对照试验的荟萃分析
Tex Heart Inst J. 2010;37(5):516-24.
2
Effect of drug-eluting stents in patients with acute ST-segment elevation myocardial infarction undergoing percutaneous coronary intervention: a meta-analysis of randomised trials and an adjusted indirect comparison.药物洗脱支架在经皮冠状动脉介入治疗急性 ST 段抬高型心肌梗死患者中的作用:随机试验的荟萃分析和调整后的间接比较。
EuroIntervention. 2010 Feb;5(7):853-60. doi: 10.4244/eijv5i7a143.
3
Comparison of the efficacy and safety of zotarolimus-, sirolimus-, and paclitaxel-eluting stents in patients with ST-elevation myocardial infarction.
佐他莫司、西罗莫司和紫杉醇洗脱支架在ST段抬高型心肌梗死患者中的疗效和安全性比较。
Am J Cardiol. 2009 Nov 15;104(10):1370-6. doi: 10.1016/j.amjcard.2009.06.059. Epub 2009 Sep 26.
4
Final 5-year results of the TAXUS II trial: a randomized study to assess the effectiveness of slow- and moderate-release polymer-based paclitaxel-eluting stents for de novo coronary artery lesions.TAXUS II 试验的5年最终结果:一项评估基于聚合物的缓释和中释紫杉醇洗脱支架用于初发冠状动脉病变有效性的随机研究。
Circulation. 2009 Oct 13;120(15):1498-504. doi: 10.1161/CIRCULATIONAHA.109.849877. Epub 2009 Sep 28.
5
Prospective randomized comparison of sirolimus- versus paclitaxel-eluting stents for the treatment of acute ST-elevation myocardial infarction: pROSIT trial.西罗莫司洗脱支架与紫杉醇洗脱支架治疗急性ST段抬高型心肌梗死的前瞻性随机对照研究:pROSIT试验
Catheter Cardiovasc Interv. 2008 Jul 1;72(1):25-32. doi: 10.1002/ccd.21510.
6
Efficacy and safety of drug-eluting stents in ST-segment elevation myocardial infarction: a meta-analysis of randomized trials.药物洗脱支架在ST段抬高型心肌梗死中的疗效与安全性:随机试验的荟萃分析
Int J Cardiol. 2009 Apr 3;133(2):213-22. doi: 10.1016/j.ijcard.2007.12.040. Epub 2008 Apr 3.
7
Meta-analysis of randomized trials on drug-eluting stents vs. bare-metal stents in patients with acute myocardial infarction.急性心肌梗死患者中药物洗脱支架与裸金属支架对比的随机试验的荟萃分析。
Eur Heart J. 2007 Nov;28(22):2706-13. doi: 10.1093/eurheartj/ehm402. Epub 2007 Sep 27.
8
Safety of drug-eluting stents in the coronary artery in ST-elevation myocardial infarction at a single high-volume medical center.在一家高容量单一医学中心,药物洗脱支架用于ST段抬高型心肌梗死冠状动脉治疗的安全性。
Am J Cardiol. 2007 Sep 15;100(6):949-52. doi: 10.1016/j.amjcard.2007.04.030. Epub 2007 Jul 2.
9
Clinical end points in coronary stent trials: a case for standardized definitions.冠状动脉支架试验中的临床终点:标准化定义的必要性
Circulation. 2007 May 1;115(17):2344-51. doi: 10.1161/CIRCULATIONAHA.106.685313.
10
Comparison of three-year clinical outcome of sirolimus- and paclitaxel-eluting stents versus bare metal stents in patients with ST-segment elevation myocardial infarction (from the RESEARCH and T-SEARCH Registries).西罗莫司洗脱支架和紫杉醇洗脱支架与裸金属支架治疗ST段抬高型心肌梗死患者的三年临床结局比较(来自RESEARCH和T-SEARCH注册研究)
Am J Cardiol. 2007 Apr 15;99(8):1027-32. doi: 10.1016/j.amjcard.2006.11.070. Epub 2007 Mar 6.