Suppr超能文献

一项关于庞贝病德国患者的 GAA 基因分子分析、临床表现及基因型-表型相关性的横断面单中心研究。

A cross-sectional single-centre study on the spectrum of Pompe disease, German patients: molecular analysis of the GAA gene, manifestation and genotype-phenotype correlations.

机构信息

Center for Pediatric and Adolescent Medicine, University Medical Center, Mainz, Germany.

出版信息

Orphanet J Rare Dis. 2012 Jun 7;7:35. doi: 10.1186/1750-1172-7-35.

Abstract

BACKGROUND

Pompe disease (Glycogen storage disease type II, GSD II, acid alpha-glucosidase deficiency, acid maltase deficiency, OMIM # 232300) is an autosomal-recessive lysosomal storage disorder due to a deficiency of acid alpha-glucosidase (GAA, acid maltase, EC 3.2.1.20, Swiss-Prot P10253). Clinical manifestations are dominated by progressive weakness of skeletal muscle throughout the clinical spectrum. In addition, the classic infantile form is characterised by hypertrophic cardiomyopathy.

METHODS

In a cross-sectional single-centre study we clinically assessed 3 patients with classic infantile Pompe disease and 39 patients with non-classic presentations, measured their acid alpha-glucosidase activities and analysed their GAA genes.

RESULTS

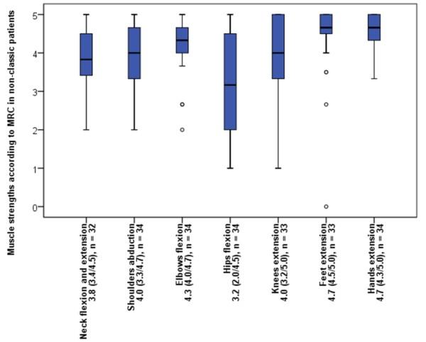
Classic infantile patients had nearly absent residual enzyme activities and a typical clinical course with hypertrophic cardiomyopathy until the beginning of therapy. The disease manifestations in non-classic patients were heterogeneous. There was a broad variability in the decline of locomotive and respiratory function. The age of onset ranged from birth to late adulthood and correlated with enzyme activities. Molecular analysis revealed as many as 33 different mutations, 14 of which are novel. All classic infantile patients had two severe mutations. The most common mutation in the non-classic group was c.-32-13T>G. It was associated with a milder course in this subgroup.

CONCLUSIONS

Disease manifestation strongly correlates with the nature of the GAA mutations, while the variable progression in non-classic Pompe disease is likely to be explained by yet unknown modifying factors. This study provides the first comprehensive dataset on the clinical course and the mutational spectrum of Pompe disease in Germany.

摘要

背景

庞贝病(糖原贮积病 II 型,GSD II,酸性α-葡萄糖苷酶缺乏症,酸性麦芽糖酶缺乏症,OMIM#232300)是一种常染色体隐性溶酶体贮积症,由于酸性α-葡萄糖苷酶(GAA,酸性麦芽糖酶,EC3.2.1.20,Swiss-Prot P10253)缺乏所致。临床表现主要为骨骼肌肉进行性无力,贯穿整个临床表现谱。此外,典型的婴儿型还以肥厚型心肌病为特征。

方法

在一项横断面单中心研究中,我们对 3 名经典婴儿型庞贝病患者和 39 名非典型表现患者进行了临床评估,测量了他们的酸性α-葡萄糖苷酶活性,并分析了他们的 GAA 基因。

结果

经典婴儿型患者几乎没有残留的酶活性,表现出典型的临床过程,伴有肥厚型心肌病,直至开始治疗。非典型患者的临床表现存在异质性。运动和呼吸功能的下降存在广泛的可变性。发病年龄从出生到成年后期不等,与酶活性相关。分子分析显示了多达 33 种不同的突变,其中 14 种是新的。所有经典婴儿型患者均有两种严重突变。非典型组中最常见的突变是 c.-32-13T>G。它与该亚组中较轻的病程相关。

结论

疾病表现与 GAA 突变的性质密切相关,而非典型庞贝病的可变进展可能是由未知的修饰因子解释的。本研究提供了德国庞贝病临床过程和突变谱的首个综合数据集。

https://cdn.ncbi.nlm.nih.gov/pmc/blobs/c4b5/3479421/6c8bbf19da5c/1750-1172-7-35-1.jpg

文献AI研究员

20分钟写一篇综述,助力文献阅读效率提升50倍。

立即体验

用中文搜PubMed

大模型驱动的PubMed中文搜索引擎

马上搜索

文档翻译

学术文献翻译模型,支持多种主流文档格式。

立即体验