Suppr超能文献

吡啶硫酮的溴化和重氮偶联;微波辅助合成异噻唑并吡啶、哒嗪并噻嗪和哒嗪并噻二嗪。

Bromination and diazo-coupling of pyridinethiones; microwave assisted synthesis of isothiazolopyridine, pyridothiazine and pyridothiazepines.

机构信息

Department of Chemistry, Faculty of Science, Fayoum University, Fayoum 63514, Egypt.

出版信息

Molecules. 2012 Jun 6;17(6):6930-43. doi: 10.3390/molecules17066930.

Abstract

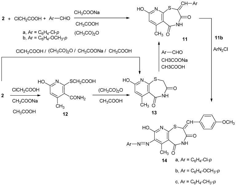
Isothiazolopyridines, pyridothiazines and pyridothiazepines are important compounds that possess valuable biological activities. This paper reports on the synthesis of these compounds using both conventional chemical methods and modern microwave techniques. 3-Bromo-6-hydroxy-4-methyl-2-thioxo-2,3-dihydropyridine-3-carboxamide, 5-arylazo-6-hydroxy-4-methyl-2-thioxo-1,2-dihydropyridine-3-carboxamides, 3,5-bis-arylazo-6-hydroxy-4-methyl-2-thioxo-2,3-dihydropyridine-3-caboxamide, 4-methyl-2,3,6,7-tetra-hydroisothiazolo[5,4-b]-pyridine-3,6-dione, 2,2'-(methylene-bis-(sulfanediyl))bis(4-methyl-6-oxo-1,6-dihydropyridine-3-carboxamide), 2-hydroxy-5-methyl-4H-pyrido[3,2-e][1,3]-thiazine-4,7(8H)-dione and 2-arylmethylene-8-hydroxy-6-methyl-2,3,4,5-tetrahydropyrido-[3,2-f][1,4]thiazepine-3,5-diones have been prepared from 6-hydroxy-4-methyl-2-thioxo-2,3-dihydropyridine-3-carboxamide. Some of these compounds were prepared using microwave-assisted reaction conditions, that provided higher yields in shorter times than the conventional methods.

摘要

异噻唑并吡啶、吡啶并噻嗪和吡啶并噻二嗪是具有重要生物活性的化合物。本文报道了使用常规化学方法和现代微波技术合成这些化合物的方法。3-溴-6-羟基-4-甲基-2-硫代-2,3-二氢吡啶-3-甲酰胺、5-芳基偶氮-6-羟基-4-甲基-2-硫代-1,2-二氢吡啶-3-甲酰胺、3,5-双芳基偶氮-6-羟基-4-甲基-2-硫代-2,3-二氢吡啶-3-甲酰胺、4-甲基-2,3,6,7-四氢异噻唑并[5,4-b]-吡啶-3,6-二酮、2,2'-(亚甲基双-(磺酰基))双(4-甲基-6-氧代-1,6-二氢吡啶-3-甲酰胺)、2-羟基-5-甲基-4H-吡啶并[3,2-e][1,3]-噻嗪-4,7(8H)-二酮和 2-芳基亚甲基-8-羟基-6-甲基-2,3,4,5-四氢吡啶并[3,2-f][1,4]噻嗪-3,5-二酮是由 6-羟基-4-甲基-2-硫代-2,3-二氢吡啶-3-甲酰胺制备的。其中一些化合物是在微波辅助反应条件下制备的,与常规方法相比,这些条件在更短的时间内提供了更高的产率。

https://cdn.ncbi.nlm.nih.gov/pmc/blobs/a837/6268374/e4c793f1e37f/molecules-17-06930-g001.jpg

文献检索

告别复杂PubMed语法,用中文像聊天一样搜索,搜遍4000万医学文献。AI智能推荐,让科研检索更轻松。

立即免费搜索

文件翻译

保留排版,准确专业,支持PDF/Word/PPT等文件格式,支持 12+语言互译。

免费翻译文档

深度研究

AI帮你快速写综述,25分钟生成高质量综述,智能提取关键信息,辅助科研写作。

立即免费体验