Suppr超能文献

E-钙黏蛋白启动子-160C/A 多态性与癌症风险的关系:47 项病例对照研究的荟萃分析。

Contribution of the -160C/A polymorphism in the E-cadherin promoter to cancer risk: a meta-analysis of 47 case-control studies.

机构信息

Endocrinology Department, Shanghai East Hospital, Shanghai Key Laboratory of Signaling and Disease Research, School of Life Science and Technology, Tongji University, Shanghai, People's Republic of China.

出版信息

PLoS One. 2012;7(7):e40219. doi: 10.1371/journal.pone.0040219. Epub 2012 Jul 5.

Abstract

BACKGROUND

The -160C/A polymorphism (rs16260) of E-cadherin, a tumor repressor gene, has been shown to be a tumor susceptibility allele for various types of cancers. Because the significance of this polymorphism to cancer risk has been recognized, there are increasing studies investigating -160C/A in different types of cancers and ethnic populations. However, there is still uncertainty about the level of risk for a variety of cancers.

METHODS

To resolve the controversial question raised by these studies as of March 2012 and provide more statistical power for detecting the significance of -160C/A, we performed a meta-analysis of 47 case-control studies in 16 types of cancers (18,194 cases and 20,207 controls). A meta-regression model and subgroup analysis were employed to identify the source of heterogeneity. Publication bias was evaluated, and sensitivity analysis and cumulative evidence assessment were also performed.

RESULTS

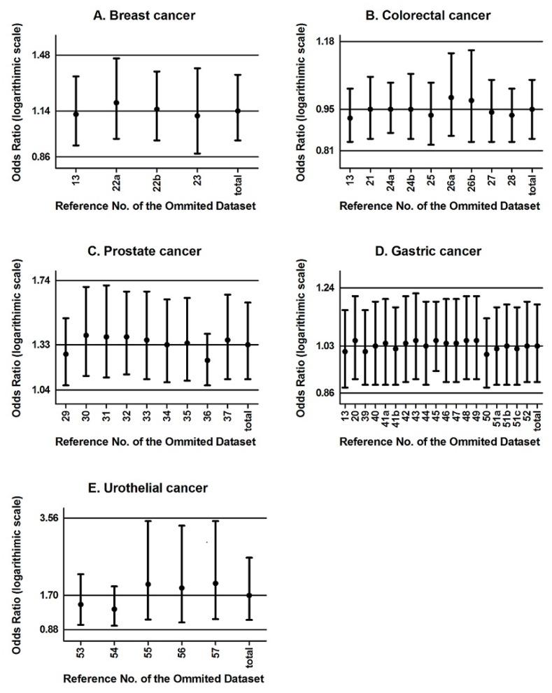
Using fixed- and random-effects models, the -160AA homozygote was more susceptible to urothelial cancer compared with the -160CA heterozygote. Additionally, the -160A allele is an ethnicity-dependent risk factor for prostate and colorectal cancers. Carriers of the -160A allele in Asians and Europeans were more susceptible to prostate cancer, whereas their North American counterparts seemed tolerant. The -160AA homozygote plays a protective role for Europeans who develop colorectal cancer. The stability of these observations was confirmed by a one-way sensitivity analysis. However, the cumulative evidence for all cancer types was considered 'weak' using the Venice guidelines.

CONCLUSIONS

A meta-analysis indicated that the -160A allele of E-cadherin provides a higher risk for the development of prostate and urothelial cancers and a protective role for colorectal cancer in an ethnicity-dependent manner.

摘要

背景

E-钙黏蛋白(E-cadherin)是一种肿瘤抑制基因,其-160C/A 多态性(rs16260)已被证实是多种癌症的肿瘤易感性等位基因。由于该多态性与癌症风险的意义已被认识到,因此越来越多的研究针对不同类型的癌症和不同种族人群进行了-160C/A 研究。然而,对于多种癌症的风险水平仍然存在不确定性。

方法

为了解决这些研究提出的有争议的问题,并为检测-160C/A 的意义提供更多的统计能力,我们对 16 种癌症(18194 例病例和 20207 例对照)的 47 项病例对照研究进行了荟萃分析。采用荟萃回归模型和亚组分析来确定异质性的来源。评估了发表偏倚,并进行了敏感性分析和累积证据评估。

结果

使用固定效应模型和随机效应模型,与-160CA 杂合子相比,-160AA 纯合子更容易患尿路上皮癌。此外,-160A 等位基因是前列腺癌和结直肠癌的种族依赖性危险因素。亚洲人和欧洲人的-160A 等位基因携带者更容易患前列腺癌,而北美的携带者似乎耐受。-160AA 纯合子对欧洲人患结直肠癌起到保护作用。单向敏感性分析证实了这些观察结果的稳定性。然而,使用威尼斯指南,所有癌症类型的累积证据被认为“较弱”。

结论

荟萃分析表明,E-钙黏蛋白的-160A 等位基因提供了更高的风险,发展前列腺癌和尿路上皮癌,并以种族依赖性的方式为结直肠癌提供保护作用。

https://cdn.ncbi.nlm.nih.gov/pmc/blobs/0069/3390351/10f44b2dd2be/pone.0040219.g001.jpg

文献AI研究员

20分钟写一篇综述,助力文献阅读效率提升50倍。

立即体验

用中文搜PubMed

大模型驱动的PubMed中文搜索引擎

马上搜索

文档翻译

学术文献翻译模型,支持多种主流文档格式。

立即体验