• 文献检索
  • 文档翻译
  • 深度研究
  • 学术资讯
  • Suppr Zotero 插件Zotero 插件
  • 邀请有礼
  • 套餐&价格
  • 历史记录
应用&插件
Suppr Zotero 插件Zotero 插件浏览器插件Mac 客户端Windows 客户端微信小程序
定价
高级版会员购买积分包购买API积分包
服务
文献检索文档翻译深度研究API 文档MCP 服务
关于我们
关于 Suppr公司介绍联系我们用户协议隐私条款
关注我们

Suppr 超能文献

核心技术专利:CN118964589B侵权必究
粤ICP备2023148730 号-1Suppr @ 2026

文献检索

告别复杂PubMed语法,用中文像聊天一样搜索,搜遍4000万医学文献。AI智能推荐,让科研检索更轻松。

立即免费搜索

文件翻译

保留排版,准确专业,支持PDF/Word/PPT等文件格式,支持 12+语言互译。

免费翻译文档

深度研究

AI帮你快速写综述,25分钟生成高质量综述,智能提取关键信息,辅助科研写作。

立即免费体验

肝硬化合并感染性休克患者的腹腔内压和腹主动脉灌注压。

Intra-abdominal pressure and abdominal perfusion pressure in cirrhotic patients with septic shock.

机构信息

Department of Intensive Care Medicine, King Saud bin Abdulaziz University for Health Sciences, King Abdulaziz Medical City, Riyadh, 11426, Saudi Arabia.

出版信息

Ann Intensive Care. 2012 Jul 5;2 Suppl 1(Suppl 1):S4. doi: 10.1186/2110-5820-2-S1-S4.

DOI:10.1186/2110-5820-2-S1-S4
PMID:22873420
原文链接:https://pmc.ncbi.nlm.nih.gov/articles/PMC3390301/
Abstract

BACKGROUND

The importance of intra-abdominal pressure (IAP) and abdominal perfusion pressure (APP) in cirrhotic patients with septic shock is not well studied. We evaluated the relationship between IAP and APP and outcomes of cirrhotic septic patients, and assessed the ability of these measures compared to other common resuscitative endpoints to differentiate survivors from nonsurvivors.

METHODS

This study was a post hoc analysis of a randomized double-blind placebo-controlled trial in which mean arterial pressure (MAP), central venous oxygen saturation (ScvO2) and IAP were measured every 6 h in 61 cirrhotic septic patients admitted to the intensive care unit. APP was calculated as MAP - IAP. Intra-abdominal hypertension (IAH) was defined as mean IAP ≥ 12 mmHg, and abdominal hypoperfusion as mean APP < 60 mmHg. Measured outcomes included ICU and hospital mortality, need for renal replacement therapy (RRT) and ventilator- and vasopressor-free days.

RESULTS

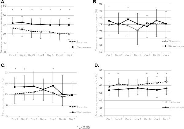
IAH prevalence on the first ICU day was 82%, and incidence in the first 7 days was 97%. Compared to patients with normal IAP, IAH patients had significantly higher ICU mortality (74.0% vs. 27.3%, p = 0.005), required more RRT (78.0% vs. 45.5%, p = 0.06) and had lower ventilator- and vasopressor-free days. On a multivariate logistic regression analysis, IAH was an independent predictor of both ICU mortality (odds ratio (OR), 12.20; 95% confidence interval (CI), 1.92 to 77.31, p = 0.008) and need for RRT (OR, 6.78; 95% CI, 1.29 to 35.70, p = 0.02). Using receiver operating characteristic curves, IAP (area under the curve (AUC) = 0.74, p = 0.004), APP (AUC = 0.71, p = 0.01), Acute Physiology and Chronic Health Evaluation II score (AUC = 0.71, p = 0.02), but not MAP, differentiated survivors from nonsurvivors.

CONCLUSIONS

IAH is highly prevalent in cirrhotic patients with septic shock and is associated with increased ICU morbidity and mortality.

摘要

背景

在合并感染性休克的肝硬化患者中,腹腔内压(IAP)和腹部灌注压(APP)的重要性尚未得到充分研究。我们评估了 IAP 和 APP 与肝硬化感染性休克患者预后的关系,并评估了这些指标与其他常见复苏终点相比,区分存活者与非存活者的能力。

方法

这是一项随机、双盲、安慰剂对照临床试验的事后分析,该试验共纳入 61 例入住重症监护病房的肝硬化感染性休克患者,每 6 小时测量一次平均动脉压(MAP)、中心静脉血氧饱和度(ScvO2)和 IAP。APP 计算为 MAP-IAP。腹腔内高压(IAH)定义为平均 IAP≥12mmHg,腹部低灌注定义为平均 APP<60mmHg。测量的结果包括 ICU 死亡率、住院死亡率、需要肾脏替代治疗(RRT)和呼吸机及血管加压素无使用天数。

结果

第 1 天 ICU 时 IAH 的患病率为 82%,第 1 个 7 天的发病率为 97%。与正常 IAP 的患者相比,IAH 患者的 ICU 死亡率显著更高(74.0% vs. 27.3%,p=0.005),需要更多的 RRT(78.0% vs. 45.5%,p=0.06),呼吸机及血管加压素无使用天数更少。在多变量逻辑回归分析中,IAH 是 ICU 死亡率(优势比(OR),12.20;95%置信区间(CI),1.92 至 77.31,p=0.008)和需要 RRT(OR,6.78;95%CI,1.29 至 35.70,p=0.02)的独立预测因素。使用受试者工作特征曲线,IAP(曲线下面积(AUC)=0.74,p=0.004)、APP(AUC=0.71,p=0.01)、急性生理学和慢性健康评估 II 评分(AUC=0.71,p=0.02),但 MAP 不能区分存活者与非存活者。

结论

IAH 在合并感染性休克的肝硬化患者中非常普遍,与 ICU 发病率和死亡率增加相关。

https://cdn.ncbi.nlm.nih.gov/pmc/blobs/aec1/3390301/b135b46f30ec/2110-5820-2-S1-S4-4.jpg
https://cdn.ncbi.nlm.nih.gov/pmc/blobs/aec1/3390301/17aaaba1fdea/2110-5820-2-S1-S4-1.jpg
https://cdn.ncbi.nlm.nih.gov/pmc/blobs/aec1/3390301/aab9e150efb2/2110-5820-2-S1-S4-2.jpg
https://cdn.ncbi.nlm.nih.gov/pmc/blobs/aec1/3390301/4c535616963f/2110-5820-2-S1-S4-3.jpg
https://cdn.ncbi.nlm.nih.gov/pmc/blobs/aec1/3390301/b135b46f30ec/2110-5820-2-S1-S4-4.jpg
https://cdn.ncbi.nlm.nih.gov/pmc/blobs/aec1/3390301/17aaaba1fdea/2110-5820-2-S1-S4-1.jpg
https://cdn.ncbi.nlm.nih.gov/pmc/blobs/aec1/3390301/aab9e150efb2/2110-5820-2-S1-S4-2.jpg
https://cdn.ncbi.nlm.nih.gov/pmc/blobs/aec1/3390301/4c535616963f/2110-5820-2-S1-S4-3.jpg
https://cdn.ncbi.nlm.nih.gov/pmc/blobs/aec1/3390301/b135b46f30ec/2110-5820-2-S1-S4-4.jpg

相似文献

1
Intra-abdominal pressure and abdominal perfusion pressure in cirrhotic patients with septic shock.肝硬化合并感染性休克患者的腹腔内压和腹主动脉灌注压。
Ann Intensive Care. 2012 Jul 5;2 Suppl 1(Suppl 1):S4. doi: 10.1186/2110-5820-2-S1-S4.
2
Intra-abdominal hypertension: incidence and association with organ dysfunction during early septic shock.腹腔内高压:早期感染性休克期间的发生率及其与器官功能障碍的关联
J Crit Care. 2008 Dec;23(4):461-7. doi: 10.1016/j.jcrc.2007.12.013. Epub 2008 Apr 18.
3
[The monitoring of intra-abdominal pressure in critically ill patients].[危重症患者腹腔内压力的监测]
Zhonghua Wei Zhong Bing Ji Jiu Yi Xue. 2014 Mar;26(3):175-8. doi: 10.3760/cma.j.issn.2095-4352.2014.03.010.
4
The evaluation of the effect of body positioning on intra-abdominal pressure measurement and the effect of intra-abdominal pressure at different body positioning on organ function and prognosis in critically ill patients.评估体位对腹腔内压力测量的影响,以及不同体位下腹腔内压力对危重症患者器官功能和预后的影响。
J Crit Care. 2012 Apr;27(2):222.e1-6. doi: 10.1016/j.jcrc.2011.08.010. Epub 2011 Oct 26.
5
Can femoral venous pressure be used as an estimate for standard vesical intra-abdominal pressure measurement?股静脉压力能否用于估计标准膀胱腹内压测量值?
Anaesth Intensive Care. 2016 Nov;44(6):704-711. doi: 10.1177/0310057X1604400604.
6
Septic shock patients admitted to the intensive care unit with higher SOFA score tend to have higher incidence of abdominal compartment syndrome - a preliminary analysis.入住重症监护病房的脓毒症休克患者,序贯器官衰竭评估(SOFA)评分较高者发生腹腔间隔室综合征的几率往往更高——一项初步分析。
Anaesthesiol Intensive Ther. 2019;51(5):370-372. doi: 10.5114/ait.2019.88184.
7
Incidence and clinical effects of intra-abdominal hypertension in critically ill patients.危重症患者腹腔内高压的发生率及临床影响
Crit Care Med. 2008 Jun;36(6):1823-31. doi: 10.1097/CCM.0b013e31817c7a4d.
8
Abdominal compartment syndrome in patients with severe acute pancreatitis in early stage.早期重症急性胰腺炎患者的腹腔间隔室综合征
World J Gastroenterol. 2008 Jun 14;14(22):3541-8. doi: 10.3748/wjg.14.3541.
9
[Prognostic value of arterial lactate combined with central venous-to-arterial carbon dioxide difference to arterial-to-central venous oxygen content difference ratio in septic shock patients].动脉血乳酸联合中心静脉与动脉血二氧化碳分压差与动脉血与中心静脉血氧含量差比值对脓毒症休克患者的预后价值
Zhonghua Wei Zhong Bing Ji Jiu Yi Xue. 2020 Jan;32(1):39-43. doi: 10.3760/cma.j.cn121430-20191226-00007.
10
Intra-abdominal hypertension in cardiac surgery.心脏手术中的腹腔内高压
Interact Cardiovasc Thorac Surg. 2013 Oct;17(4):644-51. doi: 10.1093/icvts/ivt272. Epub 2013 Jul 2.

引用本文的文献

1
The Prevalence of Abdominal Compartment Syndrome in the State of Florida.佛罗里达州腹腔间隔室综合征的患病率。
HCA Healthc J Med. 2025 Jun 1;6(3):239-248. doi: 10.36518/2689-0216.1668. eCollection 2025.
2
Abdominal Hypoperfusion and Acute Kidney Injury in the Critically Ill Patient with Liver Cirrhosis: A Prospective Cohort Study.肝硬化重症患者的腹部灌注不足与急性肾损伤:一项前瞻性队列研究
GE Port J Gastroenterol. 2024 Jun 18;32(1):25-36. doi: 10.1159/000538939. eCollection 2025 Feb.
3
Intra-Abdominal Hypertension and Its Prognostic Impact on Mortality in Cirrhotic Patients with Ascites: The Role of Paracentesis.

本文引用的文献

1
Renal implications of increased intra-abdominal pressure: are the kidneys the canary for abdominal hypertension?腹腔内压力升高对肾脏的影响:肾脏是腹腔高压的“煤矿中的金丝雀”吗?
Acta Clin Belg. 2007;62 Suppl 1:119-30. doi: 10.1179/acb.2007.62.s1.015.
2
Effect of intra-abdominal pressure on respiratory mechanics.腹腔内压力对呼吸力学的影响。
Acta Clin Belg. 2007;62 Suppl 1:78-88. doi: 10.1179/acb.2007.62.s1.011.
3
Low-dose hydrocortisone in patients with cirrhosis and septic shock: a randomized controlled trial.肝硬化合并感染性休克患者应用低剂量氢化可的松的随机对照试验。
腹内高压及其对肝硬化腹水患者死亡率的预后影响:腹腔穿刺术的作用
Turk J Gastroenterol. 2025 Jan 13;36(6):390-397. doi: 10.5152/tjg.2025.24375.
4
Validation of continuous intraabdominal pressure measurement: feasibility and accuracy assessment using a capsular device in in-vivo studies.连续腹腔内压力测量的验证:使用胶囊设备进行体内研究的可行性和准确性评估。
World J Emerg Surg. 2024 Jun 26;19(1):25. doi: 10.1186/s13017-024-00553-8.
5
Fluids and Early Vasopressors in the Management of Septic Shock: Do We Have the Right Answers Yet?脓毒性休克治疗中的液体与早期血管加压药:我们找到正确答案了吗?
J Crit Care Med (Targu Mures). 2023 Jul 31;9(3):138-147. doi: 10.2478/jccm-2023-0022. eCollection 2023 Jul.
6
Abdominal perfusion pressure in critically ill cirrhotic patients: a prospective observational study.危重症肝硬化患者的腹腔灌注压:一项前瞻性观察研究。
Sci Rep. 2023 May 26;13(1):8550. doi: 10.1038/s41598-023-34367-6.
7
Intra-abdominal hypertension and abdominal compartment syndrome in the critically ill liver cirrhotic patient-prevalence and clinical outcomes. A multicentric retrospective cohort study in intensive care.危重肝硬化患者腹腔内高压和腹腔间隔室综合征的患病率和临床结局。一项重症监护多中心回顾性队列研究。
PLoS One. 2021 May 13;16(5):e0251498. doi: 10.1371/journal.pone.0251498. eCollection 2021.
8
Effect of intra-abdominal pressure on respiratory function in patients undergoing ventral hernia repair.腹内压对接受腹疝修补术患者呼吸功能的影响。
World J Crit Care Med. 2013 May 4;2(2):9-16. doi: 10.5492/wjccm.v2.i2.9.
CMAJ. 2010 Dec 14;182(18):1971-7. doi: 10.1503/cmaj.090707. Epub 2010 Nov 8.
4
Is the evolving management of intra-abdominal hypertension and abdominal compartment syndrome improving survival?腹腔内高压和腹腔间隔室综合征的不断演变的治疗方法是否提高了生存率?
Crit Care Med. 2010 Feb;38(2):402-7. doi: 10.1097/ccm.0b013e3181b9e9b1.
5
The impact of body position on intra-abdominal pressure measurement: a multicenter analysis.体位对腹腔内压力测量的影响:一项多中心分析。
Crit Care Med. 2009 Jul;37(7):2187-90. doi: 10.1097/CCM.0b013e3181a021fa.
6
Incidence and clinical effects of intra-abdominal hypertension in critically ill patients.危重症患者腹腔内高压的发生率及临床影响
Crit Care Med. 2008 Jun;36(6):1823-31. doi: 10.1097/CCM.0b013e31817c7a4d.
7
AIDS is coming to your ICU: be prepared for acute bowel injury and acute intestinal distress syndrome..艾滋病正在逼近你们的重症监护病房:为急性肠损伤和急性肠窘迫综合征做好准备。
Intensive Care Med. 2008 Sep;34(9):1565-9. doi: 10.1007/s00134-008-1135-3. Epub 2008 May 1.
8
Transvesical intra-abdominal pressure measurement using minimal instillation volumes: how low can we go?使用最小灌注量进行经膀胱腹腔内压力测量:我们能低到什么程度?
Intensive Care Med. 2008 Apr;34(4):746-50. doi: 10.1007/s00134-007-0985-4. Epub 2008 Jan 29.
9
Effects of plasma expansion with albumin and paracentesis on haemodynamics and kidney function in critically ill cirrhotic patients with tense ascites and hepatorenal syndrome: a prospective uncontrolled trial.白蛋白扩容联合腹腔穿刺术对伴有严重腹水和肝肾综合征的重症肝硬化患者血流动力学及肾功能的影响:一项前瞻性非对照试验
Crit Care. 2008;12(1):R4. doi: 10.1186/cc6765. Epub 2008 Jan 15.
10
Cardiovascular implications of abdominal compartment syndrome.腹腔间隔室综合征的心血管影响。
Acta Clin Belg. 2007;62 Suppl 1:98-112.